前两天,上海楼市被一个热盘刷屏:1月21日,嘉定新城地王历时两年多终于拿证,每年都要“假开盘”几次的西郊金茂府也终于迎来认筹,认筹数不负众望地在首日直指200组,成为2019年第一个真正意义上的网红热盘。
但与此同时,有一个楼盘选择与西郊金茂府同一天相同时间认筹,却没有在市场激起丁点儿水花,与西郊金茂府的一派火热不同,这个项目的售楼处充满了愁云惨雾——认筹首日意向客户不足20组,这个楼盘就是来自青浦大虹桥板块的金地虹桥世家。

(金地虹桥世家预售证信息)
截至小编发稿,两个楼盘的认筹之路都已经过了5天,彼时金茂府认筹数早已远超房源数,销售人员朋友圈喜报接二连三地发,而金地虹桥世家售楼处却对认筹数字三缄其口,拒绝透露。虽然正式认筹还没有结束,但金地方面已经明确将会继续启动小筹,看来对自己认筹数的预估值并不高。
按说来自苗根正红的热门置业板块大虹桥,金地虹桥世家的成绩单不至于这么惨淡,单价5万8也与周边项目相差无几,为何金地会出现如今的“凉凉”局面? 答案或许就在金地一系列让人看不懂的操作中。
1、周边装修房遍地 金地卖的是毛坯
随着进博会的顺利召开,大虹桥被提升到前所未有的热度,而国家会展中心所在地——青浦徐泾,也成为近几年沪上热门置业区域之一。区域内但凡里会展中心稍微近点的,都以“大虹桥”作为卖点,金地虹桥世家也不例外。

大虹桥前期开盘的项目中,均价基本保持在5.8万/㎡,基本都是装修交付,平均来看2000元/㎡的装修标准是有的。
金地虹桥世家此次开盘价也是5.8万/㎡左右,与周边相差不大,但令人诧异的是,金地的所有房源都是毛坯交付,连装修减配的操作都省了。要知道附近中骏天珑“中央空调+地暖”的装修房5万8都卖不动,金地虹桥世家却用这个价格卖毛坯,实在是让人看不懂。
2、产品、目标客群分区不清
金地虹桥世家此次开盘一次性推出所有210套房源,包含166套90㎡洋房和44套130-139㎡叠加别墅,主打卖点是低容积率。
从一房一价表(见后文)上可以看出,虽然金地虹桥世家推出的是两种不同的产品,但整体价格差异并不大,区间在5.1-6.4万/㎡之间,而90平洋房有定价近6万/㎡的,叠墅也有5.7万/㎡的价格,定价标准让人找不到规律。

纵然大虹桥有高规划加持,但因为远离市中心,一直是刚需族置业区域。金地虹桥世家将大部分产品打造成洋房,也可以看出项目最主要的目标客群是刚需一族。对于这一群体来说,价格是最敏感的存在,但金地显然在价格上不能让刚需族买账。
而对于改善客户来说,金地虹桥世家叠墅产品总价要在800万上下,如果用800万的来置业,这部分客户可以选择更靠近中环的区域,比如宝华城市之星和大华碧云天等,环内品质较好的二手房也有很多选择空间,而金地盘踞远郊,很难让改善型客户动心。
总结:
作为金地商置在上海的第一个住宅项目,此次金地商置对金地虹桥世家的营销策略让人看不懂。不论如何,市场是检验产品的唯一标准,以5万8的价格在外环外卖毛坯,实在难以预见金地虹桥世家的光明前景。
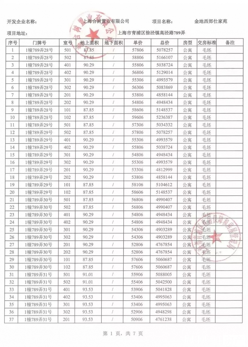
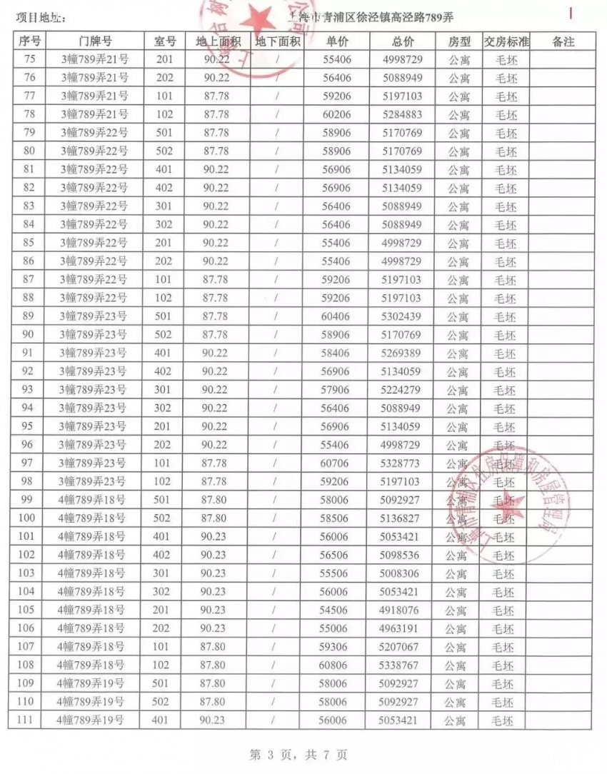
附金地虹桥世家全部一房一价表:






