锂离子电池具有能量密度高、安全性好、无记忆效应、循环寿命长等优势,被广泛应用于便携式电子产品领域,而近年来新能源汽车市场已成为全球锂电产业高速发展的主要动力。此外,电化学储能作为电网储能技术的重要组成部分,在削峰填谷、新能源并网和电力系统辅助服务中扮演愈发重要的角色。
在锂离子电池的充放电过程中,发生多个电化学反应过程,影响着电极材料的结构形貌和电池性能。例如,电极材料的比容量和放电平台决定电池的能量密度,而材料或者电池的阻抗决定离子的扩散过程及电池的功率密度。一般通过循环伏安、交流阻抗、充放电等电化学测试技术来研究锂离子电池等电化学储能器件中的电化学反应过程和电池的循环性能。
鉴于电化学测试技术的快速进步和数据分析方法的不断完善,本文对循环伏安、电化学阻抗和充放电等电化学测试技术展开详细的介绍,概述了这些电化学技术的测试原理和操作方法,并对一些典型的应用案例进行了深入分析,可帮助电池科研界与产业界更细致深入了解常用电池的测试过程,了解方法、原理及应用。尤其可快速全面地帮助初学者进入这一领域。以下测试方法同样适用其它体系的二次电池。
一、循环伏安技术
测试原理
在锂离子电池的电分析技术中,循环伏安法(CV)是电化学工作者普遍使用的一种方法。该方法是将一个线性变化电压(等斜率电压)施加在一个电极上。扫描区域可以控制在静置电位的±3 V范围内,大多数电极反应都发生在这个电位区域,一般不超过±5 V。
在循环伏安法中,起始扫描电位可表示为
E = Ei − vt
式中:Ei——起始电位;t——时间;v——电位变化率或扫描速率。反向扫描循环定义为
E = Ei + v′t
其中 v'常常与 v值相同,将其与适当形式的 Nernst方程相结合可以得到一个描述电极表面粒子流量的表达式,该表达式可以用连续小步进行积分求和的方法求其解。
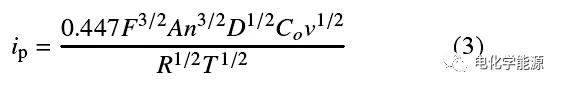
如所施加的电压接近该电极过程的可逆电位时,有一小电流通过,接着迅速增大,但随着反应物的耗尽,电流在电位稍高于标准电位处变成某一有限数值。反应物的耗尽形成向溶液延伸的浓度分布。当浓度分布延伸到溶液中时,电极表面上的扩散传质速率减少,同时伴随着电流的减小,电流达到最大值。可逆还原的峰值电流定义为

式中:
ip——峰电流;
n——电子交换数;
F——法拉第常数;
D——反应物扩散系数;
C0——氧化态反应物浓度;
A——电极面积。
循环伏安法可以得到电极过程的定性和定量信息,受扩散控制的可逆反应出现一对接近对称的电流峰。峰电位差为:

该电位差值和扫描速率无关。对电沉积不溶性薄膜进行可逆氧化的情况,如果过程不受扩散控制, ΔE值将远小于式(4)给出的值。
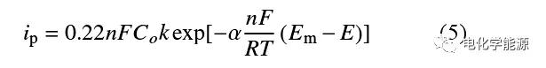
对准可逆过程,电流峰将区分得更开,峰值处的峰形较圆,且峰电位与扫描速率有关,ΔE值大于式(4)给出的值。采用回归计算分析 Em和扫描速率 v的函数关系也能得出 和 k,但用公式( 5)来分析要方便得多。

线性扫描伏安法 (LSV)的原理与循环伏安法相同,常常用于判定电极过程的可逆性,研究电极活性物质的吸脱附过程,只是比循环伏安法少了一个回扫[6]。LSV是电化学方法中最常用的实验技术,也是电化学表征的主要方法。对于可逆电极反应,峰电位 Ep与扫描速度 v无关,但当电极反应为不可逆时 (准可逆或完全不可逆),峰电位随扫描速度增大而负(或正)移。

