
新冠疫情改变了正常的社会秩序,也影响了人们对世界的认知。病毒的扩散和对疫苗的急切需求在互联网上催生出众多生物学科普;全球停摆带来的经济衰退使得经济显学信徒一增再增;更不要说在当今国际社会集体右转、逆全球化趋势抬头的大背景下国关话题就未曾冷却过……
而有一门学科,看似无人问津,却对疫情期间办公室、学校和其他公共空间重新开放,同时保持人与人之间的安全社交距离十分必要。它就是数学,所有关于人员排布的问题都可以从数学家这几个世纪以来的研究中得到答案。

那么到底怎样让大家恢复上班,同时又保持合理的安全距离呢?我们可以把这个问题简化为“球体填充”,即在给定的平面或空间中排列尽可能多的圆或球体。
举个例子来说,如果每个人都必须与其他人保持6英尺(1.8米)的距离,那么问题就是要计算出一间办公室或餐厅里最多能能坐多少人。
这乍听起来是一个很简单的问题,但却一直困扰着历史上一些最伟大的数学家,而且围绕这个问题至今仍然有令人兴奋的研究诞生,特别是在更高维度上。
例如,数学家最近证明了将球体填充到8维和24维空间的最佳方法,可不要小瞧这个看起来不知所谓的研究,它可是优化手机的纠错代码技术和太空探测器通信技术所必需的理论基础。因此,让我们来看看当我们试图用最简单的形状填充空间时,究竟会出现什么你意想不到的复杂情况。
我们来设想一个情景:现在你的工作是将用一个盒子给橙子打包(或在安全社会距离下安排学生的座位,二者大同小异)。那么盒子的大小和形状就是问题的关键。
首先,把问题降维一下,它就转化成了在二维空间中用不重叠的相同大小的圆覆盖平面。换句话说就是在平面上填充圆。

估计此时大多数人的第一反应是按照上图进行有规则的重复平铺排列,这是很自然的想法。不过在这种情况下,圆圈之间就会有小缝隙,也就意味着平面没有完全覆盖,即所谓的“填充密度”不高。

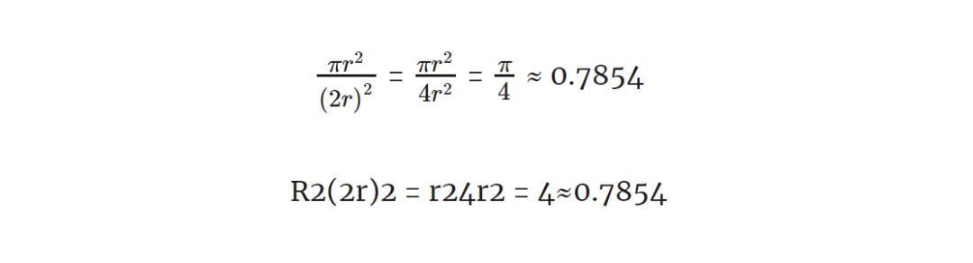
在这种“方形填充”(即我们把圆的中心想象成正方形的顶点)的条件下,假设每个圆的半径为r,则填充面积百分比计算过程如下:

可以算出,每一个正方形被圆覆盖的面积约为78.54%。因为平面中圆的排列是重复的,所以由一得全貌,整个平面中圆的填充密度也是约为78.54%。
现在,我们需要想办法改进一下排列方式以提升填充密度。估计聪明的你已经想到,只需要将每两排圆交错排列,就可以减少圆与圆之间的缝隙,进而减少“空间浪费”。

