1.1 概述
火电厂大型燃煤锅炉机组一般都采用煤粉燃烧方式。这种燃烧方式可以适合于大的锅炉容量,具有较高的燃烧效率、较广的煤种适应性以及较迅速的负荷响应性。煤粉在炉内是处于悬浮状态燃烧的,燃烧过程在煤粉流经炉膛的短暂时间内完成,从着火稳定性与系统的经济性角度,电站锅炉都对煤粉的细度和干度提出一定的要求。火力发电厂制粉系统的任务就是为锅炉制备和输送细度及干度符合运行要求的煤粉。
制粉系统从系统风压方面可分为正压式和负压式;从工作流程方面又可分为直吹式和中间储仓式两类。所谓直吹式制粉系统,就是原煤经过磨煤机磨成煤粉后直接吹入炉膛进行燃烧;而中间储仓式制粉系统是将制备出的煤粉先储存在煤粉仓中,然后根据锅炉负荷需要,再从煤粉仓取出经给粉机送入炉膛燃烧。直吹式制粉系统制备出的煤粉一般是被具有一定风压的一次风吹至炉膛的,系统处于正压状态,所以直吹式制粉系统一般属于正压式制粉系统;而在中间储仓式制粉系统中制备出的煤粉一般是由排粉风机抽出的,系统处于负压状态,所以中间储仓式制粉系统一般属于负压式制粉系统。
我公司制粉系统属于正压直吹式。每台锅炉配置8只有效容积为500m3的原煤斗。所采用的给煤机为上海重型机器厂生产的9224型电子称重式给煤机,磨煤机为上海重型机器厂引进法国阿尔斯通公司的技术生产的BBD-4360型双进双出钢球磨煤机。每套制粉系统由一台磨煤机和两台给煤机组成,每台锅炉装设四套制粉系统对应四台磨煤机和八台给煤机。
1.1.1 工作流程
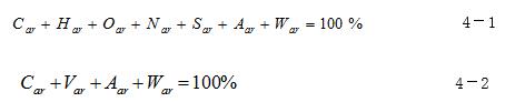
正压直吹式制粉系统的原则性流程如下:原煤由输煤系统进入原煤斗,再落入给煤机,经给煤机调节给出的煤量后进入磨煤机,磨煤机将原煤研磨成细度初步合格的煤粉,这部分煤粉再进入煤粉分离器,煤粉分离器将煤粉分成粗细两部分,粗粉返回磨煤机重新磨制,细粉经PC管被一次风吹往燃烧器。如图4-1所示:

图4-1 我公司制粉系统的原则性工作流程

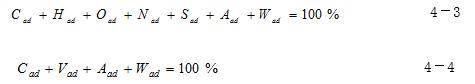
图4-2 我公司制粉系统工质流程示意图
1、磨煤机筒体 2、煤粉分离器 3、PC管 4、电子称重式给煤机 5、原煤斗 6、混料箱 7、旁路风管 8、一次风总管 9、螺旋输送器 10、磨煤机中空轴轴承 11、回粉管
图4-2为我公司制粉系统的示意图:炉前原煤由每套制粉系统的两只原煤斗经下部落煤挡板落入两台转速可调的电子称重式给煤机。两台给煤机根据磨煤机筒体内煤位(料位)分别送出一定数量的煤经过给煤机出口挡板进入位于给煤机下方的磨煤机两侧混料箱。在混料箱内原煤被旁路风干燥(旁路风引自冷热一次风混合后的磨机总一次风),再经磨煤机两端的中空轴(耳轴)内螺旋输送器的下部空间分别被输送到磨煤机筒体内进行研磨。磨煤机筒体内的一次风将研磨到一定细度的煤粉经两侧耳轴内部的螺旋输送器上部空间分别携带进入两台煤粉分离器。细度合格的煤粉经每台分离器顶部的四根煤粉管(PC管)引至锅炉燃烧器;细度不合格的煤粉经下部的回粉管返回磨煤机再次研磨。
制粉系统运行所需要的一次风由本锅炉的一次风机提供,两台一次风机正常运行采用并联方式。每台风机出口分两路,其中的一路经回转式空预器加热后汇入制粉系统热风母管;另一路则不经空预器加热直接汇入制粉系统冷风母管。每套制粉系统分别从冷风和热风母管引出一路风经开度可调的冷风和热风挡板后汇合成该套制粉系统的入口总一次风,温度合适的一次风经该套制粉系统的一次风截止挡板后再分两路,分别从磨煤机两端的一次风进风空心圆管进入磨煤机筒体,这部分一次风是用来调节磨煤机的出力的,也称为双式球磨机的负荷风。系统流程如图4-3所示。
在磨煤机一次风截止挡板后的两路一次风管上,分别引出一路风到给煤机下混料箱与原煤汇合,这路风称为旁路风。其作用有两方面:1、干燥从给煤机落下的原煤;2、当低负荷时通过调整该风量来保证进入磨机筒体的一次风的携带煤粉的能力。
由于制粉系统采用正压的工作方式,为防止热风及煤粉从磨煤机中空轴动静部件之间的间隙处逸向大气或污染磨煤机润滑油,本制粉系统装设专门的密封风系统。每台炉制粉系统的密封风系统由两台100%容量的离心式风机(正常运行一运一备)、管道及相关组件构成。为防止磨煤机大齿轮润滑油被泄漏的煤粉污染、保证齿轮罩内的微正压,每台磨煤机还设有一台齿轮罩密封风机为齿轮罩提供密封风。此外,从防止给煤机皮带高温老化、防止给煤机着火等角度,本系统还取本台磨煤机的中空轴密封风作为给煤机的密封风。

