一、编制说明
1.1本手册的数据计算与分析主要根据以下规范:
1)《供配电系统设计规范》 GB50052-2009
2)《住宅建筑电气设计规范》 JGJ242-2011
3)《工业与民用配电设计手册》
4) 中国南方电网《(2017年新下发)20kV以下20kV及以下电网装备技术导则》
1.2对本手册的相关名词解释:
1) Pe用电负荷(单位:kW):本工程中所使用到的用电设备的额定功
率,以土建电气施工图为准。
Kc需要系数:指用电设备组实际所需要的功率与额定负载时所需的功率的比值,住户及商户具体取值可参考《住宅建筑电气设计规范》条文说明3.4:

住户及商户具体取值
由于住户及商户建筑因受地理环境、居住人群、生活习惯、入住率等因素影响,需要系
数很难是一个固定值,本次设计取值时应考虑当地实际工程状况,具体数值详见计算手册。
CosΦ1自然功率因数:指用电设备在未采用无功补偿措施之前的功率因数。
Qe无功功率(单位:kVar):与有功功率相对应的数值。
Pj计算负荷(单位:kW):用电负荷在与需要系数乘积后所得到的值。
Ij计算电流(单位:A):相应计算负荷所需要的电流。
CosΦ2补偿后自然功率因数:用电设备在采用无功补偿措施之后的功率因数。
Q应补偿无功功率(单位:kVar):为达到补偿后自然功率因数(CosΦ2),相关无功补偿设备应补偿的无功功率值。
Qj补偿后的无功功率(单位:kVar):在进行无功补偿后,设备应有的无功功率。
S视在功率(单位:kVA):有功功率与无功功率的矢量和。
1.3每间住户或商铺的用电负荷参考
《10kV及以下业扩受电工程技术导则(2014版)》

每间住户或商铺的用电负荷参考
备注:
(1)商用客户的需要系数按照0.7-0.9考虑。摘自中国南方电网《(2017年新下发)20kV以下20kV及以下电网装备技术导则》。
(2)公用的需要系数按照0.6-0.8考虑;公用负荷比较多的情况下:1)公用负荷占的比率大就按公用负荷选择变压器;2)建筑高度为100m或35层及以上的住宅建筑,高度为50-100m或19-34层的一类高层建筑选择变压器必需满足一级负荷供电需求并根据实际情况选择合理的需要系数。(一级负荷:楼道照)。3)商场、超市、影院等人口密集的场所选择变压器为按一级安保电源负荷的120%选择。摘自《住宅建筑电气设计规范》及《(2017年新下发)20kV以下20kV及以下电网装备技术导则》。
1.4本手册所使用到的公式:

本手册所使用到的公式
(注:用电负荷在进行无功补偿前后,有功功率不发生改变)
二、负荷计算及变压器容量选择
2.1普洱华夏房地产开发有限公司锦辉•水云间10kV配电工程用电负荷详见《负荷计算表》:
(1)《2号配电室用电负荷计算表(一)》
(2)《3号配电室用电负荷计算表(二)》
(3)《4号配电室用电负荷计算表(三)》
注:本表中的数据计算公式以《工业与民用配电设计手册》中的计算公式为准:S=1.732×U×I;P=1.73×U×I×COSφ;Q=1.73×U×I×SINφ。本工程用电负荷以土建电施图提供数据为基准并结合《住宅建筑电气设计规范》进行校核。
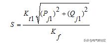
2.2变压器容量选择

变压器容量计算
式中:S—供电负荷总容量;Kt—同时系数;Kf—负载系数;Pj--计算功率;Qj—补偿后的无功功率。
2.3普洱华夏房地产开发有限公司锦辉•水云间10kV配电工程(商业专变)
①#1变(商业专变)

