三角函数复数解题技巧 (三角函数的复数计算方法)

两个复数的乘积:

三角函数复数运算法则,三角函数复数解题技巧

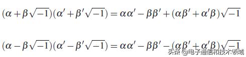
两个实数平方和乘积:

三角函数复数运算法则,三角函数复数解题技巧

三角函数复数运算法则,三角函数复数解题技巧

三角函数复数运算法则,三角函数复数解题技巧

复数之间的等价变换:

三角函数复数运算法则,三角函数复数解题技巧

三角函数复数运算法则,三角函数复数解题技巧

三角函数复数运算法则,三角函数复数解题技巧

两个三角函数复数乘积:

三角函数复数运算法则,三角函数复数解题技巧

三角函数复数运算法则,三角函数复数解题技巧

三个角的正弦和余弦函数:

三角函数复数运算法则,三角函数复数解题技巧

三角函数复数的除法:

三角函数复数运算法则,三角函数复数解题技巧

三角函数复数运算法则,三角函数复数解题技巧

正幂的三角函数复数运算:

三角函数复数运算法则,三角函数复数解题技巧

三角函数复数运算法则,三角函数复数解题技巧

二项式定理展开的三角函数:

三角函数复数运算法则,三角函数复数解题技巧

三角函数复数运算法则,三角函数复数解题技巧

负幂的三角函数复数运算:

三角函数复数运算法则,三角函数复数解题技巧

三角函数复数运算法则,三角函数复数解题技巧

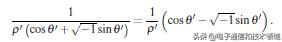
含旋转半径的复数运算:

三角函数复数运算法则,三角函数复数解题技巧

三角函数复数运算法则,三角函数复数解题技巧

三角函数复数运算法则,三角函数复数解题技巧

三角函数复数运算法则,三角函数复数解题技巧

含旋转半径的正幂和负幂运算:

三角函数复数运算法则,三角函数复数解题技巧

三角函数复数运算法则,三角函数复数解题技巧

三角函数复数运算法则,三角函数复数解题技巧

三角函数复数运算法则,三角函数复数解题技巧