测试方法及步骤
对于组装的扣式或软包锂离子电池,一般使用电化学工作站可以直接测试其 CV 或 LSV曲线。首先将电化学工作站的绿色夹头夹在组装好的电池的工作电极一侧,红色夹头(对电极)和白色夹头(参比电极)夹在电池的另一极,然后选择 CV 测试功能进入参数设置。需要设置的参数包括初始电位、上限电位、下限电位、终点电位、初始扫描方向、扫描速度、扫描段数(2段为一圈)、采样间隔、静置时间、灵敏度仪器、工作模式等。电压从起始电位到上限电位再到下限电位的方向进行扫描,电压对时间的斜率即为扫描速度,最后形成一个封闭的曲线,即为电化学体系中电极所发生的氧化还原反应。对于负极材料而言,起始电位一般为上限电位,从高电位向低电位最后回到高电位的方向进行扫描,正极材料则相反。LSV 测试步骤方法和 CV测试大致相同,只是比 CV 测试少了一个回扫,只有起始电位和终点电位。
数据分析
循环伏安测试对研究锂离子电池在充放电循环中电极反应过程和可逆性至关重要。以两种典型的正负极材料为例,图 1为由电化学工作站测试得到的 CV曲线。图 1(a)为钨表面改性的镍钴锰三元正极材料首圈、第 5圈和第 10圈的 CV 测试图,电压范围在 3~4.5 V,扫描速率为 0.1 mV/s,从测试图中可以看到材料在循环过程中有很好的可逆性,除首圈电极表面和电解液发生反应形成SEI膜以后,后面的循环过程中曲线几乎完全重合。其实可以看到出现在 3.8 V的氧化峰和 3.7 V的还原峰,对应的分别是 Ni2+/Ni4+的氧化还原过程。可以看到曲线没有其他峰,说明了改性材料在此电压区间的电化学稳定性。图 1(b)为常见的硫化钼负极材料的CV曲线,电压范围 0.01~3 V,扫描速率 0.1 mV/s。CV曲线也有利于分析锂离子电池复杂的电极反应过程,在首圈循环中,0.9 V和 0.4 V 的还原峰对应锂离子插入到硫化钼中将LixMoS2还原为Mo和Li2S, 1.8 V和 2.3 V 的两个氧化峰对应 Li从 Li2S中的脱出,而在第二圈循环中新的还原峰的出现表明硫化钼发生了不可逆的相转变。

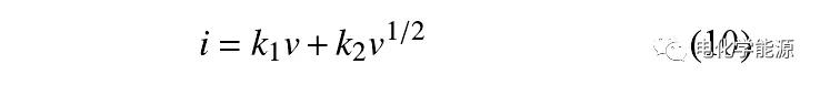
循环伏安测试除了对电极氧化还原反应进行分析以外,还可以进一步研究锂离子扩散系数和赝电容效应。图 2为基于氧化钼的复合隔膜的锂离子电池在不同扫描速度下的 CV曲线图,峰值电流 Ip,离子扩散系数D和扫描速度v存在以下关系式:

其中电荷转移数 n,电极面积 A和锂离子的摩尔浓度 C均为常数,所以 CV测试中峰值电流和扫描速度的平方根存在线性关系,斜率则可以定量反映扩散系数的大小,这一过程对应于锂离子在电极材料中的扩散,没有赝电容效应。如图 2(b)所示,斜率越大,锂离子扩散系数越大,表明基于氧化钼复合隔膜的锂离子电池的动力学性能更好,可以有效增强电池的倍率性能。
通过 CV测试图,还可以计算出赝电容效应对锂离子电池容量的贡献值,根据以下公式:


式中:id——扩散控制电流;ic——电容电流。
扩散控制电流与扫描速度的平方根成正比,电容电流与扫描速度成正比,总的测量电流分为两部分:表面电容效应和扩散插入过程,可由下面公式进行表达:


然后即可计算出各个电压值的电容电流 k1v,可以得到总的电容贡献,如图 2(c)所示,赝电容效应对复合隔膜锂离子电池贡献率达到了 43.59%,这有助于锂离子电池在高电流密度下实现快速的电荷存储,从而呈现出快速的锂储存和高容量。