图4-3 磨煤机一次风系统
1、引自冷风母管的冷风 2、引自热风母管的热风 3、冷风门 4、热风门 5、混合器
6、一次风截止门 7、清扫风门 8、驱动端(非驱动端)负荷风门 9、清扫风总门
10、旁路风门 11、分离器出口磨煤机出口气动关断挡板 12、分离器出口PC管
由于分离器出口PC管较长,为防止磨煤机PC管内存粉造成制粉系统出力下降及煤粉自燃或*破爆**,本系统还设有PC管清扫风系统,清扫风取自磨煤机冷一次风。
1.1.2 总体布置
我公司制粉系统的磨煤机和给煤机均采用纵向布置。整个制粉系统布置在主厂房煤仓框架内,主厂房煤仓框架跨度12米,每台炉的四套制粉系统共占8档。煤仓框架分零米底层、13.7米层、37.50米层共三层。其中37.5米层为输煤皮带层,13.70米至37.5米层间每台炉布置8台500m3容积的原煤斗;13.7米层布置有每台炉的8台给煤机、4套磨煤机加球装置、8台粗粉分离器的上半部分,分离器的顶部标高为14.330米。从零米底层以下-1300mm至零米以上标高2.140米之间布置有每台炉的4块双进双出钢球磨煤机基础台板(长和宽分别为12970×9500mm),基础台板上安装有磨煤机本体、主辅电机、减速器传动机构等设备。每台磨煤机的润滑油站布置在基础台板以外锅炉本体侧的零米地面上。磨煤机基础台板是在其底部预先安装好的弹簧隔振装置(共42件/台)的上面用钢筋、混凝土整体浇铸而成的。
每台炉制粉系统的两台密封风机布置在锅炉厂房扩建端K1排柱和K2排柱之间的零米层。两台风机中间的中心线距主厂房D排墙3500mm。每台炉制粉系统的冷、热风母管及密封风母管纵向布置在锅炉厂房K1排柱与主厂房D排墙之间,标高7.5米至10.0米的范围内与四台磨煤机的中轴线平行。
在每台机组主厂房D排墙第3号柱与第2号柱之间的锅炉零米侧设有深度为1.0米的地下钢球池,用来储存制粉系统备用的钢球。
1.1.3 我公司配置双式球磨机正压直吹式制粉系统的优点
1)可靠性高、可用率高:国内外运行情况表明:配双进双出钢球磨煤机的制粉系统的年事故率不超过1%,明显低于其他形式制粉系统的事故率。
2)维护简便,维护费用低:与中、高速磨机比较,双进双出球磨机的维护最简便,维护费用也最低,只需更换大齿轮油脂和补充钢球。
3)出力稳定:能长期保持恒定的容量和要求的煤粉细度,几乎不存在由于磨煤机本身方面的因素造成制粉系统出力下降的问题。
4)对煤种的适应能力优于其他形式的制粉系统:能有效地磨制坚硬、腐蚀性强的煤。双进双出磨煤机能磨制哈氏可磨性系数小于50的煤种或高挥发分(>40%)的煤种,而这对于中、高速磨煤机是无法适应的。
5)储粉能力强:与中、高速磨煤机相比,双进双出球磨机的筒体本身就是一个大的储煤罐,有较大的煤粉储备能力,大约相当于磨煤机运行10~15min的出粉量。
6)在较宽的负荷范围内有快速的反应能力:试验表明,双进双出磨机正压直吹式制粉系统对锅炉负荷的响应时间几乎与燃油和燃气炉一样快,其负荷变化率每分钟可以超过20%。双进双出磨机的自然滞留时间是所有磨煤机中最少的,只有10s左右。
7)能保持一定的出口风煤比:在双进双出球磨机中,通过磨机的风量与带出的煤粉量呈线性关系。当设计的风煤比一定时,要增加磨机出力只需相应增加风量即可。
8)低负荷时依然能保证合适的煤粉细度:在低负荷运行时,由于一次风量减少,相应的风速也减小,带走的只能是更细的煤粉。这对于锅炉低负荷稳燃是有利的。
9)显著的灵活性:对双进双出球磨机而言,当低负荷运行或启动时,即可全磨也可半磨运行。被研磨的介质既可以是一种,也可以是几种混合物料。此外,一台给煤机事故或一端煤仓(或落煤管)堵煤时,磨煤机仍能运行。
1.2 原煤与煤粉
原煤是火力发电厂运行过程中的最初处理对象,原煤特性的改变将影响到发电厂整个的后续生产过程,对锅炉机组的出力与可利用率、机组的效率与维修费用、整个发电厂的经济性与运行的可靠性都具有很大的影响。
煤炭的热值、水份和可磨度系数将影响到磨煤机的出力与运行方式;原煤灰份的大小与组成将直接影响辗磨部件的使用寿命和维修费用;原煤挥发分的大小将影响到燃烧的着火稳定性和炉内的燃烧工况,从而影响到过、再热汽温、配风方式和燃烧对煤粉细度的要求。
1.2.1 煤炭的生成和分类
煤炭是由不同时代的植物在造山运动中由于漂流等原因被积聚、再埋藏于地层中而形成的有机生物岩。因此成煤的先决条件是在造山运动之前有一个高等植物的蓬勃发展期及起伏的地形与广大的沼泽地带,使植物能通过漂流得到储积,并浸没在水中在缺氧条件下与细菌的作用产生反应并保存下来,再在造山运动中被埋于地层中在地压地温的作用下缓慢的转变成煤。不同的埋压时间使煤具有不同的特性。中科院出版的«中国地质概述»一书中提出古生代的石炭纪和二叠纪生成的煤种主要是烟煤和无烟煤;中生代的侏罗纪和新生代的第三纪所生成的主要煤种是褐煤与烟煤。我国煤炭资源在成煤方面的特点是成煤时期多、分布广泛、类型复杂。煤炭的生成过程可以分成由植物残骸转变成泥炭的泥炭化过程和由泥炭转变成褐煤、烟煤和无烟煤的煤化过程两个过程。
我国习惯上将煤炭归之于泥煤、褐煤、烟煤和无烟煤四大类。
泥煤具有较高的水份以及可燃基挥发分,通常也具有较高的灰份,难以适用于大容量的电站锅炉。
褐煤是一种生成年代较近的煤炭。在沉浸于水中时,会使水呈褐色。在堆放过程中容易因收缩而脆裂。褐煤的结构较松散,易风化,易碎裂与磨制,表现出可磨系数高的现象。新采掘的褐煤呈块状,经短期的堆放后会因失水而碎裂成屑;褐煤的含水份高,分析水份多在8%~16%范围内,可燃基挥发分多在40%~60%范围内,可燃基元素分析含碳量多小于77%,含氧量高者可达30%,氢的含量变化相对较大;有含氢量较高也有含氢量较低的褐煤。
烟煤是我公司的应用煤种,其可燃基挥发分值在10%~55%的范围。在我国,烟煤可细分为8类,分别是:长焰煤、不粘煤、弱粘煤、气煤、肥煤、瘦煤、焦煤、贫煤。我公司的应用煤种属不粘煤范畴,该煤种的挥发分和元素分析值与肥煤相当,但没有粘结性。分析基水份可高达5%~15%,可燃基发热量多接近29300kj/kg,与相同挥发分的其他类别的煤炭相比含碳量低而含氧量高,在煤的岩相组成中丝碳体的组分可高达30%~70%。在燃烧过程中容易着火不产生粘结。
无烟煤是煤炭类别中碳化程度最高的。煤块的外观呈黑色到钢灰色,光泽性强,硬度高。纯无烟煤的比重常在1.4~1.9范围内。可燃基碳元素含量常高达90%~98%、氢元素的含量小于4%,氮和氧的含量均低。
1.2.2 煤炭的元素和分析
无论是煤炭的元素分析还是工业分析,其结果都是通过各组成的重量百分率来表达的。煤炭都带有水份,所含的水份也都随着其所处的环境温度、湿度等条件而变,从而使这些分析值也随着外部条件而变。因此不是在相同的条件下得出的结果相互之间是无法进行比较的。在表明分析结果时,必须同时表明相应于这些分析结果的基准(试验条件)。这些基准分别是应用基(亦称接收基或收到基)、干燥基、分析基、可燃基(亦称干燥无灰基)。
应用基:
应用基是煤炭处于入炉或接收状态下的分析结果,亦称接受基或收到基。相应于元素分析及工业分析的表达式分别为:

上述二式中的与无论从意义上还是数值上都是相同的,分别是煤样中的应用基灰份与水份。式4-1中的是指煤样中的固定碳,式4-2中的则是指煤样有机质中的总碳量,二者之差即为挥发分中的碳量。因此虽然符号相同,但意义和数值有别,后者的值总是小于前者。
分析基:
分析基是煤样处于自然干燥状态下的分析结果。实验室分析用这种煤样来进行,能获得较正确的结果,相应的表达式为:

与应用基之间的差别只是由于小于,所以其它成分的百分值都有所增大。
干燥基:
干燥基是将煤样经历105℃的恒重干燥后的测定结果。但是在实际的测定过程中,由于称量过程极易吸湿的原因,都是以分析基的结果扣除水份(=0)后通过计算得出,亦即是排除水份影响后的结果。相应的表达式为:

可燃基:
可燃基是将分析结果排除灰分和水份的影响(=0、=0)后通过换算得出的表达标准。相应的表达式为:

这种表达方式因排除了水份和灰份的影响,进一步明确地表达了煤炭中有机质的组成,因此有关煤炭领域分析数据都是采用可燃基来表达的。
因此可以看出:用应用基、分析基、干燥基、可燃基来表达煤炭的组成成份,在本质上都是相同的,差别只是它们的数值来自于不同的分析标准。以不同基准的测得的百分值也可以进行相互换算。换算关系如表4-1所示:

