相信大家都是正直善良的好孩纸
从来没有透过门缝偷看的经历
小编显然也没有

但是又很好奇
门缝里的图像会是什么样的呢?
那么我们就从理论的角度来分析看看
做一场思维实验吧

假设我们面前有两条非常狭窄的“门缝”(狭缝)b和c(“门缝”之间相距很近)
点光源照射到S1的光线通过狭缝a到达b和c,最后落在光屏F上。

这时候就有人要说了,有什么好分析的,光屏上不就是两条明亮的缝隙吗?
像这样~

但实际上是这样~

明明只有两个“门缝”
为什么会多出这么多条纹呢
难道是身边有什么不干净的东西
“门缝”里面照出鬼影了?

欸嘿,那就让多才多艺的小编来帮大家除妖辟邪吧!


驱邪秘法一
光的原理
光是一种电磁波 ,它是由方向相同且互相垂直的电场与磁场在空间中衍生发射的振荡粒子波,是以波动的形式传播的电磁场。

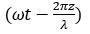
单色光是一种正弦波,在数学形式上与正弦曲线相同 ,即

其中A为振幅,决定单色光的亮度(强度);ω为圆频率,决定单色光的颜色(频率);λ为波长;z为光波在z轴上传播的距离;
称为相位。
从物理的角度来看, 正弦波就是一个圆周运动在y轴上的投影 ,振幅A是圆周运动的半径,圆频率ω是圆周运动的角速度;相位则是圆周运动半径矢量与x轴的夹角。


驱邪秘法二
光的叠加

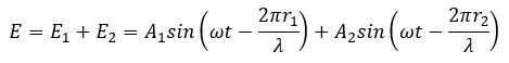
假设有两个光源S1、S2,发出的光线振动方向与频率相同,在S1与S2点处光波分别为:


P点是两光束相遇的一点,P到S1、S2的距离分别是r1、r2,因此两光波在P点处产生的光振动可以写为:


P点的合振动为:

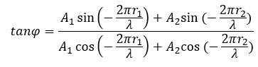
通过和差化积公式可得:

可见P点的合振动也是简谐振动,振动频率和方向与两单色光波相同,振幅A和初相位φ由下式决定


看到这么多数学公式是不是头昏脑涨、云里雾里。 知道大家只喜欢图不喜欢字,贴心的小编准备了图解法!

如辟邪秘法一所说,光波的振动可以看成圆周运动在y轴上的投影, 那么光波的迭加则满足矢量迭加的平行四边形法则 , 合振动矢量的长度A为振幅,合振动矢量与x轴夹角即为初相位φ。



驱邪秘法三
光的干涉

让我们在回过头来看最开始的门缝实验, 当b、c两缝中透射出振动方向相同、频率相同的光波时,就会在光屏上出现干涉现象。
如 辟邪秘籍二:

其中A1=A2
合振动的强度(亮度)只与r1、r2有关,光屏上不同的点所对应的r1、r2并不相同。
当r1-r2等于波长的整数倍时,即振动矢量夹角为0°,此时A=A1+A2, 称为相长干涉,亮度最大。

振动矢 量 夹 角 为 0 °
当r1-r2等于半波长的奇数倍时,即振动矢量夹角为180°,此时A=0, 称为相消干涉,亮度最小。

振动矢 量 夹 角 为180 °
当r1-r2等于其他数时,即振动矢量夹角在0°到180°之间,此时0<A< A1+A2, 处于最大与最小亮度之间的过渡区。

振动矢量夹角为150°

振动矢 量 夹 角 为 60 °
因此在光屏上出现了明暗相间的条纹

终极宝典
以上三个驱邪秘籍可以驱散99.9999%的幽灵,如果你还是感到害怕,那小编只能掏出压箱底的终极宝典(一般人我不告诉他)

如果在S1处放一把电子枪,F屏上会是什么图案呢

想要掌握终极宝典,需要了解几个基本原理。
在微观世界中, 一个事件发生的概率P等于波函数(概率幅)ψ的模平方:

微观体系的状态可以用一种矢量来表示(狄拉克符号) ,它的符号是,称为右矢。
代表波函数ψ描述的态。
假设将某个事件用“从初态i到末态f的跃迁”来表示,则发生这种跃迁的概率 ω 可表示为:

即表示从i态到f态跃迁的概率幅,相当于ψ
假如从i态到f态的跃迁必须经过某一中间态v,那么 总的跃迁概率幅等于分段概率幅之乘积:

概率幅叠加规则: 如果发生在i态与f态之间的跃迁,存在几种物理上不可区分的途径,那么在i→f间的跃迁概率幅应是各种可能发生的跃迁概率幅之和(n表示n种跃迁方式):

掌握了以上规则,我们再来看电子干涉图案。
假设单独打开缝b或c,那么电子在屏上一点x被记录的概率分别为:


如果同时打开b、c两缝, 由于无法区分电子会从哪个缝通过,所以需要利用概率幅叠加规则, 那么跃迁概率为:


可见Ibc≠Ib+Ic, 电子从初态到末态的两种可能的跃迁概率幅的干涉项,引起了干涉的图像。

驱邪仪式完毕,可以睡个安稳觉了! 对于胆子大的小伙伴们小编再传授一套招魂术, 自己做老板,让幽灵给你打工!(胆小的小伙伴可以直接划到底点赞了~)


干涉仪
干涉条纹明暗变化的周期在光波长量级(几百纳米),而且可以通过较容易测量的振幅(亮度)来获取光波的相位信息,因此可以 利用干涉现象进行更加精密的测量!

迈克尔逊干涉仪
上图为迈克尔逊干涉仪,由光源S发出的光线经过分光镜G1(右表面镀有半透半反膜)分为强度相同的两束光(透射光1和反射光2),两束光分别垂直入射到全反射镜M1和M2,它们经过反射后回到分光镜G1处,再分别经过透射和反射后,到达观察区域E并发生干涉。G2为补偿板,保证反射光与透射光经过玻璃板的次数相等。
长度测量: 移动全反镜M2,光束2的光程发生变化,干涉条纹出现相应的移动,根据条纹的移动数目可以进行长度的精确比较或者测量。迈克尔逊干涉仪和法布里-珀*干罗**涉仪曾被用来以镉红谱线的波长表示国际米。
折射率测量: 光束的几何路程保持不变,折射率的变化也会引起光程变化,从而使得干涉条纹发生移动,通过这个原理能够实现折射率的测量,瑞利干涉仪就是通过条纹移动来对折射率进行相对测量。

瑞利干涉仪结构
光学元件质量检验: 泰曼干涉仪被普遍用来检验平板、棱镜和透镜等光学元件的质量。在干涉仪的一个光路中放置待检查的光学元件, 光学元件的折射率或者几何尺寸的不均匀会导致同一束光不同位置的光程发生微小变化,最终导致干涉条纹的形变。 若在光路中放置透镜,可根据干涉图样了解由透镜造成的 波面 畸变,从而评估透镜的 波像差 。

干涉条纹弯曲
引力波探测: 激光干涉引力波天文台(LIGO)使用的干涉仪是迈克尔逊干涉仪。在通常情况下,不同长度的干涉臂会对同样的引力波产生不同的响应,当引力波到来时,根据引力波的特性,相互垂直的两臂一个伸长,另一个相应地缩短。从激光器发射出的光束, 在传播一段距离之后,被反射镜反射回原点,方向垂直的两束光在来回过程中若受到引力波的影响,光程将会发生改变,从而反映在干涉条纹的变化上。

LIGO探测器原理示意图

阿秒脉冲
随着超快超强激光的发展,人们对于微观世界的认识越来越深入,研究电子的超快运动可以拓宽人们对于分子、原子动力学过程的认识。 电子运动的时间尺度在阿秒量级,想要对电子的运动进行探测,就需要阿秒量级的探测光源。 利用高次谐波产生过程,人们已经可以获得阿秒量级的光源。
高次谐波本质上是天然的阿秒脉冲序列,包含一连串的阿秒脉冲。 高次谐波中不同的阿秒脉冲之间的相位不同,偶次谐波相干相消,奇次谐波相干相长,进而形成分立的高次谐波奇次光谱。

高次谐波奇次光谱
参考资料:
[1] 梁铨廷. 物理光学-修订本[M]. 机械工业出版社, 1987.
[2] 杨福家. 原子物理学.第4版[M]. 高等教育出版社, 2008.
[3] 周世勋. 量子力学教程-第2版[M]. 高等教育出版社, 2009
[4] 黄鸿勇. 引力波本质及其探测原理和探测技术[J]. 科技创新导报, 2019, 16(29):3.
[5] 谢百川. 非共线高次谐波产生与阿秒脉冲选通方法研究[D]. 西安电子科技大学.
[6] 干涉仪_百度百科 (baidu.com)
[7] Am P . The principles of quantum mechanics. /-4th ed[M]. The Clarendon Press, 1958.
编辑:荔枝果冻