二、电化学阻抗技术

【测试原理】
锂离子电池正极具有较高的电压,不仅可以作为电极材料参与电化学反应,而且为电池提供锂离子源;负极的电压较低,在电池充电时起到储存锂离子的作用,放电时将锂离子脱出,实现锂离子可逆的脱/嵌过程。因此锂离子电池正负极材料的充放电容量、循环稳定性能和充放电倍率等重要特性均与锂离子在嵌合物电极材料中的脱出和嵌入过程密切相关,而这些过程可以很好地从电化学阻抗谱的测量和解析中体现出来。把电池中的电极过程等同于电阻与电容串、并联组成的简单电路,通过测试设备电化学工作站输入扰动信号,得到相应的输出信号,根据测量得到的电化学阻抗(EIS)谱图,确定 EIS的等效电路或数学模型,与其他的电化学方法相结合,即可推测电池中包含的动力学过程及其机理。使用小幅度正弦波对电极进行极化,不会引起严重的浓度极化及表面状态变化,扰动与体系的响应近似呈线性关系,速度不同的过程很容易在频率域上分开。在很宽频率范围内测量得到阻抗谱,从而判断出含几个子过程,进而讨论动力学特征,因而 EIS能比其他常规的电化学方法得到更多的电极过程动力学信息和电极界面结构信息。
目前描述电化学嵌入反应机制的模型主要有吸附模型 (adsorption model) 和表面层模型 (surface layer model)。一般采用表面层模型来描述锂离子在嵌合物电极中的脱出和嵌入过程。表面层模型最初由Thomas等提出,分为高频、中频、低频区域,并逐步完善。Barsoukov基于锂离子在单个活性材料颗粒中嵌入和脱出过程的分析,给出了锂离子在嵌合物电极中嵌入和脱出过程的微观模型示意图(见图 3),认为锂离子在嵌合物电极中的脱出和嵌入过程包括以下步骤:
1)电子通过活性材料颗粒间的输运、锂离子在活性材料颗粒空隙间的电解液中的输运;
2)锂离子通过活性材料颗粒表面绝缘层(SEI膜)的扩散迁移;
3)电子/离子导电结合处的电荷传输过程;
4)锂离子在活性材料颗粒内部的固体扩散过程;
5)锂离子在活性材料中的累积和消耗以及由此导致活性材料颗粒晶体结构的改变或新相的生成。