表4-1 煤炭分析数据换算表
1) 煤炭的元素分析
煤炭的元素分析,表明煤炭有机质中碳、氢、氧、氮、硫元素的含量以及灰份和水份的含量。使煤炭的元素分析值除可用于估量煤炭的发热量、燃烧所需要的空气量和生成的烟气量外,还有如下利用价值:表明煤炭元素与煤化程度之间的联系;可籍长期堆放煤炭前、后的氧元素测定值证明煤炭在堆放期间的风化程度;对组织煤炭燃烧过程更具指导意义。
氢和碳:应该指出的是元素分析氢值是通过在800℃氧气环境下燃烧所产生的水蒸汽量得出的,这份水蒸气中也包含了煤炭有机物与煤炭原生灰份中的某些结晶水以及煤样的分析基水份。后者可以在氢分析值的结果计算公式中扣除,而前二者则无法扣除,因此元素分析氢值并不表示为可供燃烧的“可燃氢”。因此有关煤炭发热量的估算、燃烧空气量的计算中,总需考虑元素分析中来自于水的那部分氢的影响(按H-O/8来计算),扣除这部分氢之后的值才是“可燃氢”。同样元素分析中碳的值也是通过燃烧产生的CO2得出的。而800℃的温度下包含于煤炭原生灰份中的碳酸盐也分解出CO2。因此,在测定结果计算公式中列出了一项修正。
硫:煤炭中的硫大致有三个来源:有机硫、黄铁矿硫或硫化物硫、硫酸盐硫。其中对以取得热量的燃烧过程而言有机硫与黄铁矿硫是可燃的,称之为可燃硫;其余的硫认为是不可燃的。而作为燃料来讲硫份的害处有三点:发热量低,仅相当于同等碳量的约32%;燃烧的产生物SO2和SO3的*点露**低易腐蚀设备;硫的氧化物造成空气污染。对煤炭而言含硫量越低越好。
氮:煤炭中的氮几乎都以有机物的状态存在,并以氨(NH3)和氮苯(C5H5N)的形式出现。煤炭中的含氮量一般随煤炭的煤化程度的增加而减少,含量也都不多。氮无助于燃料燃烧过程热量的释放,而且生成NO、NO2等氮的氧化物(NOX)对于大气的污染比SOx更厉害。所以作为燃料来讲,都希望燃用煤种的含氮量低一些。
氧:煤炭中氧的多寡,表征了煤炭的煤化程度和品味。煤炭中的氧元素几乎全部是以氧化物的形式存在的,而氧化物是不可燃的,因此含氧量越高的煤炭发热量就越低。
元素分析中的水份和灰份则与工业分析中的灰份和水份同值。
2) 煤炭的工业分析
工业分析的煤炭特性用水份、挥发份、固定碳和灰份四个总计为100%的重量份额来表示。工业分析中的水份和灰份值与元素分析值是相同的。
水份:煤炭中按水的存在状态一般可分为外在水份(表面)、内在水份(吸附)和结晶水三部分。煤炭中的水份既不具可供利用的热量,又需在燃烧过程中吸收汽化潜热,并最终以蒸汽的形态排出炉外,使炉内温度水平下降,引风机电耗与排烟损失增大,引起低温受热面积灰和腐蚀。在煤粉燃烧中,除前述问题之外,还容易因煤炭的水份较高而导致输煤系统阻塞、煤斗搭桥、制粉系统出力下降、煤粉管道粘积,以及燃烧器出口煤粉气流着火滞后等一系列问题,从而煤炭的水份总是以低为好。
灰份:灰份是这样定义的:称取一定重量的煤样,放置在箱形电炉中灰化,然后在850±10℃下烧灼到恒重,并在冷却到室温后称重。以残留物的重量占煤样重量的百分数作为灰份数值。煤炭中的灰份来自于成煤植物的本身,成煤过程中的夹杂沉积,以及采掘运输过程中的掺杂。灰份通常理解为煤炭燃烧过程的残留物或不可燃物质。煤炭中的灰份以及灰份的组成对于煤炭的使用价值有很大的影响。灰份增加,煤炭的发热量会降低,单位热量的煤炭运输工作量和灰的处理工作量增大,单位发热量的煤炭的处理和制粉工作量增加,使电厂的厂用电耗增加,受热面和引风机等的磨耗及维修工作量增加。所以说原煤灰份增加,使用价值将降低。灰份的变化影响到受热面的结渣、积灰,从而影响到整个锅炉的设计布置和运行可靠性。可以说锅炉的不少辅机都是因灰份而存在的,锅炉正常的连续运行期限在很大的程度上也是受燃料灰份的多寡影响的。除煤炭的含灰量之外,灰的组分同样是煤质资料中的重要一项。
关于灰份的定义还应该特别指出的一点是:工业分析中的灰份的值只是在特定的条件下(实验室内用固定条件燃烧的方式)的结果,它既不代表煤炭中原生灰份和组份,又因锅炉内的燃烧过程远高于试验的815℃,使这些灰份还将经历进一步的转变,从而也不代表产生于炉内燃烧过程中的具体的灰份组分。但是作为不同煤种之间的比较依据,来判别不同煤种煤灰的变化趋向,无疑是具有实际意义的。
挥发份:煤炭在隔绝氧气的条件下受热时,会因受热温度升高而产生热解,使一部分物质呈气态脱离煤炭体,使母体转化为碳焦,在这一过程中被释放出的物质称之为挥发份。挥发分包括多种气相物质的混合物和液相的焦油。在气相释出物中,除含有少量的CO2和H2O外,主要是各种各样的CO、H2。这些不论是气相还是液相的挥发份,其最后随着温度的升高还将经历从大分子量裂解为小分子量碳氢化合物分子的一系列过程。
煤炭的分类是以煤炭的挥发份含量为依据的,煤炭中的挥发份的含量于煤炭内的水份和发热量、硬度、可磨度系数都是息息相关的。煤炭的挥发份在煤炭受热裂解的释出过程中,是以各种不同的*能官**团的形式脱离母体的,因此挥发份含量不同的煤炭在其着火和燃烧过程中具有不同的行为。从而挥发份对于燃烧过程的影响,不仅仅表征了煤炭气相与固相燃烧过程重量比值的多寡,也包括了从制粉、着火、燃烧,直到燃烬性能的各方面差别。从而使挥发份的含量成为表征煤类燃烧特性的决定性指标。
1.2.3 煤炭的发热量
发热量表征了煤炭在作为燃料使用时的价值,是煤炭的最重要指标。发热量的单位是kj/kg。由于煤炭和其他的化石燃料中都是含氢的,燃烧生成物中都有一定量的水(不包括原煤所含的水份)。在决定燃烧过程所产生的热量(亦即燃料的发热量)时,将这些水规定为气态还是液态的,将使燃料的发热量存在相应于这部分水份的汽化热的差异。从而在对燃料的发热量的表达上具有高位发热量与低位发热量的差别。高位发热量表示为、低位发热量表示为。两者之间的关系表示为下式:

其中及分别是原煤的应用基元素分析氢及水份的百分数;为水的汽化潜热,按我国标准规定为2509kj/kg(600kcal/kg)按美国A.S.T.M标准规定为1040Btu/Ib(578Kcal/Kg),二者略有差异。
煤炭的发热量都是由实验室通过氧弹测量计得出的。为避免原煤所含的水份对测量发热量的试验结果带来误差,都采用实验室经过自然干燥的煤样,并用分析基来表达试验结果。煤样在弹筒内的燃烧过程是在约30个大气压的高过剩氧状态下进行的。燃烧终了后的生成物温度约为20℃左右。原因在于一方面燃烧放出的热量会因温度的降低而增加;另一方面在此条件下燃烧生成水才会转变为液态,以及S和N的燃烧生成物也将转化为硫酸和硝酸,并相应的放出热量。其结果是测得的弹筒发热量,弹筒发热量数值高于煤炭的高位发热量。二者的关系表示为下式:

式中和分别表示煤样的高位发热量及弹筒发热量;是煤样在弹筒内的生成残液中的纯硫酸的百分比;94.1则是硫酸生成热;则是考虑硝酸生成热与溶解热的修正系数,对于无烟煤及贫煤因一般含氮量都低,规定为0.0010,对于烟煤及其他煤种则按0.0015取用。
有关煤炭的元素分析值与煤炭的发热量之间的关系中国煤炭科研院提出以下关系式:

