在做射频的时候,选择电感电容时特别关注他们的Q值,那什么是Q值呢?Q值是什么意思,它为什么重要?
��

品质因数Q:表征一个储能器件(如电感线圈、电容等)、谐振电路所储能量同每周损耗能量之比的一种质量指标。元件的Q值愈大,用该元件组成的电路或网络的选择性愈佳。

或Q=无功功率/有功功率,或称特性阻抗与回路电阻之比。
Q值越高,损耗越小,效率越高;
Q 值越高,谐振器的频率稳定度就越高,因此,能够更准确。因数Q是表示线圈质量的一个重要参数。Q值的大小,表明电感线圈损耗的大小,其Q值越大,线圈的损耗越小;反之,其损耗越大。
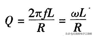
品质因数Q的定义为:当线圈在某一频率的交流电压下工作时,线圈所呈现的感抗和线圈直流电阻的比值。它可以用公式表达如下:

式中:W——工作角频率 L——线圈电感量 R——线圈总耗损电阻
根据使用场合的不同,对品质因数Q的要求也不同。对调谐回路中的电感线圈,Q值要求较高,因为Q值越高,回路的损耗就越小,回路的效率就越高;对鹅合线圈来说,Q值可以低一些;而对于低频或高频扼流圈,则可以不做要求。
实际上,Q值的提高往往受到一些因素的限制,如导线的直流电阻、线圈骨架的介质损耗、铁心和屏蔽引起的损耗以及高频工作时的集肤效应等。因此,线圈的Q值不可能做得很高,通常Q值为几十至一百,最高也只有四五百。
Q值相当于D值的倒数。损失角即D值: 一般电解电容器因为内阻较大故D值较高, 其规格视电容值高低决定, 为0.1-0.24以下. 塑料薄膜电容器则D值较低, 视其材质决定为0.001-0.01以下. 陶瓷电容器视其材质决定, Hi-K type 及S/C type为0.025以下. T/C type其规格以Q值表示需高于400-1000.
相关知识,后续会继续更新!
本头条搭建一个交流平台,欢迎各位也分享你的行业认知,技术分享,经验之谈,欢迎留言投稿!