充分考虑了导电剂对锂离子嵌入和脱出过程的影响,即电子传输过程对嵌锂过程的影响,研究者对表面层模型进行了完善。锂离子在嵌合物电极中脱出和嵌入过程的典型电化学阻抗谱共分为五部分,如图 4所示。但由于受实验条件的限制,极低频区域(<0.01 Hz)与活性材料颗粒晶体结构的改变或新相生成相关的半圆以及与锂离子在活性材料中的积累和消耗相关的垂线很难观察到。
典型的 EIS谱主要由 4部分组成:
1)高频区域:与锂离子通过活性材料颗粒表面 SEI膜扩散迁移相关的半圆;
2)中高频区域:与电子在活性材料颗粒内部的输运有关的半圆;
3)中频区域:与电荷传递过程有关的半圆;
4)低频区域:与锂离子在活性材料颗粒内部的固体扩散过程相关的一条斜线。
电极 EIS谱的高频区域是与锂离子通过活性材料颗粒表面 SEI膜的扩散迁移相关的半圆(高频区域半圆),可用一个并联电路RSEI/CSEI表示。RSEI和CSEI是表征锂离子活性材料颗粒表面 SEI膜扩散迁移过程的基本参数。如何理解 RSEI和 CSEI与 SEI膜的厚度、时间、温度的关系,是应用 EIS研究锂离子通过活性材料颗粒表面 SEI膜扩散过程的基础。根据 RSEI和 CSEI的变化,可以预测 SEI膜的形成和增长情况。中高频区域是与电子在活性材料颗粒内部的输运过程相关的半圆,可用一个 Re/Ce并联电路表示。Re是活性材料的电子电阻,是表征电子在活性材料颗粒内部的输运过程的基本参数。Re随电极极化电位或温度的变化反映了材料电导率随电极电位或者温度的变化。从本质上来说,嵌合物电极 EIS谱的中高频区域的半圆是与活性材料电子电导率相关的。
实用化嵌合物电极 EIS 谱的中频区域是与电荷传递过程相关的一个半圆,可用一个 Rct/Cdl并联电路表示,Rct和 Cdl是表征电荷传递过程相关的基本参数。
低频区是与扩散过程相关的一条直线,此过程可用一个 Warburg阻抗 Zw来表示。Zw表征了锂离子在活性材料颗粒内部的固体扩散过程,相应的锂离子在嵌合物电极活性材料颗粒内部的扩散系数是表征扩散过程的主要动力学参数。
极低频区(<0.01 Hz)为与活性材料晶体结构的改变或新相形成相关的一个半圆,以及与锂离子在活性材料中的积累和消耗相关的一条垂线组成。此过程可用一个 Rb/Cb并联电路和 Cint组成的串联电路表示,其中 Rb和 Cb为表征活性材料颗粒本体结构改变的电阻和电容。
由于 EIS的频率范围一般为10–2~105Hz,另外锂电池的正极材料或负极材料在锂离子嵌入、脱出过程中体积变化较小,体相内部物理化学性质变化不大,且一般不存在剧烈的相变过程,新生成相和原始相之间的物理化学性质差别也往往不大,因此在 EIS谱中很难观察到极低频率区域,即与活性材料颗粒晶体结构的改变或者与新相生成相关的半圆。
对石墨负极和其他炭电极而言,活性材料为电子的良导体,Re很小,因而其EIS谱中不存在与Re/Ce并联电路相关的半圆,此时 EIS谱由与 RSEI/CSEI并联电路、Rct/Cdl并联相关的两个半圆和反映锂离子固态扩散过程的斜线3部分组成。
对过渡金属氧化物或过渡金属磷酸盐正极而言,理论上其 EIS谱应当由上述 4部分组成,但由于锂离子通过活性材料颗粒表面 SEI膜的扩散迁移和电子在活性材料颗粒内部的输运是一对相互耦合的过程,因此与 Re/Ce、RSEI/CSEI并联电路相关的两个半圆较易相互重叠,因而在EIS谱上表现为一个半圆。文献报道中它们的 EIS谱基本上由两个半圆或 3个半圆与一条斜线组成,且由两个半圆与一条斜线组成最为常见。
测试方法及步骤
进行电化学阻抗测试首先有 3个基本条件:1)因果性条件:当用一个正弦波的电位信号对电极系统进行扰动,因果性条件要求电极系统只对该电位信号进行响应。2)线性条件。当一个状态变量的变化足够小,才能将电极过程速度的变化与该状态变量的关系作线性近似处理。3)稳定性条件。对电极系统的扰动停止后,电极系统能恢复到原先的状态,往往与电极系统的内部结构亦即电极过程的动力学特征有关。
对锂离子电池进行电化学阻抗测试一般采用电化学工作站,目前常用的工作站有 CHI电化学工作站、Zahner电化学工作站等,本文以 Zahner为例介绍 EIS 测试过程。首先进入选择 EIS模式,进入参数设置界面,选择阻抗测试的不同模式后,设置测试频率范围、起始频率点、频率测试顺序、采点区间等,得到测试结果。
为了从 EIS中得到可靠的结果,将阻抗谱与等效电路(EEC)拟合是非常关键的,首先打开一个需要拟合的阻抗谱,这里可以对谱线的颜色、厚度、格式等进行修改,选择-Nyquist 图形表示,然后单击 “Model Circuit”(模型电路)图标创建一个等效的电路模型,可以通过点击“Add”添加所需的电路元件然后通过连接点连接起来,并提供频率范围生成模拟图。模拟后,在图形窗口中打开模拟图形,为了将模拟谱线拟合到测量的 EIS阻抗谱,这里有Original、Smoothed、Z-HIT 3种模拟选项,选择所需要的后点击“Fit”进行拟合。拟合完成后会提供各个元件的阻抗值和误差等,最后进行保存和导出拟合数据即可。常用的拟合软件有 Zsimpwin、ZahnerAnalysis等。
数据分析
料进行表面改性,并利用 EIS验证其改性效果,图 5为 NMC 和 NMC-3%W的交流阻抗图,NMC和 NMC-3%W材料所测得的 Nyquist 谱由两个半圆组成。高频区与实轴的截距点对应溶液电阻 Rsol;中高频区第一个半圆对应表面膜电阻 Rsf,包括固体电解质膜(SEI)和表面包覆层;低频区的半圆对应的是电极/电解液界面的电荷转移电阻 Rct。随着循环的进行,Rsol基本保持不变;而 Rsf存在一个先减小后增大的过程,这与循环时 NMC 材料活化以及SEI形成过程有关;NMC的Rct在第5圈时为71.01 Ω,循环至第 50圈后增加到 328.50 Ω,而循环 100圈后增加到 731.00 Ω,这说明循环过程中正极材料与电解液界面受到破坏,界面电荷转移受阻。在包覆WO3后,NMC-3%W材料的 Rct明显减小,在 100圈时 Rct为 73.27 Ω,仅为 NMC材料的 1/10。这表明 W表面改性能有效抑制电解液对正极材料的破坏,提升界面稳定性,减少界面电荷转移电阻。在电池中,Rsf与 Rct的电阻之和是影响电池充放电性能的关键因素之一。如图 5(d)所示,在 W表面改性后,NMC-3%W材料的总电阻值明显较小。因此,材料的循环稳定性和倍率性能明显提高。

