
70年风雨兼程
70年砥砺前行
纸与墨的触碰
保留了文字的温度
思想与出版的结合
记录着文脉的传承

社庆专栏寄语
为庆祝天津人民出版社建社70周年,我社开辟了社庆专栏,收录名家寄语、同仁祝福、出版社同事风华等,追忆往昔,记录人民社发展历程,畅想未来,摹画人民社美好画卷。

杨大辛
1925年出生于天津,*共中***党**员。1946年参加革命。曾经从事报刊编辑工作,后在天津市人民政府任职。长期负责宗教、文化、史志工作。历任市政协文史办主任、文史资料委员会副主任、地方志编修委员会副主任、文史研究馆馆员等职务。主持编写过十几部天津文史类的图书,出版过多部个人文集。

1948年2月在知识书店留影

1949年10月参加“新华书店出版工作会议”留影

2011年6月评选为“优秀*产党共**员”留影

社领导慰问杨大辛先生

社领导慰问杨大辛先生
视频加载中...
杨大辛先生畅谈往昔



2020年7月,杨大辛先生为天津人民出版社70年社庆手写贺信
祝贺天津人民出版社
70年社庆感言
在1949年1月天津解放前,*产党共**地下组织曾在天津设立了两家书店,即知识书店(创建于1946年5月)与读者书店(创建于1947年7月)。天津解放后,经市委宣传部决定:读者书店并入知识书店,由我出任经理,时在1950年5月1日。当时每年出版各类图书二三十种,标志着天津人民出版社事业的起步。
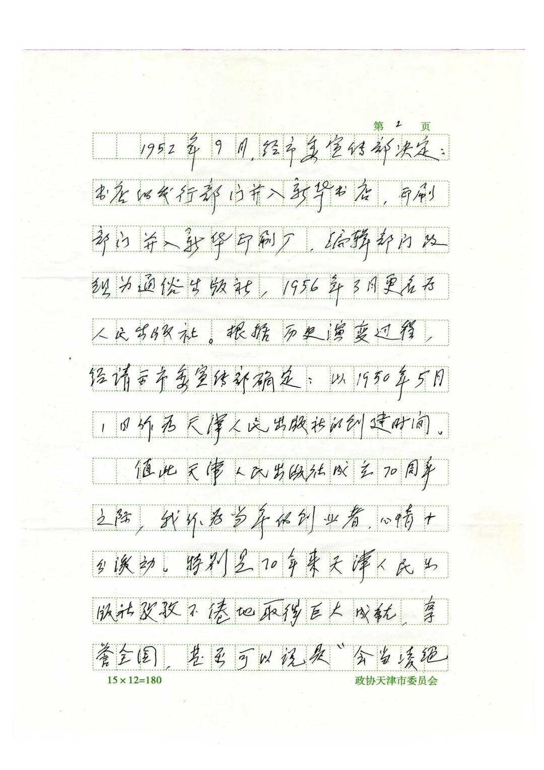
1952年9月,经市委宣传部决定:书店的发行部门并入新华书店,印刷部门并入新华印刷厂,编辑部门改组为通俗出版社,1956年3月更名为天津人民出版社。根据历史演变过程,经请示市委宣传部确定:以1950年5月1日作为天津人民出版社的创建时间。
值此天津人民出版社成立70周年之际,我作为当年的创业者,心情十分激动。特别是70年来天津人民出版社孜孜不倦地取得巨大成就,享誉全国,甚至可以说是“会当凌绝顶,一览众山小”。
我衷心祝愿天津人民出版社继续奋进,不断取得更加辉煌的成就,攀登新高峰!

杨大辛先生近期在我社出版的个人自述


点击下方“了解更多”即可购买此书