商业专变
该变压器主供普洱市锦辉•水云间商业用电负荷,{参照《(2017年新下发)20kV以下20kV及以下电网装备技术导则》,商业用电负荷根据技术规范需要系数按照0.7-0.9考虑},本工程需要系数Kt1取0.9,根据以上计算结果选择与之相近的变压器容量,最终选定变压器型号为SCB11-800kVA的变压器可满足10、23、25、26号楼,地下一层商铺1,地下一层商铺2,地下一层商铺3,76户商铺商业用电需求。
2.4普洱华夏房地产开发有限公司锦辉•水云间10kV配电工程(住宅公变)

住宅公变计算公式
该变压器主供普洱市锦辉•水云间(1~22号住宅楼)用电负荷,{参照《(2017年新下发)20kV以下20kV及以下电网装备技术导则》,居民生活用电负荷根据技术规范需要系数按照Kt2≥0.45考虑},本工程需要系数为Kt2取0. 58,根据以上计算结果选择与之相近的变压器容量,最终选定变压器型号为SCB11-1250kVA的变压器可满足1~22号楼居民用电,共计365户居民生活用电需求。

住宅公变计算公式
该变压器主供普洱市锦辉•水云间(23~92号住宅楼)用电负荷,{参照《(2017年新下发)20kV以下20kV及以下电网装备技术导则》,居民生活用电负荷根据技术规范需要系数按照Kt2≥0.45考虑},本工程需要系数为Kt2取0. 58,根据以上计算结果选择与之相近的变压器容量,最终选定变压器型号为SCB11-1250kVA的变压器可满足23~92号楼居民用电,共计123户居民生活用电需求。

住宅公变计算公式
该变压器主供普洱市锦辉•水云间(23~92号住宅楼)用电负荷,{参照《(2017年新下发)20kV以下20kV及以下电网装备技术导则》,居民生活用电负荷根据技术规范需要系数按照Kt2≥0.45考虑},本工程需要系数为Kt2取0. 58,根据以上计算结果选择与之相近的变压器容量,最终选定变压器型号为SCB11-1250kVA的变压器可满足23~92号楼居民用电,共计123户居民生活用电需求。
2.5普洱华夏房地产开发有限公司锦辉•水云间10kV配电工程(消防及公共专变)

消防及公共专变计算公式
该变压器主供普洱市锦辉•水云间消防及公共用电负荷,{参照《(2017年新下发)20kV以下20kV及以下电网装备技术导则》,消防及公共用电负荷根据技术规范需要系数按照0.6-0.8考虑},本工程需要系数为Kt2取0.75,根据以上计算结果选择与之相近的变压器容量,最终选定变压器型号为SCB11-1000kVA的变压器可满足1~22号楼及地下室,公共及消防用电负荷用电需求。
三、主要设备选型手册
3.1 10kV侧短路电流的计算
根据云南工信委发布的《35kV及以下用户侧受电装置技术装备标准》中的4.1.4 短路电流规定:“短路电流控制水平应与电源容量、电网规划及开关设备开断能力相适应。各电压等级短路电流控制水平应相互配合。当系统短路电流过大,应采取必 要的限制措施。变电站、开关站及配电站母线的短路电流水平不宜超过下表规定。如经计算可能超过时,应采取相应限流措施。开关站或配电站设备选择时,其技术参数应留有适当裕度,以避免在设备规定寿命期限内制约配电网的发展或造成重复投资。”

短路电流控制水平
根据上表所述,本工程中10kV线路末端的短路电流不应大于20kA,因此高压开关设备的动热稳定校验均以不小于20kA短路电流进行校验。
3.2变压器高低压侧的额定电流计算

变压器高低压侧的额定电流计算
3.3 0.4kV侧短路电流的计算
0.4kV侧电气设备的短路电流,以变压器出线桩头发生三相短路的短路电流来进行校验。根据经验公式,误差小于2%以内,三相短路电流可按照下式进行计算:

三相短路电流计算公式
根据上述0.4kV侧短路电流计算值,S1 =800kVA、S4=1000kVA、S2=S3=1250kVA变压器低压侧进线断路器短路运行分段能力需大于30.07kA,本次选定短路运行分段能力为50kA的框架式万能断路器均满足要求。
四、电流互感器变比选择原则
电流互感器选择可根据《电气装置的电测量仪表装置设计规范》GBJ63-90进行校核。变压器在额定运行条件下,仪表的指示在量程的70%-100%处,此时电流互感器最大变比应为:N=Ie/(0.8×5)×5,式中:N-电流互感器变比,Ie-变压器一次侧额定电流(A),0.8-仪表量程选择80%,电流互感器二次电流为5A。
4.1 10kV 1号户外开关站高压开关柜
①10kV 1号户外开关站高压开关柜(1AH)进线间隔总配变容量为4300kVA,电压U=10kV,电流I=248.3A。根据以上计算公式计算电流I=248.3A,真空断路器额定电流为630A,短路电流运行分断能力为25kA,上述真空断路器的额定电流630A能够满足小区电力系统平时稳定运行的额定电流的要求(Ie=630A>IG=248.27A)。根据电流互感器变比选择公式该互感器变比为400-600A/5A,因该间隔为整个地块总电源进线间隔负荷同时率小于1,故断路器TA变比可适当选择小一点,保护及测量TA选用400/5A即可。
②10kV 1号户外开关站高压开关柜(3AH)出线间隔总配变容量为4300kVA,电压U=10kV,电流I=248.3A。根据以上计算公式计算电流I=248.3A,真空断路器额定电流为630A,短路电流运行分断能力为25kA,上述真空断路器的额定电流630A能够满足小区电力系统平时稳定运行的额定电流的要求(Ie=630A>IG=248.3A)。根据电流互感器变比选择公式该互感器变比为300-400A/5A,因该间隔为整个地块总电源进线间隔负荷同时率小于1,故断路器TA变比可适当选择小一点,保护及测量TA选用300/5A即可。
4.2 配电室高压开关柜
①配电室高压开关柜10kV电源进线柜(1G),1号配电室配变容量为S=1×800kVA+1×1000kVA+2×1250kVA =4300kVA,电压U=10kV,根据以上计算公式计算电流I=S/U/1.732=248.3A,真空断路器额定电流为630A,短路电流运行分断能力为25kA,上述真空断路器的额定电流630A能够满足小区电力系统平时稳定运行的额定电流的要求(Ie=630A>IG=248.3A)。根据电流互感器变比选择公式该互感器变比为300-400A/5A,因该间隔为整个地块总电源进线间隔负荷同时率小于1,故断路器TA变比可适当选择小一点,保护及测量TA选用300/5A即可。
②(1×800kVA)变压器出线柜(3G间隔—1#变出线柜),1#变压器容量为S=800kVA,电压U=10kV,根据以上计算公式计算电流I=S/U/1.732=46.19A,真空断路器额定电流为630A,短路电流运行分断能力为25kA,上述真空断路器的额定电流630A能够满足小区电力系统平时稳定运行的额定电流的要求(Ie=630A>IG=46.19A)。故本工程保护及测量TA变比选用75/5A。因该变压器属商业专变,根据设计规范需在低压侧安装高供低计计量装置一套。即配变容量为S=630kVA,电压U=0.4kV,根据计算公式计算电流ID=S/U/1.732=1154.73A。根据低计考核电流互感器变比选择公式(CT = K调整系数×ID = 1.1×1154.73 =1270.2A),参照《2014版计量装置典型设计》故该低计考核电流互感器变比为1500/5A(以供电方案一致)。
③(1×1250kVA)变压器出线柜(4G间隔—2#变出线柜),2#变压器容量为S=1250kVA,电压U=10kV,根据以上计算公式计算电流I=S/U/1.732=72.17A,真空断路器额定电流为630A,短路电流运行分断能力为25kA,上述真空断路器的额定电流630A能够满足小区电力系统平时稳定运行的额定电流的要求(Ie=630A>IG=72.17A)。故本工程保护及测量TA变比选用100/5A。因该变压器属住宅公变,根据设计规范需在低压侧安装高供低计计量装置一套。即配变容量为S=630kVA,电压U=0.4kV,根据计算公式计算电流ID=S/U/1.732=1804.27A。根据低计考核电流互感器变比选择公式(CT = K调整系数×ID = 1.1×1804.27 =1984.7A),参照《2014版计量装置典型设计》故该低计考核电流互感器变比为2500/5A(以供电方案一致)。
④(1×1250kVA)变压器出线柜(6G间隔—3#变出线柜),3#变压器容量为S=1250kVA,电压U=10kV,根据以上计算公式计算电流I=S/U/1.732=72.17A,真空断路器额定电流为630A,短路电流运行分断能力为25kA,上述真空断路器的额定电流630A能够满足小区电力系统平时稳定运行的额定电流的要求(Ie=630A>IG=72.17A)。故本工程保护及测量TA变比选用100/5A。因该变压器属住宅公变,根据设计规范需在低压侧安装高供低计计量装置一套。即配变容量为S=630kVA,电压U=0.4kV,根据计算公式计算电流ID=S/U/1.732=1804.27A。根据低计考核电流互感器变比选择公式(CT = K调整系数×ID = 1.1×1804.27 =1984.7A),参照《2014版计量装置典型设计》故该低计考核电流互感器变比为2500/5A(以供电方案一致)。
⑤(1×1000kVA)变压器出线柜(7G间隔—4#变出线柜),4#变压器容量为S=1000kVA,电压U=10kV,根据以上计算公式计算电流I=S/U/1.732=57.74A,真空断路器额定电流为630A,短路电流运行分断能力为25kA,上述真空断路器的额定电流630A能够满足小区电力系统平时稳定运行的额定电流的要求(Ie=630A>IG=57.74A)。故本工程保护及测量TA变比选用75/5A。因该变压器属消防及公共专变,根据设计规范需在低压侧安装高供高计计量装置一套。即配变容量为S=1000kVA,电压U=10kV,根据计算公式计算电流IG=S/U/1.732=57.74A。根据计量电流互感器变比选择公式(CT = K调整系数×IG = 1.1×57.74 =63.51A),参照《2014版计量装置典型设计》故该计量电流互感器变比为75/5A(以供电方案一致)。
注:所使用的互感器需配有厂家条形码或二维码
五、变压器计量电流互感器选择