采用球磨法和溶胶-凝胶法制备 SiO-@C/TiO2纳米球,并将其作为锂离子电池的负极材料。由于碳和 TiO2涂层的双重保护作用,复合材料具有良好的可逆容量、良好的倍率性能和循环性能。

对 SiO@C/TiO2、SiO@C、N-SiO 3种材料进行 EIS测试,绘制 Nyquist图(见图 6),可观察到 3种曲线具有相似的变化趋势,均由高频区的半圆以及低频区的倾斜直线组成。其中高频区的半圆代表 Li+通过活性颗粒表面 SEI膜的阻抗,低频区代表 Li+在活性颗粒内部的扩散阻抗,即 Warburg扩散阻抗。经拟合后,SiO@C/TiO2复合材料高频电阻为 3 Ω,低于 N-SiO的 8.2 Ω以及 SiO@C的 5.4 Ω。电化学阻抗谱 (EIS)测试阐明了 TiO2的加入对 SiO@C/TiO2复合材料电化学性能的影响。表明 TiO2涂层不仅提高了电化学动力学,而且提高了循环性能和初试电化学性能。
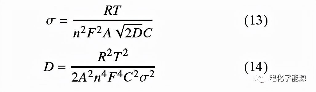
离子扩散系数
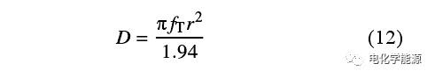
锂离子电池的正负极材料大多选用能够脱嵌锂离子的层状化合物,充放电过程主要步骤是锂离子在正负极材料中的脱出和嵌入,因此测定锂离子在正负极材料中的扩散系数具有非常重要的意义。计算扩散系数常采用循环伏安法(CV)、电化学阻抗测试法(EIS)和恒电流间歇滴定技术(GITT)。其中 EIS计算锂离子扩散系数主要有两种计算方法[18]。一种为基于Goodenough等建立的理论模型, Myung等计算扩散系数的方法:

式中:
fT——半无限扩散到有限扩散的转折频率,可以通过分析对交流阻抗谱图得到;
r——样品的平均粒径。
另一种方法是根据半无限扩散阻抗的定义,通过EIS可以计算扩散系数:

R—气体常数;T—绝对温度;n—每摩尔参与电极反应的转移电子数;A—电极表面积;σ—Warburg系数。
由于扩散系数的本身性质,对其计算一般只着重于其变化的数量级范围,并不苛求精确值,所以用EIS计算锂离子扩散系数是十分适用的,计算得到的锂
离子扩散系数的变化范围一般为 10–12 ~10–9 cm2/s。