式中的元素分析值采用可燃基;为系数,对于≤88%的煤值为80,>88%的煤则为81。
1.2.4 煤粉的一般特性
1)吸附性:煤粉是由不规则形状的微细颗粒组成的颗粒群,其尺寸一般小于300μm,其中100μm以下的颗粒占多数(尤其20~50μm的颗粒)。与其它颗粒群不同的是,煤粉由于在制粉系统中被干燥,其水份一般为0.5~1.0Winh(内在水份)。因此干燥的煤粉具有很强的空气吸附能力。
2)流动性:刚刚磨制出的煤粉是松散的,轻轻堆放时,自然倾斜角为25°~30°。吸附了空气薄层的煤粉的自然堆积密度为700kg/m3。堆放久了的煤粉,被压紧成块,流动性减少,其堆积密度可达到800~900kg/m3。由于干燥的煤粉流动性好,它可以通过很小的间隙,因此制粉系统的严密性是设计和运行制粉系统都必须考虑的,煤粉的自流给锅炉运行中的调整和操作造成困难。
3)吸湿性:干燥的煤粉也有很强的从周围的环境中吸收水份的能力,称为吸湿性。煤粉吸收水份后会影响其自身的导电性、自黏性,尤其是是流动性。而流动性直接影响煤粉的正常气力输送。
4)磨蚀性:煤粉在管道中进行输送及在制粉系统内部流动时,在惯性力的作用下对管道及各种部件的金属表面进行冲撞和摩擦以致造成壁面的磨蚀,这就是煤粉的的磨蚀性。在制粉系统中,分离器内筒、导向叶片,以及旋风分离器进口气流第一次拐弯处的筒壁、锥体部分磨损的情况特别严重。其中对分离器锥体部分的磨损主要是由于大颗粒的煤粉冲击的结果,这些大颗粒从器壁上反弹而作跳跃运动,在很多情况下,大颗粒的煤粉未返回磨煤机而在分离器的锥体部分继续旋转,使锥体部分受到更为严重的磨损。
5)自黏性:自黏性是由于静电作用力、分子引力及毛细作用力所引起的,这是描述煤粉颗粒之间相互作用的力。除此之外黏附性则描述煤粉颗粒与器壁表面的相互吸引的作用力。
6)自燃性:煤粉长期堆放在某一死区内,与空气中的氧气长期接触而氧化时,自身热分解释放出挥发分和热量,使温度升高,而温度升高又会加剧煤粉的氧化。若散热不良,会使氧化过程不断加剧,最后使温度达到煤粉的着火点而引起煤粉的自燃。在制粉系统中煤粉是由风来输送的,风和粉混合成云雾状的混合物,它一遇到火花就会造成爆炸。在封闭系统中煤粉爆炸时所产生的压力可达0.35Mpa。因此我公司磨煤机和给煤机的设计能承受的压力均为0.35Mpa。影响煤粉爆炸的因素很多,如挥发分的含量、煤粉的细度、风粉混合物的浓度、流速温度、湿度和输送煤粉的气体中氧的比例等。一般来说,挥发分的含量Vdaf<10%的煤粉(无烟煤)是几乎没有爆炸危险的;而Vdaf﹥20%的煤粉(烟煤等)很容易自燃,爆炸的可能性很大。我公司的原煤挥发分较高(设计煤种为38%、煤种1和煤种2分别为39%、28%)所以煤粉爆炸或自燃的可能性较大,这也需要在运行中尽量避免自燃条件的发生,要引起足够的重视。煤粉越细越易爆炸,越粗爆炸的可能性越小。例如:煤粉的细度为0.1mm时几乎不会爆炸。对于挥发分过高的煤不宜磨得过细。煤粉浓度是影响煤粉爆炸性的重要因素,实践表明:最危险的浓度在1.2~2.0kg/m3,大于或小于该浓度爆炸的可能性都会减小;风粉混合物的温度要低于煤粉的着火温度,否则可能会自燃引起爆炸。
制粉系统的煤粉管路应具有一定的倾斜角,风粉混合物在管内的流速应合适:过低会造成煤粉的沉积;过高又会引起静电火花,故一般在16~30m/s范围内。潮湿的煤粉具有较小的爆炸可能性,煤粉的湿度往往反应在磨煤机出口的温度上,因此直吹式制粉系统都对磨煤机出口温度提出严格的要求。我公司的磨煤机分离器出口温度额定温度为70℃。对于我公司正压直吹式制粉系统还应特别指出的是分离器出口PC管在锅炉周围有的管段是水平布置的,这样的管段内部很容易积粉,特别是当锅炉鼓正压的工况下,火焰可能会“回火”引燃PC管内的积粉造成燃烧或*破爆**,严重的情况下可能造成PC管烧毁。为了防止此种情况的发生应采取合适的方式避免磨煤机PC管内的积粉,合理投入清扫风,加强对备用中的磨煤机PC管检查,防止PC管内积粉自燃*破爆**的情况发生。
1.2.5 煤粉的细度
细度是用来反映煤粉颗粒粗细程度的指标。
煤粉的细度是指:把一定量的煤粉放在筛孔尺寸为xμm的标准筛上进行筛分、称重,煤粉在筛上的剩余量占总量的百分数定义为煤粉的细度即:

公式4-12中为筛孔尺寸为xμm的筛上剩余量;为通过筛孔尺寸为xμm的煤粉量。
对于一定的筛孔尺寸,筛上的剩余煤粉量越小则说明煤粉磨得越细,也就是越小。用于衡量煤粉细度的标准筛具有特定的筛号与标准的筛孔尺寸。筛号用目数来表达,目数即筛网单位长度上的孔眼数。各国有不同的惯用标准。在我国如70目筛,表明的是一种在每厘米长度上有70个筛孔眼,即在每平方厘米网面积上有4900个筛孔眼的筛子。不同筛号的筛网由不同直径的金属丝编织而成,筛网的孔眼尺寸与筛网丝的直径近似比为:3:2。从而如70目的筛孔边长为90μm,金属筛网丝直径为55μm。我国常用的有以下五种:

表4-2 我国常用筛号相关数据
国际上常用的煤粉筛还有美国标准筛及泰勒筛等。美国标准筛及泰勒筛与我国的标准筛在目数及筛孔尺寸方面有较大的差别,表示的含义与我国的标准也不尽相同。美制标准筛与泰勒筛都是以每平方英寸上的筛孔数来定义“目数”的,二者之间只有微小的差别。如以美国标准来衡量我公司的磨煤机出力的描述为:200目筛通过72%~75%的煤粉,这里所引用的200目筛其筛孔尺寸为74μm即相当于我国的80目筛。
从燃烧角度看煤粉磨得越细越好,这样也可以适当减少炉内的送风量使排烟热损失降低,同时煤粉细也可降低机械不完全燃烧热损失;从降低制粉系统电耗和降低磨煤机的磨损角度,则希望煤粉磨得粗些。因此锅炉实际采用的煤粉细度应根据不同的煤种的燃烧特性和磨煤机运行费用两个方面进行综合的技术经济比较后确定。因此把q2+q4+qn+qm之总和为最小时所对应的煤粉细度称为经济细度(q2为排烟热损失 、q4为机械不完全燃烧损失、qm为磨煤机电耗、 qn为制粉系统金属消耗)如图4-4所示:

图4-4 经济细度
1.2.6 与煤炭燃烧特性相关的一些指标
几乎所有的煤炭特性指标都与煤炭的燃烧特性是相关的,反之,也没有一个能完全、全面表征煤炭燃烧特性的指标。与此同时,不同的煤炭特性指标对于煤炭燃烧特性的重要性,也随着煤炭燃烧方式的不同而异,并具有相当的差别。作为影响煤炭燃烧特性或者说过程最明显的指标是煤炭的挥发份和粘结性或者说膨胀系数。前者表征着煤炭在燃烧过程中的以气相完成的份额和其对后续固相燃烧过程的影响;后者则关系到煤炭颗粒因形态、尺寸和反应表面积的变化而使其自身的燃烧特性受到的影响。而前者和后者有时又是具有密切联系的。与煤炭燃烧特性有关的还有挥发份的释出特性、焦炭的反应性、煤炭的热稳定值、重度等,以及煤炭在堆放过程中的风化、自燃特性和可磨度。
1) 煤炭颗粒在受热过程中的熔融软化、胶质体和半焦的形式
几乎所有的烟煤在受热升温的过程中与挥发份释出的同时,都会出现胶质体,呈塑性和颗粒的软化现象。煤炭颗粒间的粘结就是因颗粒胶体间的相互粘结而产生的,因此煤炭的粘结性也就于其所呈现胶体的条件相关。当对一个按一定升温速度,经历着受热过程的煤炭颗粒进行观察时,考虑到在此受热过程中热量总是从表面传向颗粒核心的,在同一时间内表面温度也总高于核心。可以发现不同的烟煤,在表面温度达到320~350℃以前,颗粒的形态变化一般觉察不到,只有煤化程度低的气煤才可观察到表面开始有挥发份气体释出。在温度到350~420℃时,可以观察到在颗粒表面出现了一层带有气泡的液相膜,表面上也逐渐失去原来的棱角,这层膜就是胶质体。当温度为500~550℃时,一方面因颗粒内部温度升高,使胶质体层向内层发展,以及外部的胶质体层因挥发份释出被蒸干转化为半焦,即从表面到中心由半焦壳、胶质体和原有的煤三层所构成,但这种形态所保持的时间是短暂的。随着受热的继续,胶质体的发展和体积的膨胀,半焦外壳出现裂口,胶质体流出。其后是胶质体向颗粒中心区域的发展,流出的胶质体被蒸干转变为半焦,直到整个颗粒都经历胶质体和半焦的形成。整个的过程如图4-5所示:
试验证明软化温度越低的煤种,挥发份开始释出的时间越早。因此软化温度Tp(对于不同的烟煤表面开始出现液相膜的温度)和再固化温度TK(呈现最大塑性的温度TMAX以及被蒸干再次呈固体形状的温度)都是表明煤炭流变特性的指标,同样也间接表明了于煤炭燃烧特性密切相关的问题。

图4-5 在结焦过程的不同阶段单独煤粒的转化示意图
2) 粘结性和结焦性
粘结性是指煤炭在缺氧的条件下粘结其自身或外来惰性物成团的能力。而结焦性首先是应炼焦的目的而提出的。除前述的粘结能力之外也包含着被粘结成团的焦炭的结构机械强度之类的性质。对大型电站煤粉炉来说,煤粉颗粒在炉内是相互分离的,虽不会产生相互粘结,但将通过在塑化过程中的形态变化影响到表面结构和实际的反应面积,从而影响燃烧速度。
3) 煤(碳焦)的反应性
煤炭颗粒的燃烬时间因挥发份的释出和燃烬相对迅速而基本上等同于生成碳焦的燃烬时间,碳焦颗粒的反应性是决定燃烧速度的重要因素。反应性也称活性,是指在一定的温度下煤炭与诸如二氧化碳、水蒸气等介质的反应能力;是对不同的煤炭的其他相同条件下的反应速度的相对比较。
4) 煤炭的可选性
煤炭的可选性原是应煤炭工业中的洗选精煤而提出的,但实质上也是与煤炭的燃烧利用特性有关的。煤炭中的灰份是以不同的状态、不同的偏析程度存在于煤炭之中的。这种灰份在煤炭中的偏析程度意味着能使灰份从煤炭中分离出来的可能程度。在煤炭工业中使煤炭中灰份高的石煤、矿石、黄铁矿得以排出,成为低灰、低硫精煤的过程叫做选煤或者洗选。洗选就是将煤碳置于不同的液体中,借助煤炭颗粒间的灰份大小、比重的差别以及沉与浮来进行的。
5) 煤炭的风化和自燃性
煤炭在空气中堆存时,或在离地表很近的煤层中,受环境的影响(包括空气中的氧、地下水和地面上的温度变化等化学和物理作用)的综合影响,其物理、化学和工艺性质会发生一系列的变化,这就是所说的风化。风化的作用主要是煤种的有机物被氧化所引起的,风化的过程基本上也就是氧化过程。氧化过程是放热的,如果氧化过程所释放出的热量不能及时散失,煤堆和煤层中的温度会升高,反应也随之加速,反应释放出的热量将进一步增加,以致煤堆温度进一步升高,当温度达到煤的着火点时,煤堆将因煤自身的放热而自燃。煤炭在低温时的氧化趋向与煤种相关,一般认为煤化程度越高在低温条件下的氧化趋向越小;煤炭的自燃也与煤炭的岩相相关,各岩相成份的氧化趋向以镜煤最大,其次是亮煤、暗煤并以丝碳最小;煤炭的氧化能力还与其筛分组成、黄铁矿含量、水份、比热以及吸附一定的氧时所放出的热量等相关,黄铁矿含量大、粒度偏细的和较为松散的煤堆较容易产生自燃。
1.2.7 可磨度系数
煤的可磨度系数也称可磨度,是煤炭的一项特性指标,表征了煤炭被磨制成粉的难易程度。煤炭的磨制成粉需克服原块状煤炭结构的结合力,取得新的表面,可磨度系数也就表征了为取得这一新的表面积的耗功大小,是只决定于煤炭的。可磨度不同于煤炭的硬度,同一类别的煤炭可因所存在的某些组份的不同而表现出相当大的可磨度差别。反之硬度差别很大的无烟煤与某些褐煤也可以具有相近的可磨度。同一煤种在含水份(或灰份)不同时,可磨度也会出现成倍的差别。
表征煤炭磨制成粉的难易程度,最为简捷和实用的方法是进行相对比较,再引入一个由实验室得出的可磨度系数。由于可磨度系数是基于相对比较的,因此各国的标准不尽相同。我国规定可磨度系数的定义为:单位重量处于风干状态的标准煤与试验煤样,以相同的入磨煤炭颗粒度、在相同的磨制设备中,磨制到相同的煤粉细度所消耗的能量之比。即:

式中的即为可磨度系数;和 分别是为磨制标准煤和试验煤到同样细度所需的电耗。因此越大,亦即磨制试验样煤到标准煤相同细度的电耗越小,该煤也就越易磨制。
各国关于原煤可磨度系数的算法是不同的,我国标准的可磨度系数的计算式经试验确定为:

其中表示(我国的标准)可磨度系数,表示试验煤样在试验用的球磨机内经历15min磨制后得出的在70号标准筛上的残留量(%)。不难看出可磨度系数越小的煤,越难磨制。一般认为可磨度系数小于1.2的煤种为难磨煤种;可磨度系数大于1.5的煤种为易磨煤种。
常用的另一种可磨度系数为哈氏可磨度系数,这是美国的标准。可通过下面的计算公式与我国的可磨度系数进行换算:

通过计算可以得出处于40-100之间的煤种属于易磨煤,低于40的煤种属于难磨煤。
还应该说明的是虽然煤炭的可磨度系数是通过比较的方式得出的,意味着磨煤机的出力应与入磨煤机的煤的可磨度系数成正比。但由于试验用的磨煤机和实际的磨煤机的工作过程不同,亦即前者是在静止条件下而后者是始终处于运动和分离状态下进行的,还由于影响磨煤机出力的因素众多,使磨煤机的出力并不与入磨煤的可磨度系数呈简单的正比关系。一般而言,在相同的其他条件下,入磨煤种的可磨度系数每改变1%,相应的磨煤机出力改变1.33%,同样在出口的煤粉细度从磨煤机的设计基准点每改变1%时,磨煤机的出力也相应的改变1.5%。所以磨煤机的出力是随着煤碳可磨度的改变而改变的。
1.3 原煤斗
在直吹式制粉系统中磨煤机需要连续的煤炭供应,制粉系统的出力必须随时与锅炉的负荷相平衡。而发电厂的输煤系统则通常不是连续运行的,原煤斗就是为煤炭耗用和输送之间设置的缓冲装置。考虑输煤系统有出现故障的原因,一般原煤斗容量按相应于10小时以上的锅炉最大连续出力的耗煤量来考虑。
我公司每台炉布置有8只原煤斗,每只原煤斗有效容积500立方米。8只原煤斗的总储煤量可满足单台炉BMCR工况12.28小时(设计煤种)或10.8小时(校核煤种1)或11.8小时(校核煤种2)的出力要求。
煤斗虽貌似简单,但在锅炉运行中因原煤斗的影响而使整台锅炉的生产运行受到影响的事例是并不少见的。随着原煤斗容量和高度的增加,下部煤炭所受到的压力不断增大,流动性差,滞流或堵煤的情况时有发生,尤其是在煤炭含水份高时。煤斗中的煤会在下落到煤堆面时产生偏析,块煤相对集中于落煤点的周围,使落入给煤机的粒度随着煤斗的煤位而变,煤斗的容积越大,其程度越严重。煤斗的棚煤、粘煤、积煤都会造成出口落煤不畅,造成煤斗的有效容积减小、给煤机和磨煤机断煤等不利影响,这些因素对于制粉系统的安全稳定运行都是很不利的。
不同的发电厂采用了许多的有效方法避免以上问题的发生,如七台河发电厂采用电动的煤斗振动疏松机。其他电厂也有采用煤斗外悬挂重锤的,在煤斗棚煤时用人工敲击原煤斗的方法使煤疏松被振落。还有的电厂在煤斗的内层加装了一层极为光滑而耐磨的特种树脂板材,加装这种板材后减少了煤斗粘煤的可能。更常规的方法是在原煤斗上安装压缩空气储罐(空气炮)以电磁阀来控制放炮,在煤斗堵煤时放炮使“搭桥”的煤被振落,但这种方法的弊端是有时煤斗内的原煤会越轰粘结的越紧。原煤斗的外形及空气炮如图4-6所示:

图4-6 原煤斗的下部及空气炮
1.4 电子称重式给煤机
1.4.1 简介
我公司锅炉制粉系统所配给煤机为上海重型机器厂生产的9224型电子称重式给煤机。每台球磨机配两台给煤机,每台炉制粉系统共配8台给煤机。这种给煤机是一种带有电子称量及调速装置的皮带式给煤机,具有自动调节和控制功能,可根据磨煤机筒体内煤位的要求,将原煤精确地从煤斗仓输送到磨煤机。9224型电子称重式给煤机的外形及主要参数如下:
型号: 9224
设备名称: 电子称重式给煤机
生产厂家: 上海重型机器厂
数量: 每台炉8台
给煤机出力: 10~85T/H
给煤距离(给煤机进煤口中心至出煤口中心距离):2135mm
主驱动电机型号: DM112-M4/VS(变频) ,功率:4KW ,额定电压:380V
清扫链电机型号: BLY10A-9 ,功率:0.37KW,额定电压:380V
机体密封风参数: 磨煤机出口风压+500pa
密封风量: 10Nm3/min
密封风温: 常温
称量精度: ±0.5%
控制精度: ±1%
给煤机设计能承受压力: 0.35Mpa

图 4-7 9224型电子称重给煤机外形示意图
1、给煤皮带电动机 2、原煤斗出口落煤挡板 3、落煤管 4、给煤机进口端手动进煤挡板
5、给煤机本体 6、给煤机出口料斗 7、给煤机出口电动落煤挡板 8、落煤管
9、清扫刮板链电动机 10、就地电控箱
1.4.2 电子称重式给煤机的结构
给煤机由机体、输煤皮带及其电机驱动装置、清扫装置、控制箱、称重装置、皮带堵煤及断煤报警装置、取样装置和工作灯等部件组成。称重装置、皮带堵煤及断煤报警装置、取样装置和工作灯等部件组成。如图4-8所示:
9224型给煤机皮带由滚筒驱动、具有正反转两种功能,原煤从煤斗到磨煤机的流程是:煤仓中的原煤 →煤流检测器→煤斗闸门→落煤管→给煤机进口→给煤机输送皮带→称重传感组件→断煤信号组件→给煤机出口→磨煤机。
机体上设有进煤口、出煤口、进煤端门、出煤端门、侧门和照明装置等。在进煤口处设有导向板和进煤闸门,以使煤进入给煤机后能在皮带上形成一定的断面煤流。为避免发生锈蚀,所有能和煤发生接触的部分均用1Cr18Ni9不锈钢制成。进煤端门和出煤端门采用螺栓紧固在机壳上,并保持密封。在所有门体上,均设有窥视窗,用以检查机内情况。在窥视窗内有清扫喷头,当窗孔内侧积有煤灰影响正常观察时,用压缩空气或水予以清洗。具有密封结构的照明灯,供观察给煤机内部运行情况时照明使用。

图4-8 9224型电子称重式给煤机结构示意图
1、进料口 2、机内照明灯 3、张紧滚筒 4、进料端门 5、皮带张紧螺杆
6、张紧滚筒座滑轨 7、密封风进口 8、刮板链张紧螺丝 9、张紧链轮
10、清洁刮板链 11、给料皮带 12、张力滚筒 13、称重重量校块 14、驱动链轮
15、堵煤信号挡板 16、出料口 17、驱动滚筒 18、排出端门 19、皮带清洁刮板
20、断煤信号挡板 21、称重托辊 22、负荷传感器 23、支承跨托辊
给煤皮带机构由皮带驱动滚筒、张紧滚筒、张力滚筒、给煤皮带以及皮带支承板等组成。为保证给煤皮带在运行时不发生左右偏移,给煤皮带采用了带有边缘的且内侧中间有凸筋的皮带,并配置以表面有凹槽的滚筒,从而使皮带获得良好的导向而作正直移动。驱动滚筒与变频电动机相连,在驱动滚筒端,装有皮带清洁刮板,用以刮除粘结在皮带表面上的煤。皮带中部安装有张力滚筒,使皮带保持一定的张力以得到最佳的称重效果。皮带的张力是随着温度和湿度的改变而改变,应经常注意观察,利用张紧杆来调整皮带的张力(在张紧筒侧调整)。在机座侧门内,装有指示板,张力滚筒中心应调整在指示板的中心刻线位置上。
为了能及时清除沉落在给煤机机壳底部的积煤,防止发生积煤自燃,在给煤机皮带机构下面设置了链式清理刮板机构,作为清理机壳底部积煤之用。链式清理刮板机构由驱动链轮、张紧链轮、链条及刮板等组成。刮板链条由电动机通过减速机带动链轮而移动,链条上的刮板将给煤机底部积煤刮到给煤机出口排出。机壳底部的积煤包括以下几部分:皮带刮板刮落下来的煤、空气中沉降的煤粉尘、皮带从动轮清扫下来的煤、调节不当的密封风从皮带上吹落下来的煤中的部分沉积在机壳的底部。链式清理刮板应该投入连续运转,采用这样的运行方式可以使机壳内积煤量减少。减少大量散落的积煤集中进入磨煤机对筒体煤位造成扰动的可能。此外连续的清理还可以防止链销粘结和生锈。链式清理刮板的减速机为圆柱齿轮及涡轮减速,清理刮板机构除电动机采用电气过载保护外,在涡轮和涡轮轴之间,还设有剪切机构,当机械过载时剪切销自动被剪短,使涡轮与涡轮杆脱开,同时带动限位开关使电动机停止,并发出信号至控制室。
断煤信号装置安装在皮带上方,当皮带上无煤时,由于信号装置上的挡板的摆动,使信号装置轴上的凸轮跟着转动,随即触动限位开关,从而可停止皮带驱动电动机的运转。并向控制室发出“皮带无煤”信号。同时断煤信号还可以提供停止给煤量累计以及闭锁在皮带有煤的情况下校准给煤机的称重回路。
堵煤信号装置安装在给煤机出口处,其机构与断煤信号装置相同。当煤流堵塞至出煤口时,限位开关动作,停止给煤机运转,并发出信号。
称重机构是电子称量的感应机构,它安装在给煤机进煤口与驱动滚筒之间。称重机构主要由3个托辊和一对负荷传感器组成,3个称重托辊表面均经过精密加工,其中一对固定在机壳上,构成一个确定称重跨距,另外一个称重托辊侧悬挂于一对负荷传感器上,皮带上的煤的重量由负荷传感器送出信号。在负荷传感器及称重托辊下方,装有称重校准重块,给煤机在工作时,校准重块支承在称重臂和偏心盘上面,与称重托辊脱开。当需要校准定度时,可转动校重杆手柄,使偏心盘转动,将称重校准重块悬挂在负荷传感器上,从而能检测重量信号是否准确。
由于我公司制粉系统采用正压的运行方式,磨煤机内处于正压下工作。为防止磨煤机中的热风倒流入给煤机中,给煤机设置有专门的密封风。在给煤机机壳进煤口的下方,设有密封风法兰接口,密封风管上的法兰与它相连。密封风的压力应略高于磨煤机进口处的热风压力。密封风量则为通过落煤管泄漏至原煤斗的空气量以及形成给煤机与磨煤机进口处之间压力差所需的空气量之和。密封风的压力过低,会导致热风从磨煤机流入给煤机内,使煤易积滞在门框或其他凸出部分,从而会导致积粉自燃;密封风的压力过高或密封风量过大,易将煤粒从皮带上吹落,飞扬的煤尘还会沾污观察窗,影响正常的观察。
磨煤机内的热风进入给煤机的害处有以下三点:
1) 风的高温加速给煤皮带橡胶老化。
2) 风的高温易造成给煤机内的原煤着火。
3) 磨煤机内的热风的流失造成制粉系统效率下降。
1.4.3 给煤过程与称重原理
正常运行时,给煤机皮带机构的驱动滚筒及刮板清理机构的驱动链轮是在各自的驱动电动机的带动下以相反的方向转动的。从原煤仓下来的煤经过进煤口落在其下面的给煤皮带上,随着皮带的移动逐渐向前输送,在皮带翻转时,皮带上的煤即被卸至给煤机出煤口,经落煤管落入磨煤机中,粘结在皮带上的少量煤通过清理刮板被刮落。皮带内侧如有粘煤,则通过自洁式张紧滚筒后由滚筒端面落下。落在机壳底部的积煤,被连续运转的链式清理刮板刮至出煤口,随同皮带上落下的煤一起进入磨煤机。给煤量是通过调节给煤机驱动电动机的转速来调节的。给煤机电动机的电源设有变频器,由变频器实现电动机的电源频率的变化,进而调节给煤机的给煤量。
电子称重式给煤机的给煤量称重是通过负荷传感器测量出单位长度皮带上煤的重量G,再乘以由编码器测量出的皮带转速V,得到给煤机在此时的给煤量B,即:B=GV。其原理如方框图4-9所示:
给煤机由两个固定与机壳上的称重托辊形成一个确定的称重跨距,在称重跨距的中间则有一个称重托辊,此托辊悬挂在一对负荷传感器上,每个负荷传感器称出的是位于称重跨距内皮带上一半煤的重量,经标定的负荷传感器的输出信号表示每英寸(或每厘米)长度的皮带上煤的重量(磅或千克);连接在皮带驱动滚上的编码器输出的频率信号表示皮带的转速(标定为cm/s)。负荷传感器的输出信号经放大变换后,乘以编码器的频率信号,这个乘积也是一个频率信号它表示此时的给煤量(kg/s)。经标定的给煤量信号经过转换和综合产生一个累计量信号,送入总煤量显示器,其输出显示了给煤的累计总重量。