变压器计量电流互感器选择表
六、变压器高、低压侧断路器选择
(1)配电室变压器低压进线侧总断路器:采用框架式万能断路器,脱扣器为热脱扣,电磁脱扣及分励脱扣;热脱扣电流整定值按照低压侧额定电流的1.1~1.3倍进行选择。①容量为1000kVA变压器,低压侧额定电流为ID=1443.42A,即:1443.42A×1.3=1876.44 A,低压进线总开关选择智能型固定式2000A(整定值2000A);②容量为800kVA变压器,低压侧额定电流为ID=1154.73A,即:1154.73A×1.3=1501.15A,低压进线总开关选择智能型固定式1600A(整定值1600A);③容量为1250kVA变压器,低压侧额定电流为ID=1804.27A,即:1804.27A×1.3=2345.55A,低压进线总开关选择智能型固定式3150A(整定值3150A)
(2)其他各变压器高压开关均选择VS1-12/630A-25kA真空断路器,均满足系统稳定运行要求。低压侧断路器采用框架式万能断路器,选择原则与上述一致,在此就不做一一计算,开关容量及参数详见设计图纸。
(3)变压器低压开关柜馈线开关电流热脱扣值需要与本设计中末端配电箱进线断路器的电流脱扣值相对应,一般该值比下一级电流热脱扣值大一个等级。在此不进行一一验算及校核。
七、微机保护装置
(1)配电室高压开关柜进线柜采用线路保护采用RVB-8010D-H保护装置实现,具备:电流速断、限时速断、过电流、过负荷、零序电流、低电压、母线接地、PT断线报警功能。
(2)变压器保护采用RVB-8010D-H保护装置实现,具备:电流速断、限时速断、过电流、过负荷、高压侧零序过流、低压侧零序过流、低电压、母线接地、PT断线报警、非电量(温度升高、温度过高)。
(3)本工程配电室变压器均采用干式变压器其温度保护设置为:115°跳闸,110°高温发信,90°风机启动,80°风机停。
八、高压电力电缆选型:
首先,正常最大供电负荷不超过该线路安全载流量;其次,按照经济电流截面公式进行选择;最后,综合上述两点对导线截面进行选择。
根据《电力工程电缆设计规范GB 50217-2007》中附录C.0.3规定:

高压电力电缆选型表
按照经济电流密度Jec计算经济导体截面Aec公式如下:

经济电流密度Jec计算经济导体截面Aec公式
各类负荷年最大有功利用小时取值如下:
居民住宅:年最大有功负荷利用小时数为900-1500h;
②行政办公:年最大有功负荷利用小时数为1350-2250h;
商业金融:年最大有功负荷利用小时数为2250-2700h;
④工业:一班生产制:年最大有功负荷利用小时数为2200-2600h;两班生产制:年最大有功负荷利用小时数为3500-4900h;三班生产制:5500-7000h。
表三 高压母线矩形铜排载流量表(A)

高压母线矩形铜排载流量表(A)
8.1线路电源电缆选择计算:
①110kV城南变电站10kV师专路III回线10kV普洱大道II回线 T 10kV制药厂支线1号环网柜搭接至10kV户外开关站高压电缆选择:该条支线总配变容量共计4300kVA,电压U=10kV,电流I=248.27A。I30=248.27A,Aec=I30/Jec=248.27÷2 =124.13mm2,根据经济电流密度计算选用150mm2铜芯电缆,对照电缆载流量表校选择150mm2铜芯电缆即可。由于该电缆为锦辉•水云间配电项目总电源主电缆故适当选择大一级的185mm2铜芯电缆,最终选用185mm2铜芯电缆。(参照表一)。
②1号10kV开闭所(3AH)高压开关柜至1号配电室高压电缆选择: 该条支线为普洱市锦辉•水云间2号配电室配变容量共计S2=1×800kVA+1×1000kVA+2×1250kVA=4300kVA ,I30=248.27A,Aec=I30/Jec=248.27÷2=124.13mm2,根据经济电流密度计算选用150mm²铜芯电缆,对照电缆载流量表选择150mm2铜芯电缆即可。由于该电缆为锦辉•水云间配电项目总电源主电缆故适当选择大一级的185mm2铜芯电缆,最终选用185mm2铜芯电缆。(参照表一)。
8.2各台变压器进线电缆选择计算:
各台变压器均按50mm2铜芯电缆选择,根据以上计算公式及对照电缆载流量表所选用电缆截面均能满足变压器安全稳定运行要求(参照表一)。
8.3高压母排选型计算
高压柜铜排选择标准 中置柜型:KYN28柜
校验选用GB3906[附录D]中公式:S=I/a√(t△θ)
式中:I—额定短时耐受电流;a—材质系数,铜为13,铝为8.5;t—额定短路持续时间;△θ—温升(K),对于裸导体一般取180K,对于4S持续时间取215K。
则:
25kA/4S系统铜母线最小截面积S=(25000/13)*√4/215=260mm²根据截面TMY-3×(60×5)就可满足;
31.5kA/4S系统铜母线最小截面积S=(31500/13)*√4/215=330mm²根据截面TMY-3×(60×6)就可满足;
40kA/4S系统铜母线最小截面积S=(40000/13)*√4/215=420mm²根据截面TMY-3×(60×8)就可满足;
63kA/4S系统铜母线最小截面积S=(63000/13)*√4/215=620mm²根据截面TMY-3×(80×8)就可满足;
在选型10kV高压母排时还要考虑动稳定性校验、热稳定性校验、是否是总负荷集中出线侧主母排等综合因素,查阅电工手册,可以了解对于10kV电气设备的论述参数中,包括额定短路耐受电流25(kA)和额定峰值耐受电流63(kA)两个耐受电流;若只考虑10kV额定短路耐受电流25(kA)选用TMY-3×(60×6)高压母排足以满足用电需求,但综合考虑额定峰值耐受电流63(kA)选用TMY-3×(80×8)高压母排完全满足用电需求,故在此次设计中选择TMY-3×(60×6)的高压母排。(注:设备厂家严禁改动高压母排,如有任何问题请及时联系设计单位)