三、充放电测试技术

测试原理
全方位地测试评价锂离子电池的能力,提供安全可靠的锂离子电池在新能源汽车和消费类电子产品的开发过程中显得尤为重要,因此对于锂离子电池测试方法的规范化和全面化提出了更高的要求。充放电测试作为最为直接和普遍的测试分析方法,可以对材料的容量、库仑效率、过电位、倍率特性、循环特性、高低温特性、电压曲线特征等多种特性进行测试。
当前所使用的充放电测试仪器都具备多种测试功能,可以做到多通道共同充放电测试。电池充放电测试仪器的主要工作就是充电和放电两个过程[19]。对于锂离子电池充放电方法的选择直接决定锂电池的使用寿命,选择好的充放电法不仅可以延长锂离子电池的生命周期,还能提高电池的利用率[20]。扣式电池的充放电模式包括恒流充电法、恒压充电法、恒流放电法、恒阻放电法、混合式充放电以及阶跃式等不同模式充放电。实验室中主要采用恒流充电(CC)、恒流-恒压充电(CC-CV)、恒压充电(CV)、恒流放电(DC)对电池的充放电行为进行测试。其中恒流-恒压充电法的使用最广泛,它是将恒流充电法和恒压充电法相结合。其充电过程可以分为预充电阶段、恒流充电阶段和恒压充电阶段 3个过程,预充电阶段是在电池电压低于 3 V 时,电池不能承受大电流的充电,这时有必要以小电流对电池进行浮充;当电池电压达到 3 V时,电池可以承受大电流的充电了,这时应以恒定的大电流充电,以使锂离子快速均匀转移,这个电流值越大,对电池的充满及寿命越有利;当电池电压达到 4.2 V时,达到了电池承受电压的极限,这时应以 4.2 V的电压恒压充电,这时充电电流逐渐降低,当充电电流小于30 mA 时,电池即充满了,这时要停止充电,否则,电池因过充而降低寿命。其次,锂离子电池过度充放电会对正负极造成永久性损坏。过度放电导致负极碳片层结构出现塌陷,而塌陷会造成充电过程中锂离子无法插入;过度充电使过多的锂离子嵌入负极碳结构,而造成其中部分锂离子再也无法释放出来,所以,锂离子电池保持性能最佳的充放电方式为浅充浅放。
充放电的电流大小通常以充放电倍率来表示,即:充放电倍率(C)=充放电电流(mA)/额定容量(mAh),如额定容量为 1 000 mAh的电池以 100 mA的电流充放电,则充放电倍率为 0.1C。实验室中对锂离子扣式电池的充放电测试主要包括:充放电循环测试、倍率充放电测试以及高低温充放电测试。
测试方法及步骤
常用的电池测试系统包括 Arbin公司的电池测试系统、蓝博公司的电池测试系统等。
此外,一些电化学工作站也具有扣式锂电池电化学性能测试功能。
在实验室锂电池的测试过程中,经常要用到高低温循环一体机和恒温箱。实验室用恒温箱温控多为25 ℃,且实际温度与设定温度间的温差不超过1 ℃;高低温循环一体机通过设定温度来实现电池的高低温性能测试。在选择恒温箱时,尽量采用专门用于电池测试的恒温箱,此类恒温箱含有专业的绝缘绝热口用于连接电池测试导线。电池在连接测试夹具时,需使用绝缘镊子,且测试电池需整齐置于高低温循环一体机或恒温箱内,设定测试温度,待温度达到设定温度后开启电池测试程序。蓝电系列电池测试系统对电池的测试过程是自动的,因而测试前需要对每个电池(通道)预设定全部的“工作步骤”,即所谓的工步编辑。蓝电系列电池测试系统允许用户对每个通道设定多个“工作步骤”的过程编程。每个“工作步骤”基本由工作模式(包括主参数设置)、结束条件、记录条件以及安全保护等4个部分组成。将待测试电池安装在测试仪器上,扣式电池可以适用于扣式电池的夹持,同时记下测试通道的序号,置于一定温度的测试环境中(一般为 25 ℃左右),接着在蓝电系统上设置程序。在进行一个测试过程之前,应先选取测试电池位于仪器上的相应通道。鼠标右键点击通道,选择“启动”,进入对话框。点击“启动”窗口中的当前测试名称(简单循环-锂电)或者点击新建,可进入“工步编辑软件”界面。
下面以“简单循环-锂电”测试过程为例,讲述一个测试过程的编辑步骤。在“工步编辑”窗口选择“未命名”卡片中可以输入我们需要的名称“简单循环-锂电”。从“工步编辑软件”左侧选择“工步对象”,选择自己需要的工步拖入工步编辑界面,双击对应的工步,设置相应的参数。打开“工步编辑软件”窗口,选择“全局配置”,就可以设置保护条件。工步编辑完成后点击“关闭并返回到监控软件”,保存当前工步,再点开始,就可以启动测试了。“数据预约备份”可以在通道“启动”时定义,也可以在通道“测试参数重置”时定义,对于已经设定“预约备份”的通道,一旦测试完成(或强制停止或安全停止,但软件中途强制退出例外),测试数据会自动备份至用户“预约”的目录下。蓝电电池测试系统能完整的记录电池测试数据,并且可以对于一个正在进行或已经完成测试的通道数据在处理软件界面查看和操作测试数据。
操作人员在测试仪器上装卸扣式电池时需佩戴绝缘手套及口罩和防护眼镜;由于测试通道较多,需对测试电池、测试通道进行特殊标记,并在相关仪器前贴醒目标签注释以防他人误操作。
数据分析
1) 充放电曲线分析
在对电池充放电曲线进行分析的过程中,为了深入研究充放电过程,对曲线进行微分处理,得到微分差容(dQ/dV)曲线和微分电压(dV/dQ)曲线。
对于微分差容(dQ/dV)曲线,曲线中的氧化峰和还原峰对应充放电曲线中的充电平台和放电平台。根据该曲线中峰位以及参考文献对比可以判断氧化还原反应。此外,峰位的移动与衰减也具有一定的对比价值。如峰位的移动则表明该电位附近的充放电平台电位出现移动,与材料的结构变化引起锂的嵌入/脱出难易有关;某峰位的强度变化可表征该电位的充放电平台长短变化。
对于微分电压(dV/dQ)曲线,该曲线分析被认为是电极退化的指示器。dV/dQ 的峰移和峰容量的变化是了解电池内电极容量衰减的有用指标。
以微分差容(dQ/dV)曲线为例,介绍一下常见的 dQ/dV曲线制作和分析方法。一般是通过小电流对锂离子电池进行充放电,并记录充放电参数,特别是电量、电压数据,获得这些数据后对这些数据进行处理,以第 n+1个数据点的电压和电量数据减去第 n个数据点电压和电量数据,得到一个 dV和 dQ数据,依次对所有数据进行处理,得到一系列的 dV 和 dQ数据,然后以 dQ除以 dV就得到了另外一个数据 dQ/dV,然后以 dQ/dV作为纵坐标,以电压、容量或者 SOC等作为横坐标,获得一个标准的dQ/dV曲线,同理可获得标准的dV/dQ 曲线。微分差容(dQ/dV)曲线的应用实例。


