杨波
山西交通控股集团有限公司太旧高速公路分公司
摘 要: 为评价沥青路面养护处理的有效性,该研究分析了现场热回收(HIR)、磨铣和重铺(M&F)、薄HMA覆盖(THO)和微铺(MS)四种处理方式,收集2个公路区段车辙深度( RD )数据,以车辙深度数据为基础,通过性能跳变( PJ )、变质率降低( DRR )和平均变质率( ADRR )3个指标定量比较4个处理的效果。结果表明,HIR是最有效的处理方法,其次是M&F和THO,而MS是效果最差的治理方法,使用寿命只有三、四年。
关键词: 路面养护;沥青路面;有效性分析;
作者简介: 杨波(1981—),男,河南安阳人,本科,工程师,研究方向:道路桥梁;
1引 言
随着基础设施的快速发展,我国公路网日益完善。然而,不断增加的交通负荷加速了路面的退化[1]。因此,为了提高路面性能,延长路面使用寿命,公路工程的重点逐渐从新的设计和施工活动转移到现有公路网的养护和修复(M&R)任务上,采用了各种路面养护措施来减缓路面的老化。然而,养护和修复活动消耗了大量的公路资金,如何优化各公路机构的养护措施至关重要,其中一个关键因素是对不同养护措施的有效性进行评估,养护效果的量化比较为公路机构提供了合理的养护决策支持[2]。
现有的维修效果评价研究可分为短期评价和长期评价。在短期分析中,最常用的指标是恶化减少水平(DRL)[3],是指养护执行后路面退化的后续减少量,计算为养护前后路面状况的差值。然而,由于在维护执行和恶化监控之间存在时间延迟,恶化减少水平通常会低估维护的有效性。绩效跳跃(Performance jump, PJ )是另一种常用的短期有效性度量。它揭示了在维护之前和维护之后的处理可以立即改善路面性能[4,5]。采用 PJ 测度评价密封涂层处理的短期效果,结果表明, PJ 与养护前路面状况存在显著的相关性,说明合理的养护时机很重要。
2数据准备
历史养护信息的调查对于通过监测数据评价路面养护处理的有效性具有重要意义。图1总结了山西省17年来高速公路的累积维护里程。研究表明,最常用的路面养护处理包括就地热回收(HIR)、磨铣填充(M&F)、薄HMA覆盖(THO)和微铺(MS)。本研究评估了四种处置方法的有效性。

图1 近年维修处理方式统计图 *载下**原图
3维修效果评估
3.1 性能越变测量
作为衡量短期养护效果的最简单的指标, PJ 指标评估了养护执行后路面退化的瞬时减少情况。它被认为是维修前和维修后车辙深度的差值,如图2所示。图2给出了车辙深度随时间的变化,其中, Ri 为 ti 监测时刻的车辙深度。具体来说,点 B 和点 C 分别对应于维修前的车辙深度和维修后的车辙深度。点 A 和点 D 分别为维护前和维护后指定时间段的车辙深度。一般情况下,指定的时间段为1年。因此, PJ 为 RB 与 Rc 之差。在本研究中, PJ 由公式(1)计算。
PJ = RB - RC (1)
式中: RB 为维修前的车辙深度,mm; Rc 为维修后的车辙深度,mm。