图4-9 给煤机称重方框图
该给煤机具备反转卸煤功能和容积式称重功能。9224型电子称重给煤机的反转卸煤功能指在给煤机停机检修时,可利用给煤机反转卸煤功能使给煤机皮带反转将皮带上的煤从打开的进料侧端盖卸出,不让这部分煤进入磨煤机。备用的容积式称量功能是指当给煤机正常的电子重力称量回路发生故障时,给煤机自动投入备用的容积式测量回路。投入该回路的同时一方面向DCS发出容积式测量投入的报警信号,另一方面则继续提取容积方式测得的煤量信号进行累计。应该指出的是容积式测重方式的精确度不如电子称重方式高,所以容积式测量方式不推荐作为长期的测重方式。
1.5 双进双出钢球磨煤机
1.5.1 简介
从上个世纪80年代辽宁清河发电厂100MW机组引进双进双出钢球磨煤机以来,湖南岳阳电厂300MW机组相继也应用了双进双出钢球磨煤机,至今国内已有山东邹县、山西阳城、黑龙江七台河、甘肃靖远等多家电厂在应用双进双出钢球磨煤机。双进双出球磨机的连续作业率高、维修方便、煤粉出力和细度稳定、储存能力强、响应迅速、运行灵活性大、风煤比较低、适用煤种范围广、不受异物影响、无需备用磨煤机等优点已在电力生产中逐渐显现优势。
双进双出球磨机的名称是相对传统的单进单出钢球磨煤机而得出的。顾名思义,双进双出球磨机有对称的两个原煤入口和两个煤粉出口。这两对入、出口形成了对称的两个研磨回路,如图4-10所示。磨煤机的两端为中空轴(亦称耳轴),分别支撑在两个主轴承上。中间为磨煤机的筒体。磨煤机的工作流程在前面的第一节中已做介绍在这里就不再赘述。
我公司制粉系统运用的是上海重型机器厂引进法国ALSTOM公司的技术生产的BBD-4360型双进双出钢球磨煤机。每台炉配四台磨煤机对应八台9224型电子称重式给煤机。

图 4-10 BBD4360型双进双出钢球磨煤机外形图
1、电动机 2、减速机 3、大齿轮罩(内有大齿轮)4、螺旋输送器
5、一次风管 6、落煤管 7、筒体 8、护甲 9、隔音罩 10、旁路风入口
11、分离器 12、分离器出口煤粉管(PC管)13、给煤机 14、混料箱 15、回粉管
16、加球落入口 17、辅助电动机
该系列磨煤机的型号符号的具体意义如下:

BBD4360型双式磨煤机的筒体有效直径为4250mm筒体有效长度为6140mm,取四舍五入后型号即编为4360。磨煤机的性能数据如下表:

表4-3 BBD4360型双式磨煤机性能数据
1.5.2 工作原理
钢球磨煤机(简称球磨机)是一种低速磨煤机,其转速一般为15~25r/min,我公司的磨煤机的额定转速为16.4r/min。它利用低速旋转的滚筒,带动筒内的钢球运动,通过钢球对原煤的撞击、挤压和研磨实现煤块的破碎和磨制成粉。筒内用锰钢做护甲内衬,护甲与筒壁间有一层石棉衬垫,起隔音作用。如图4-11所示。20%~25%筒体有效容积的空间装有的直径在30~60mm的钢球。我公司的磨煤机采用的钢球尺寸分别为直径30、40、50mm的三种钢球,按照1∶1∶1的数量比例装球。大功率的电动机经减速机带动滚筒运动,筒内的钢球被内表面凹凸不平的护甲带到一定的高度后落下,通过钢球对煤块的撞击及钢球之间、钢球与护甲之间的研压,把煤磨碎。原煤从两端的耳轴内部螺旋输送器的下部空间进入磨煤机,热一次风从耳轴中间的空心圆管进入磨煤机。煤粉耳轴内部螺旋输送器的上部空间被一次风携带走,热风的风速决定了被带走的煤粉的粗细。被热风带走的煤粉进入双锥体形式的分离器。细度合格的煤粉经分离器出口的四根PC管去燃烧器,细度不合格的煤粉经回粉管回到磨煤机筒体内重新磨制。

图4-11 磨煤机护甲的形状
1、护甲 2、筒体 3、石棉垫
影响钢球磨煤机工作的因素很多,主要有以下几方面:
1)钢球磨煤机的工作转速和临界转速
球磨机的筒体的转速发生变化时其中的钢球和煤的运动特性也发生相应的变化,如图4-12所示:

图4-12 转速对钢球在筒内运动的影响
a、转速过低 b、转速适当 c、转速过高
当筒体的转速很低时,随着筒体的转动钢球被带到一定的高度,在筒内形成向筒体下部倾斜的状态,当这堆钢球的倾角等于或大于钢球的自然倾角时球就沿斜面滑落下来如图4-12(a)所示,这时磨煤的作用是微不足道的,而且很难把磨好的煤粉从钢球堆中分离出来,煤将被重复研磨。
当筒体的转速超过一定值后,作用在钢球上的离心力很大,以致使钢球和煤附着于筒壁与其一起运动,如图4-12(c)所示。产生这种状态的最低转速称为临界转速,这时煤不再是被打碎而是被研碎,但其磨煤作用仍然很少。计算可得:

其中为筒体有效直径
当筒体转速处于上述两种情况之间时,钢球被筒体带到一定高度后延抛物线轨迹落下,产生强烈的撞击磨煤作用。磨煤作用最强的转速称为最佳转速。我国的研究经验表明了与之间的换算关系为≈(0.75~0.78)
如图4-13所示,钢球下落形成的抛物线顶点所在的半径与筒体垂直半径的夹角为55度。此时在磨煤机筒体的断面上形成了三个研磨原理不同的工作区:摩擦研磨、压力研磨和冲击磨碎,从而形成了磨碎原煤的最佳工作状态。
2)护甲
运行中很明显的现象是,当更换护甲后,磨煤机的出力显著增加,电耗下降。随着护甲的磨损,磨煤机的出力显著下降。这说明护甲的形状对磨煤机的工作影响很大。在钢球磨煤机的筒体内,钢球的旋转速度永远小于筒体的旋转速度,两者之差决定于钢球和护甲之间的摩擦系数。摩擦系数越小,筒体和钢球的速度差越大,意味着护甲和钢球之间有较大的相对

图4-13 磨煤机最佳转速工作原理
Ⅰ、摩擦研磨 Ⅱ、压力研磨 Ⅲ、冲击磨碎
滑动,于是将有较多的能量消耗于钢球和护甲之间的摩擦上,而未能用来提升钢球;如果护甲的摩擦系数高,就可以在相对比较低的筒体转速下造成钢球的最佳工作条件,也就是说,可以在较小的能量消耗下达到最佳的工作条件,因此决定钢球磨煤机最佳工作条件的因素除了筒体的转速外,护甲的结构和形状及磨损程度也很重要。
3)钢球工况
钢球工况是指钢球的数量、尺寸及磨损情况。
载球量:表征磨煤机载球量通常引入载球系数()的概念,所谓的载球系数是用磨煤机内钢球的总体积占磨煤机有效体积的百分比来表示的。
我国的标准是将钢球在筒体内的装载面低于磨煤机进出料口下边缘50mm时的装球量定义为磨煤机的最大装球量。相同的出力和运行条件下磨煤电耗最小的工况所对应的装球量称为磨煤机的最佳装球量,要计算磨煤机的最佳装球量先应引入最佳装球系数。试验表明:最佳装球系数的计算公式如下:

其中的表示磨煤机筒体的工作转速(最佳转速)表示磨煤机筒体的临界转速。
可以得出双式钢球磨煤机的最佳装球量的计算公式为:

其中的为磨煤机的最佳装球量、为钢球的堆积密度,一般取4.9t/m3;为磨煤机的筒体有效容积。我公司的磨煤机的最佳装球量为80吨、最大装球量为94吨。
钢球的尺寸:磨煤机所装的钢球的尺寸以及不同尺寸钢球数量上的配比,对磨煤机的出力、电耗和钢球的磨损都有一定的影响。当钢球直径在20~60mm内时,钢球的单位磨耗量(g/kg)与钢球的直径成反比。对于同一台磨煤机而言,磨煤机的出力与钢球直径的平方根成反比,即钢球的直径越大,磨煤机的出力越小:

其中为钢球直径为时的磨煤机出力;为钢球直径为时的磨煤机出力。
在选择钢球直径时,还应该考虑磨煤机筒体的直径。当筒体的直径小时,由于钢球下落的高度减小,显然钢球的直径应该大些。随着磨煤机的工作,筒体内逐渐积累了一定数量的被磨损和被碾碎的小钢球。有时煤中还混有一些小的金属件。所有这些几乎都没有磨煤效应,但在筒体内为了提升它们却耗费了一定的功率。随着筒内的这样的碎块增多,磨煤机的出力将要下降,制粉电流随之增大。为了克服这一点,必须定期把钢球倒出、称重、筛分,适时补充新的钢球。
钢球的磨损: 钢球的单位磨损量决定于钢球金属的质量、钢球的尺寸、磨煤机的规格、筒体的转速、磨制的煤种以及运行工况等多种因素。在钢球直径内,钢球单位磨损量的大小与钢球的直径成反比,而且磨损还随着煤的硬度和磨损性的增高、黄铁矿数量的增多而加剧。
在磨煤的非正常工况下,钢球的磨损会显著增大。如磨煤机少煤或无煤的状态运行时,钢球不是落在煤上,而是落在裸露的钢球或护甲上,此时磨损会急剧增加。运行中应避免此种情况的发生。
影响钢球磨损程度的因素,还包括钢球本身的抗磨性、钢球的材质、冲击韧性值等,制造过程中形成的制造缺陷也是重要的因素之一。我公司制粉系统磨煤机钢球的材质为中铬铸铁。
在球磨机的工作过程中,钢球和护甲组成了一个磨料磨损系统,提高钢球材料的硬度,能增加其抗磨损的能力,减少钢球的磨损。但是如果护甲材料的硬度与钢球材料的硬度不匹配,而过分地提高钢球的硬度来增加其抗磨性,则会加剧护甲的磨损,加速它的失效,缩短其使用寿命,增加护甲的更换次数。运行实践表明硬度过高的钢球会对护甲造成严重地磨损。因此选用护甲的硬度高于钢球的硬度才是合理的。我公司的护甲(衬板)的材质为高铬铸铁。
4) 磨煤机的通风工况。
钢球磨煤机筒体内的通风工况直接影响着燃料沿筒体长度方向上的分布和磨煤机的出力。当筒体的通风量很小时,燃料的大部分集中在筒体两端的进料口附近,由于钢球沿筒体长度方向几乎是均匀分布的,因而在筒体内的中间部分钢球的能量没有被充分利用,很大一部分能量消耗在金属的磨损和发热上。同时因为筒内风速不变,由筒体带出的仅仅是少量的细煤粉,因而磨煤机出力也降低。随着通风量的增加,燃料沿筒体的方向的推进速度增加,改善了沿筒体长度方向燃料对钢球的充满情况,使磨煤机的出力增加,磨煤机的电耗降低。然而通风电耗是随通风量的增加而增加的;同时,当过分地增加筒体的通风时,分离器的回粉量增加,将在系统内造成无益的循环,使输粉消耗的能量也提高。综上可知,在一定的筒体通风量下可以达到磨煤和通风总电耗量最小,这个风量称为最佳通风量,它与煤种、分离器后的煤粉细度、钢球的充满系数有关。应该指出,筒体的通风和转速之间是有一定联系的,这两个因素对于燃料在筒体长度方向上分布的影响是相同的。综合大量的试验得出球磨机的最佳通风量的经验计算式:

其中表示磨煤机的最佳通风量、表示磨煤机筒体的转速、表示磨煤机筒体有效直径、表示分离器后煤粉的细度、表示磨煤机筒体的有效容积、表示原煤的可磨度系数、表示磨煤机的钢球充满系数。
最佳通风量对应于磨煤机制粉系统的最经济工况,球磨机应在最佳通风量下运行,干燥风量也应该依此来确定。
5) 载煤量。
球磨机筒体内的载煤量直接影响磨煤机的出力。当载煤量减小时,钢球下落的动能只有一部分用于磨煤,另一部分消耗于钢球的空撞磨损;随着载煤量的增加,钢球用于磨煤的能量增大,磨煤机的出力增大。但如果载煤量过大,由于钢球下落高度减少,钢球间的煤层加厚,使部分能量消耗于煤层变形,钢球磨煤能量减小,磨煤出力反而下降,严重时将造成圆筒入口阻塞,磨煤机无法工作。磨煤机出力与载煤量的对应关系可通过试验来确定。对应最大磨煤机出力的载煤量称为最佳载煤量。