有了上面正方形的经验,我们依葫芦画瓢,可以把这种排列方式中的圆心想象成规则的六边形的顶点。那么它的名字也就自然而然成了“六边形填充”。

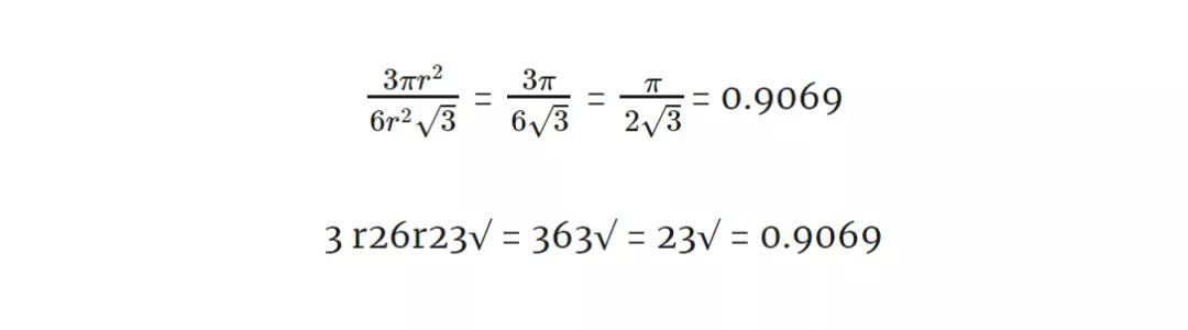
我们来比较一下它的填充密度。假设每个圆的半径为r,则六边形中填充面积百分比计算过程如下:

可以看出,每个六边形大约有90.69%的面积被圆覆盖,因此这是比方形填充更有效的填充方式。事实上,这也是填充密度最高的方式,没有比这更高的了。
那么这个结论是怎么得出的呢?要证明这一点可不容易,像约瑟夫·路易斯·拉格朗日(Joseph Louis Lagrange)和卡尔·弗里德里希·高斯(Carl Friedrich Gauss)这样的著名数学家早在18世纪末19世纪初就开始了这项工作,但直到20世纪40年代,当所有可能的排列方式(包括规则的和不规则的)都被严格计算后,这个问题才得到彻底解决。
单单是在二维空间中处理填充问题花了上百年的时间,那要是切换到更高维度空间的话,事情是不是就难上加难了?
的确,在三维空间中进行球体填充是一个复杂得多的问题,其与上面所讲的二维平面填充有相同点,但也不完全一样。
例如,在方形填充或六边形填充中,排列其实符合逐层堆叠的思路,不同的填充方式取决于我们如何将每一层放置在另一层之上。这一点在三维空间中也是适用的。


但在三维空间中,几何结构就更复杂了。在每一层球体中,相邻空隙之间的距离小于球体中心之间的距离。所以你不能在每个缝隙里放一个球体:那样它们就重叠了。这时候,你再将第二排放上去后,就会出现一个有意思的事情,那就是从俯视的角度来看的话,两层球体中会有一个个的“缝隙”。

而当放置第三层时,你就会面临两个选择。一种是如下图所示,维持缝隙不变。事实上,这样就会让第三层的球体正好落在第一层球体的正上方。为了同二维中的概念相类比,这种球体的排列方式被称为“六边体密集填充”(hexagonal close-packed,HCP)。


第二种选择就是将“缝隙”封闭,即你把第三层的球体直接放在第一层的缝隙上方。这就是所谓的“面心立方晶格”(face-centered cubic,FCC)或“立方体密集填充”(cubic close-packed)。从鸟瞰的角度看,“缝隙”就不见了。


这两种相似但实质完全不同的排列方式多出现在化学中,最常见的就是原子在不同物质中的排列。例如,像银和金这样的金属就具备典型的FCC结构,而像锌和钛这样的金属则是HCP结构。
回到球体填充的问题,在HCP排列中,每隔一层的球体都在完全相同的位置,而在FCC中,是每三层的球体在相同的位置。实际上,你还可以通过混合模式创造出无限多个不同的填充方式。
但你以为事情到这里就结束了?HCP和FCC模式最引人注目的是它们都能产生最佳的填充模式!即达到约0.7405的最佳填充密度,这也是三维空间中最密集的球体填充方式了。
同样的,要印证这一点也花费了几百年的时间,著名的数学家、天文学家约翰内斯·开普勒(Johannes Kepler)在1611年就猜测到了这一点,但直到1998年,数学家托马斯·黑尔斯(Thomas Hales)才给出了完整的证明。