以氟化碳(CF)材料表面改性的 Li1.14Ni0.133Co0.133Mn0.544O2 (LRNCM)正极为例,首次充电过程中,LRNCM的初始充电和放电比容量分别为 367 mAh/g和284 mAh/g,首圈库伦效率为 77%(图 7(a)~(b))。由于 CF在首次放电过程中能贡献一部分容量,因此 LRNCM@CF材料的首圈放电比容量增加,首圈库伦效率显著提高。LRNCM@10%CF材料的充电和放电比容量分别为 392 mAh/g和 390 mAh/g,首圈库伦效率为 99%。图 7(c)~(f)为不同比例 CF材料的容量电压微分曲线。首次充电过程中 3.9 V处的氧化峰对应的是 N2+/N4+氧化过程,而在 4.4 V的氧化峰对应的是阴离子 O2–/O2–x部分可逆过程以及晶格氧不可逆损失过程。放电过程中,2.4 V的还原峰对应的是 CF的不可逆反应过程。因此在LRNCM@CF材料中,CF 能通过转化反应补充放电比容量,显著提高首圈库伦效率。
微分电压(dV/dQ)曲线的应用实例。Kato等通过 dV/dQ 曲线来分析商业锂离子电池的寿命衰降机理,发现随着循环次数的增加特征峰 1会逐渐变得尖锐,深入分析表明这是由于循环中活性 Li的持续消耗,导致负极嵌锂量减少导致的,反过来我们也可以用特征峰 1形状的变化表征锂离子电池内部活性 Li 的损失。图 8为 30 Ah电池在 45 ℃下 C/2循环 360次和 720次后和 45 ℃存储相应时间后的充电和放电 dV/dQ 曲线,从图中我们能够看到在 dV/dQ曲线中有两个明显的特征峰,特征峰1(Qp1)在 4.0 V附近,特征峰 2(Qp2)在 3.8 V 附近。
可以看到在充电过程中,随着循环次数的增加,特征峰 1逐渐向更低的 SOC偏移,但是在存储后却没有发现特征峰 1的偏移,但是无论在循环和存储中充电过程特征峰 Qp1都没有发生变形。但是在放电过程中,特征峰1在经过循环和存储后变得更加尖锐。
充放电循环测试数据分析
对充放电循环测试曲线的展现可以是充放电行为随时间的变化图、性能参数(如充放电容量、库仑效率等)随循环周次的变化图以及某些周次充放电行为的叠加图。其中,充放电行为随时间的变化图是基础输出信息,充放电容量、库仑效率图则是测试软件处理的数据。根据性能参数循环图,可对电池充放电容量、库仑效率变化进行直观判断,对电池循环性能以及可能存在容量“跳水”、电池析锂等情况进行分析判断。组装后的扣式电池在循环过程中会存在一定的衰减情况,对电池容量衰减率随循环周次变化的分析对材料性能分析、全电池设计、电池失效预判有着十分重要的意义。

