东南大学附属中大医院肾内科难治性肾病综合征团队近期在《临床肾脏病杂志》上报道了一例重症狼疮肾炎伴肾病综合征的病例,在早期应用贝利尤单抗治疗之后,临床症状在短期内迅速缓解,生活质量显著提高。在此,我们将本中心应用贝利尤单抗的治疗狼疮肾炎的经验分享给大家,以期能为广大肾科医生提供用药参考。
病例信息回顾
① 患者女性,45岁,因“尿泡沫增多伴多关节疼痛1月余”入院;② 尿泡沫增多,伴多关节疼痛,伴双下肢对称性、凹陷性水肿,伴乏力、纳差1月余;③ 后症状加重,于外院查24h尿蛋白定量7.014 g,血白蛋白21 g/L,总胆固醇6.04 mmol/L,血肌酐148.8 µmol/L,血沉93 mm/h,抗核抗体>1:1000,抗ds-DNA抗体443.777 IU/mL,补体C3 0.428 g/L,C4 0.109 g/L,考虑为“系统性红斑狼疮 狼疮性肾炎”,予甲泼尼龙60mg 静滴 qd+环磷酰胺0.4g 静滴1次,效果欠佳,遂就诊于我院。④ 既往“高血压病”半年余,血压最高达180/100 mmHg,否认家族遗传性疾病病史;⑤ 体格检查示口唇及睑结膜稍苍白,双下肢中度凹陷性对称性水肿。
入院检查
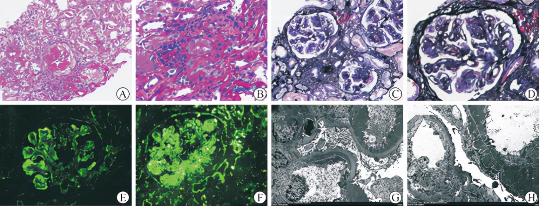
① 实验室检查:血红蛋白82 g/L↓,24h尿蛋白定量21.058 g ↑,血白蛋白29.2 g/L↓,总胆固醇8.15 mmol/L ↑,血清肌酐164 μmol/L ↑,补体C3 0.343 g/L↓,C4 0.085 g/L↓,血沉45 mm/h↑,Coomb's试验阴性,抗核抗体(细胞核-均质型)1:3200 ↑,抗Sm抗体弱阳性,抗ds-DNA抗体 293.48 IU/mL ↑,抗SSA抗体阳性,抗SSB抗体阳性,抗心磷脂抗体阴性,抗β2-GP1抗体阴性。② 影像学检查:泌尿系彩超,心脏彩超未见明显异常。③ 肾脏病理检查:狼疮性肾炎Ⅳ+Ⅴ型(ISN/RPS分型)。

患者肾脏病理。注:光镜:A(PAS, ×200);B(PAS, ×400);C(PASM, ×200);D(PASM, ×400)。免疫荧光:E(×200);F(×200),沿肾小球系膜区和毛细血管壁,呈团块、颗粒状沉积;电镜:G(×1200);H(×1500),可见系膜区,上皮下及内皮下电子致密物的沉积。
入院诊断
(1)继发性肾病综合征,重症狼疮性肾炎(ISN/RPS IV+V型),系统性红斑狼疮;
(2)中度贫血;
(3)高血压病3级(极高危)
诊疗经过
① 甲强龙(40mg 静滴 qd)+骁悉(250mg tid);
② 为迅速控制病情,2020年7月6日予第1次贝利尤单抗(10 mg/kg体重给药)治疗;
③ 后分别于2020年7月21日、8月5日、9月2日、9月29日、10月28日、11月27日住院,共行7次贝利尤单抗治疗。
疗效观察
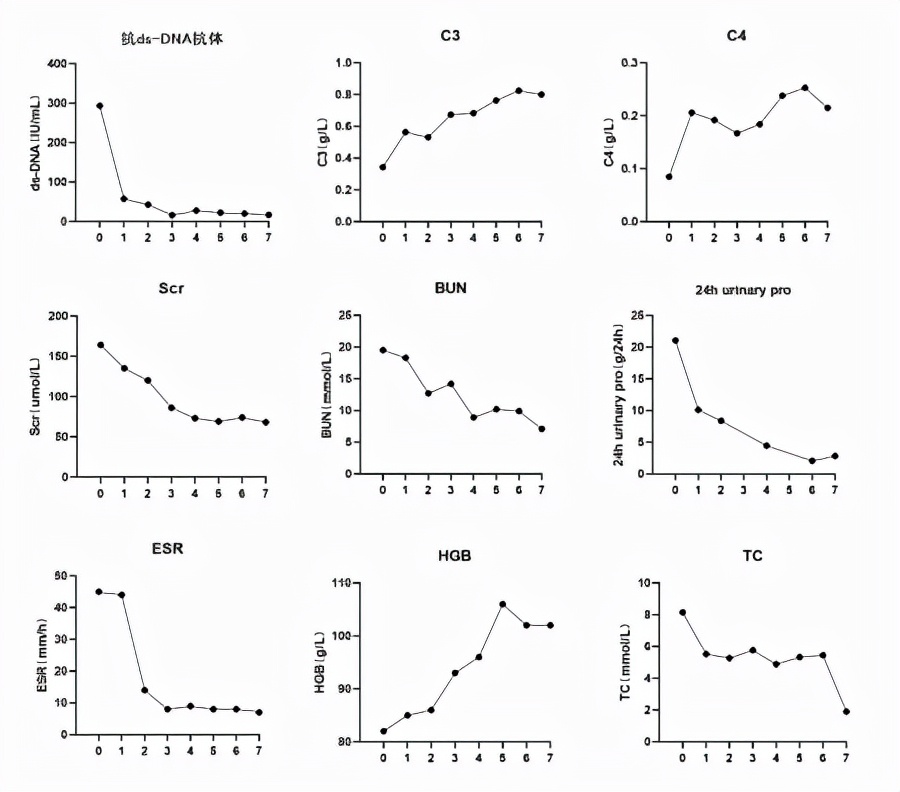
① 贝利尤单抗治用药2次后,患者双下肢水肿、多关节疼痛、乏力纳差症状迅速改善,蛋白尿大部分缓解,抗dsDNA、C3、C4水平均显著改善;
② 用药7次后,患者抗ds-DNA抗体降至16.74 IU/mL,血清肌酐降至68μmol/L,24 h尿蛋白定量降至2.851 g,补体水平接近正常;
③ 7次治疗结束后,甲泼尼龙减量至12 mg/d,骁悉减至250mg bid维持。