托马斯·黑尔斯
让我们来总结一下:三维空间中的额外空间给了我们更多有效填充球体的方法。而随着维度的增加,填充也变得更加复杂——更多维的空间意味着更多的填充方案可能性,但同时也意味着更难可视化。不仅如此,球体在更高的维度上比例还会变得更小。

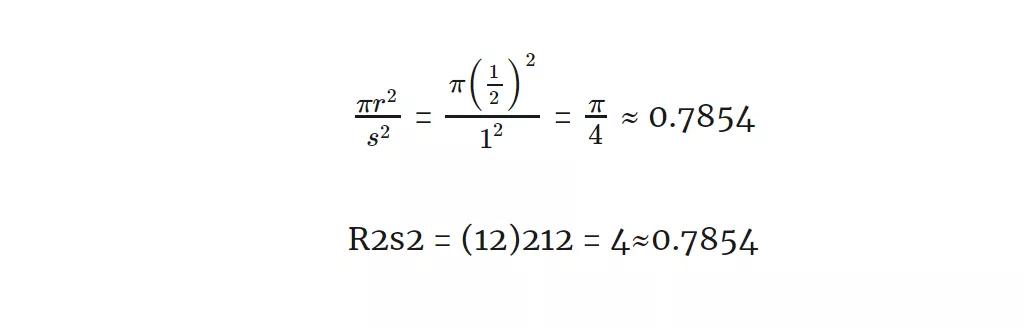
我们举个例子,在一个边长为1的正方形中画一个圆。圆的半径r=1/2,所以圆的面积与正方形的面积之比为:

也恰好就是“方形填充”中的填充密度。

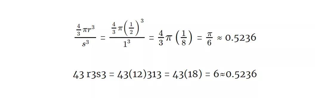
同样转换到三维空间中,一个球体与立方体的体积之比为:

请注意内切球在三维空间中的填充密度要小于内切圆在二维空间中的填充密度——随着维度的增加,这个比率会逐级降低。也就是说,当 n 变大时,n 维球体在 n 维空间中的填充密度越来越低。
以上规律可以用微积分来表示,但是我们也可以通过思考角来理解它。在每一个维度上,我们都可以在一个n维的立方体里面刻画一个n维的球体。球体接触到了立方体的面,但没有触达立方体的角,所以在每个角的周围都有一个区域,这个区域在立方体内,但在球体外。
可一个n维的盒子有2ⁿ个角,这意味着随着n的增加,球体未覆盖的区域数量会成倍增长。不仅如此,角与球体之间的距离也会拉长。这意味着随着n的增加,属于n维立方体内但在n维球体外的空间会越来越大。
如果说球体缩小还不够惊艳的话,那么研究球体填充的数学家们在8维和24维中发现了更加令人惊讶的事情。在这两个维度中,球体收缩得恰到好处,能够用新的球体填补空隙,产生了所谓的高维空间的超密填充。这些特殊的排列方式被猜测是最优的,但数学家们并不确定。直到2016年,瑞士洛桑联邦理工学院的Maryna Viazovska对8维猜想进行了证明,一周之内,Viazovska和合作者将她的方法进行了扩展,并证明了24维情况下的猜想。

Maryna Viazovska
Viazovska的证明意味着我们现在知道了在1、2、3、8和24维中填充球体的最佳方法。但在其他维度上还有很多工作要做。所以,你不妨现在就找几个橙子尝试做一下实验,没准你就会成为那个最终填补“空白”的人。
参考资料:
[1]https://www.quantamagazine.org/the-math-of-social-distancing-is-a-lesson-in-geometry-20200713/
[2]https://www.quantamagazine.org/sphere-packing-solved-in-higher-dimensions-20160330/