图2 车辙深度随时间变化图 *载下**原图
3.2 降低变质率的措施
尽管 PJ 结果反映了路面退化的瞬时减少,但高 PJ 值并不总是与养护后的更好性能相关。其主要原因不仅在于初始路面劣化程度的变化,还在于施工控制水平的差异。一般来说,养护活动的好处是减缓路面的退化,因此,提出了 DRR 措施来评价路面随时间或累积荷载的退化程度。将 DRR 定义为车辙深度维修前后的斜率之差,即 AB 线与 CD 线的斜率之差。因此, DRR 由公式(2)表示。
DRR=RB−RAtB−tA−RD−RCtD−tC (2)DRR=RB-RAtB-tA-RD-RCtD-tC (2)
式中: RA 为维修前的起点; RB 为维修前的终点; Rc 为维修后的起点,车辙深度代表维修后的终点; tA 、 tB 、 tc 、 tD 分别对应 RA 、 RB 、 Rc 、 RD 对应的时刻。
3.3 平均变质还原率的量度
为了评估长期的维修效果,长期恶化减少量用 ADRR 来衡量, ADRR 是指维修前的车辙深度与维修后的平均车辙深度之间的减少率,用式(3)表示:
ADRR=(Rpre−RavgRpre)⋅100% (3)ADRR=(Rpre-RavgRpre)⋅100% (3)
式中: R pre为维修前的车辙深度,mm; R avg为维修后的长期平均车辙深度,mm。
在短期有效性分析中,与 PJ 和 DRR 措施相比, ADRR 显示了平均 PJ 百分比在治疗寿命中的演变。因此,本研究除了分析路面养护后短时间内的劣化减少情况外,还纳入了各种因素在处理使用寿命期间对路面性能的影响, ADRR 结果越高,车辙深度的长期改善越好,即长期维护效果越好。
4实验结果与讨论
以高速公路G55和G5的车辙深度数据为基础,采用 PJ 、 DRR 和 ADRR 评价HIR、M&F、THO和MS 4种处理的短期和长期有效性。
4.1 性能跳
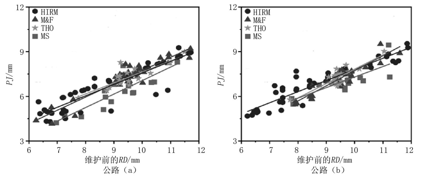
为了避免在评估调查公路的短期有效性时出现时间相关误差,本研究采用 PJ 测度,该测度反映了养护前和养护后车辙深度的瞬时差异,并通过公式(2)计算。在 PJ 分析中,使用维修前的车辙深度,因为它是在分析期间累积交通负荷和环境负荷的共同因素。因此,收集并计算2条调查公路养护前的 PJ 结果和车辙深度,如图3所示。
由图3可知,随着养护前车辙深度的增加,各调查公路的 PJ 也呈现出稳步上升的趋势。最高的 PJ 与养护前车辙深度相近,说明养护施工质量较高。此外,维修前的 PJ 结果与各种车辙深度有明显的分类。养护前车辙深度小于9 mm时,高强度养护公路的 PJ 最高。养护前车辙深度超过10 mm时,养护后的公路 PJ 最高。
4.2 平均变质还原率
为了评价长期维护的有效性,长期恶化的减少量用 ADRR 来衡量。在本研究中,根据公式(3)得到 ADRR ,其中考虑维修前的车辙深度和维修后5年内的平均车辙深度。四种处理的 ADRR 结果如图4所示。从图4中可以看出,HIR维持的公路的 ADRR 最高,而MS维持的公路的 ADRR 最低。根据定义, ADRR 是维护前车辙深度的减少率和维护后车辙深度的平均减少率。因此, ADRR 越高,维修后的平均车辙深度越低,说明维修提高的长期抗车辙性能越好。由此可见HIR维持的高速公路的长期抗辙性能最佳,MS维持的高速公路的长期抗辙性能最差。结合短期养护效果,高强度养护后的高速公路无论在长期还是短期都具有最佳的抗车辙性能。

图3 通过四种处理方法对调查的公路进行养护前的 PJ 与车辙深度对比 *载下**原图
4.3 动态稳定性
通过车辙试验,分析了2条养护公路圆柱形试件的动力稳定性。结果如图5所示,各样品的动态稳定性随时间呈稳定上升趋势,说明维修活动提高了抗车辙能力,这种改善主要是由于沥青老化和路面致密化造成的。对于沥青来说,由于轻组分的挥发、氧、热、光的作用以及温度的变化,沥青在应用养护后就会发生老化。老化沥青的渗透性和延性降低,软点和黏度增加,导致沥青硬化。硬化后的沥青提高了路面在高温下的抗车辙性能。路面结构养护后存在大量孔隙。随着时间的推移,路面在交通荷载的作用下逐渐致密化。因此,这两个因素进一步提高了路面的抗车辙能力。值得注意的是,MS养护高速公路岩芯样品的动态稳定性在养护3~4年后略有下降趋势,说明MS的使用寿命只有3~4年。

图4 四种处理方法维持调查公路的 ADRR *载下**原图

图5 四种处理方法处理下的动态稳定性 *载下**原图
5结 论
本研究利用2个公路路段的车辙深度数据,对HIR、M&F、THO和MS 4种处理方法的有效性进行了评价。根据评估结果,确定最有效的治疗方法。主要结论总结如下。
(1)提出的 PJ 、 DRR 和 ADRR 可以综合评价短期和长期的维修效果。
(2) PJ 结果表明,养护前车辙深度对养护后路面抗车辙性能起着至关重要的作用,尤其是HIR和M&F处理。养护前车辙深度小于9 mm时,HIR的路面抗车辙性能最好。而当养护前车辙深度大于10 mm时,M&F的抗车辙性能最好。
参考文献
[1] 吴海慧.对半刚性基层沥青路面的病害分析及维修对策研究[J].中国科技信息,2006,(4):137-139.
[2] 李力翔.沥青路面反射裂缝形成机理及防治措施研究[J].河南建材,2018,(5):118-119.
[3] 井瑞华,袁建华.公路工程半刚性路面裂缝及养护技术研究[J].科学与财富,2017,(12):263-265.
[4] 顾艳军,赵继文.试述半刚性基层沥青路面的病害维修与处理[J].民营科技,2007,(9):194-196.
[5] 李细伟,陈敏.基于无损检测技术的半刚性基层沥青路面损伤状态分析[J].公路,2017,(8):40-43.

声明: 我们尊重原创,也注重分享。有部分内容来自互联网,版权归原作者所有,仅供学习参考之用,禁止用于商业用途,如无意中侵犯了哪个媒体、公司、企业或个人等的知识产权,请联系删除(邮箱:glyhzx@126.com),另本头条号推送内容仅代表作者观点,与头条号运营方无关,内容真伪请读者自行鉴别,本头条号不承担任何责任。