患者主要实验室检查指标随贝利尤单抗用药次数的变化情况。注:横坐标代表贝利尤单抗用药次数;Scr:血清肌酐;BUN:血尿素氮;24h urinary pro: 24 h尿蛋白定量;ESR:红细胞沉降率;HGB:血红蛋白;TC:总胆固醇。
讨论
狼疮性肾炎是系统性红斑狼疮最常见的靶器官损害之一,发生率约为25~60%。传统治疗手段包括免疫抑制药物,如糖皮质激素、环磷酰胺或霉酚酸酯等,存在副作用大、靶向性差、疾病复发率高等缺点[1]。
B细胞异常在狼疮发病机制中起重要作用。B淋巴细胞刺激因子(B-lymphocyte stimulator,BLyS)属于肿瘤坏死因子家族成员,主要由髓系细胞表达,可促进B淋巴细胞的存活和增殖[2]。在正常情况下,自身反应性B细胞在发育过程中会被清除。而在狼疮患者中,过高的BLyS与自身反应性B细胞结合,使得本应凋亡的自身反应性B细胞继续存活,并在体内循环,不断产生自身抗体,导致组织炎症和损伤[3]。BLyS发挥作用需要与三种受体结合,分别是B细胞成熟抗原(B-cell maturation antigen,BCMA)、跨膜激活剂及钙调亲环素配体相互作用分子(transmembrane activator and calcium modulator and cyclophilin ligand,TACI)和BLyS受体3(BLyS receptor 3,BR3)[4]。贝利尤单抗(belimumab)是一种抑制可溶性BLyS的重组人IgG-1λ单克隆抗体,通过结合BLyS,阻断了BLyS与受体结合,进而抑制B细胞存活及抗体的产生,从而发挥治疗作用[5]。

贝利尤单抗作用机制图。注:BLyS:B淋巴细胞刺激因子;BR3:BLyS受体3;BCMA:B细胞成熟抗原; TACI:跨膜激活剂及钙调亲环素配体相互作用分子。
既往的Ⅲ期临床研究,包括BLISS-52[6]、BLISS-76[7]、BLISS-SC[8]和BLISS-Northeast Asia[9]研究结果均有力地证实了贝利尤单抗治疗自身抗体阳性的活动性SLE的有效性和安全性。一项最新的多国,多中心,随机,双盲,安慰剂对照的Ⅲ期临床试验在标准治疗基础上,应用贝利尤单抗治疗经活检证实为活动性狼疮性肾炎的成人患者。结果显示贝利尤单抗治疗组肾脏缓解率显著提高且不会增加感染发生风险[10]。
本例患者以重症活动性狼疮性肾炎起病,以肾病综合征为主要临床表现。考虑患者SLEDAI评分22分,系重度活动,一般情况及经济条件较差,拒绝行血浆置换或免疫吸附等创伤性治疗,为迅速控制病情,共予7次贝利尤单抗治疗。治疗1月后,患者多关节疼痛、乏力、纳差症状消失,双下肢水肿明显减轻,抗核抗体滴度、抗ds-DNA抗体滴度、补体水平、24 h尿蛋白定量、血肌酐等指标均短期内显著下降。用药7次后,患者SLEDAI评分降至10分,临床症状完全消失,血肌酐恢复正常,蛋白尿达到部分缓解,抗核抗体滴度、抗ds-DNA抗体滴度、补体水平接近正常,生活质量得到显著提高。在贝利尤单抗治疗期间,患者未出现明显的感染及用药不良反应,且激素及免疫*制剂抑**用量逐渐减低,进一步降低了不良反应的发生风险。
本病例意义:
① 贝利尤单抗在狼疮性肾炎治疗方面显示出良好的应用前景,早期应用可迅速控制疾病活动,改善临床症状,降低免疫抑制药物用量,减少药物相关不良反应,提高患者生活质量。
② 贝利尤单抗治疗重症狼疮性肾炎的疗效和安全性仍需要更大规模的临床试验进一步评估,以更好地应用于各种类型的狼疮性肾炎患者,达到改善治疗效果并降低死亡率的目的。