8.4 低压母排计算
①#1变压器容量S=800kVA,电流I=1154.73A低压配电母排选择TMY-3×(100×10)+1×(100×10) PE TMY-1×(100×10)铜牌载流量为1680A(1680A>1154.73A)故选用该矩形铜排可满足需求;
②#2变压器容量S=1250kVA,电流I=1804.27A低压配电母排选择TMY-3×(120×10)+1×(120×10) PE TMY-1×(120×10)铜牌载流量为1833A(1833A>1804.27A)故选用该矩形铜排可满足需求;
③#3变压器容量S=1250kVA,电流I=1804.27A低压配电母排选择TMY-3×(120×10)+1×(120×10) PE TMY-1×(120×10)铜牌载流量为1833A(1833A>1804.27A)故选用该矩形铜排可满足需求;
④#4变压器容量S=1000kVA,电流I=1443.42A低压配电母排选择TMY-3×(100×10)+1×(100×10) PE TMY-1×(100×10)铜牌载流量为1680A(1680A>1443.42A)故选用该矩形铜排可满足需求;
(注:设备厂家严禁改动低压母排,如有任何问题请及时联系设计单位)。
九、无功补偿计算
本工程以#1变800kVA(商业专变)无功补偿计算为例:
Qc= P1·K1 (tgθ1- tgθ2)
P-有功计算负荷
K1-住宅需要系数(K1=0.8)
用户设备平均功率因数COSφ—取0.8
补偿后用户功率因数COSφ—需达到0.9
查电工手册COSφ=0.8时,tgθ1为0.75;COSφ=0.9时,tgθ2为0.48
=767kW{《1号配电室用电负荷计算表(一)》}×0.9×(0.75-0.48)
=690.3×0.27
=186.38kvar
同理可得:
(1) #1变SCB11-800kVA干式变压器(商业专变),根据《商业用电负荷计算》,无功补偿计算应补偿186.38kvar,最终补偿320kVar(按变压器容量的40%补偿),单只容量为10kVar,5组、单只容量为30kVar,3组、单只容量为45kVar,4组;共计12回路总补偿320kVar;低压无功补偿装置按实际功率因数进行补偿,采用智能型补偿装置需分组配手、自动投切,不会发生过补偿。通过验算原变压器配置的无功补偿容量满足本工程运行要求。
(2) #2变SCB11-1250kVA干式变压器(住宅公变),根据《商业用电负荷计算》,无功补偿计算应补偿458.29kVar,最终补偿500kVar(按变压器容量的40%补偿),单只容量为20kVar,1组、单只容量为30kVar,4组、单只容量为45kVar,8组;共计13回路总补偿500kVar;低压无功补偿装置按实际功率因数进行补偿,采用智能型补偿装置需分组配手、自动投切,不会发生过补偿。通过验算原变压器配置的无功补偿容量满足本工程运行要求。
(3)#3变SCB11-1250kVA干式变压器(商业专变),根据《商业用电负荷计算》,无功补偿计算应补偿415.16kVar,最终补偿500kVar(按变压器容量的40%补偿),单只容量为20kVar,1组、单只容量为30kVar,4组、单只容量为45kVar,8组;共计13回路总补偿500kVar;低压无功补偿装置按实际功率因数进行补偿,采用智能型补偿装置需分组配手、自动投切,不会发生过补偿。通过验算原变压器配置的无功补偿容量满足本工程运行要求。