图 9是 将所制备的低结晶度硫化钼(将所制备的低结晶度硫化钼(LCMS, Mo∶ S=1∶ 2.75)纳米片与碳纳米管的复合物(CNT@LCMS)作为锂离子电池负极材料的循环性能测试曲线,并对其与对比材料在 100 mA/g电密度下进行循环测试,测试结果表明 CNT @LCMS 在 100圈循环内,比容量从 820 mAh/g持续增加到 1 350 mAh/g,而LCMS仅在前几圈循环内比容量增加,此后比容量出现衰减,CNT@MoS2的比容量通常在循环时持续减少。由此可见,充放电循环测试可以对电池性能进行较为直观的评估。
倍率充放电测试数据分析
倍率性能测试有 3种形式,包括采用相同倍率恒流恒压充电,并以不同倍率恒流放电测试,表征和评估锂离子电池在不同放电倍率时的性能;或者采用相同的倍率进行恒流放电,并以不同倍率恒流充电测试,表征电池在不同倍率下的充电性能;以及充放电采用相同倍率进行充放电测试。常采用的充放电倍率有0.02C、0.05C、0.1C、C/3、0.5C、1C、2C、 3C、5C和10C 等。

图 10是 以 CNT@LCMS 作为锂离子电池阳极的倍率充放电测试。当电流密度逐渐升高时,CNT@LCMS在 2 A/g时仍能提供 530 mAh/g的高比容量,而 MoS2和 CNT@ MoS2在 1 A/g时分别降低到 50 mAh/g和 440 mAh/g。当电流密度重新回到 0.1 A/g时 CNT@LCMS 有超过初始容量的趋势,表明电池恢复性较好。
总结
循环伏安、交流阻抗和充放电等电化学测试技术在锂离子电池研究中得到了广泛应用。通过分析循环伏安曲线可获得氧化还原反应电位、离子扩散系数、赝电容等信息,对电化学阻抗图谱进行拟合可得到电解质阻抗、电极/电解质界面阻抗、电荷密度等信息,而借助充放电测试可获取电池容量、充放电平台等信息,这对研究电极反应过程、电池性能衰退机理具有重要作用。
值得注意的是,尽管同一种电化学测试技术的测试原理基本相同,但是测试仪器、测试方法和分析方法的不同会对测试数据造成很大影响,因此,需要制定并规范测试标准,建立健全测试和分析方法,以获取真实可靠的数据。此外,还应进一步完善原位测试技术,尤其对于电化学阻抗测试,以便于实时动态地观察电池在不同工作状态下的信息,利于深刻分析电化学反应机理。
要深入研究电池的衰退机制,除了采用这些电化学测试技术,还应联合其它的物理化学测试技术,如 原位 XRD、XPS等,揭示电化学信息与材料成分、结构、形貌等理化特征之间的内在关系。毫无疑问,建立一个针对不同电池体系,涵盖电池关键材料、电池理化和电化学等信息的大数据库,必将有效指导二次电池的研究与开发,在当前储能技术和大数据技术快速发展的时期,这一工作也愈发显得必要。