(4) #4变SCB11-1000kVA干式变压器(消防及公共专变),根据《居民住宅负荷计算》,无功补偿计算应补偿325.43kVar,最终补偿400kVar(按变压器容量的40%补偿),单只容量为10kVar,4组、单只容量为30kVar,3组、单只容量为45kVar,6组;共计13回路总补偿400kVar;低压无功补偿装置按实际功率因数进行补偿,采用智能型补偿装置需分组配手、自动投切,不会发生过补偿。通过验算原变压器配置的无功补偿容量满足本工程运行要求。
十、干式变压器温控配置
干变配置超温跳闸保护、高温发信。根据《干式电力变压器负载导则GB/T1094.12-2013》中5.12条款对干变绝缘系统和绕组极限温升的规定,采用H型绝缘材料的干变外壳温度极限值为180摄氏度,并且其绕组温度极限值为205摄氏度。因此根据此条款本工程配电室变压器均采用干式变压器其温度保护设置为:115°跳闸,110°高温发信,90°风机启动,80°风机停并配套相应的温湿度控制器。
十一、发电机自备电源容量选择计算
11.1自备电源柴油发电机配置原则
消防、公共用电负荷的需要系数按照0.6-0.8考虑;如消防、公用负荷比较多的情况下:
(1)一般按消防负荷占的比率大就按消防负荷选择发电机;
(2)公用负荷占的比率大就按公用负荷选择;
(3)大型商场、超市、影院、医院及国家重点机构等人口密集或重要的场所选择发电机原则为按一级安保电源负荷的120%选择。(一级负荷包括:消防用电负荷、应急照明、走道照明、值班照明、安防系统、客梯、排污泵、生活水泵)。摘自《住宅建筑电气设计规范》及《(2017年新下发)20kV以下20kV及以下电网装备技术导则》。
根据应急柴油发电机配备原则,本工程建筑类型是以居民住宅及部分商铺为主的新型小区,经负荷统计本工程一、二级消防负荷共计932.4kW,根据应急柴油发电机配备规范,发电机运行时若发生火灾,则客梯、生活泵等非消防负荷出线开关在火警信号驱动下脱口,以保证消防负荷用电需求在应急发电机供电范围,故只对消防负荷供电,非消防负荷基本处于停电状态。为达到安全、合理以及经济的配置柴油发电机容量,本工程的柴油发电机负荷容量采用比较非消防及消防负荷的大小,按照两者间的较大者选择。从表格数据中不难发现,消防负荷占主体。因此本工程的柴油发电机容量按消防负荷来选择,依据最大消防负荷着火情况考虑。即Pmax×K同时率=932.4kW×0.6=559.44kW;选用一台600kW柴油发电机即可满足备供需求。
综上所述,本工程消防及公用负荷统计1819.6kW《详见发电机负荷计算表(五)》,其中消防负荷为932.4kW,非消防负荷887.2kW 。故发电机配置一台室内600kW,带自启动装置,能实现自动投入及停机。
11.2市电与柴油发电机的切换原理
柴油发电机组是自备电站交流供电设备的一种类型,是一种小型独立的发电设备,以内燃机作动力,驱动同步交流发电机而发电。柴油发电机组又称移动电站,是一种备用电源,当外部电网发生供电紧张、故障或检修暂停供电时,可通过启动柴油发电机组供电,以维持正常供电,这在发生临时供电、连续生产时突然断电以及消防等方面发挥着重要作用。
本工程在#4消防及公共专变低压侧装设监测失压装置,一般市电为正常电源,柴油发电机组应急备用,当市电故障时;监测失压装置发出信号(220V失压信号)至发电机(自带自动柜)控制主板,控制主板采集到回路电压信号应急发电机启动。(本工程采用 KVVP22-4×4mm2控制电缆);当市电恢复时,切换装置发出信号停机组,恢复正常供电。如机组容量不足时,切换装置可发出信号卸掉次要负载;当市电恢复时,切换装置可发出信号恢复被卸掉负载。转换开关在自动位置,装置自动运行;在手动(停止)位置,切换装置自动切除,可在KIT上手动分合断路器;市电与发电机组电源转换时间调节范围为0.1秒~240秒。

变压器