1735年,巴塞尔级数和的成功破解,让欧拉逐步坐稳了18世纪数学盟主的地位。
我们先来回顾一下巴塞尔级数是什么?

巴塞尔级数
如果把这里的2改成1,那就是大名鼎鼎的调和级数。戏谑地说,调和级数应该是巴塞尔级数的大哥,因为无论从诞生的历史,还是内容的深度上都远胜于二弟。
为啥这个级数有个如此清新的名字?调和级数“调和”什么呢?
这个级数名字源于泛音及泛音列(泛音列与调和级数英文同为harmonic series):一条振动的弦的泛音的波长依次是基本波长的1/2、1/3、1/4……等等。

调和级数
看到这个级数,就有种让人想去求和的冲动。但是对一个数列来说,想求和,首先你要证明收敛性才行,巴塞尔级数的收敛性很好证明。但是对于调和级数,敛散性却不是那么显而易见。

中世纪的欧洲
大约在1360年,尼克尔·奥里斯姆就已经证明调和级数是发散的了,既然是发散,也就就不能求出来这个级数的和了。他证明的方法,其实不算什么高深技巧,用到的是一种证明不等式的基本方法,放缩法。我读高中的时候,数学课上还专门讲过,印象里最深的就是,老师说:放缩一定要适量,放缩法用得恰到好处,结论是不证自明的,要是放缩地太狠,不但得不到最后结论,甚至还会把你误入歧途。好像现在高中数学里已经取消这个方法了,毕竟,相对于其他解题方法,放缩法的任意性要更高,也更难掌握一些。下面我们来看一下,这位中世纪的数学家是如何来证明调和级数的发散性的。

奥里斯姆关于调和级数发散的证明
(1) 式中[ ]内的项一次递增成2n个,为什么要这么操作?这样操作之后,(2)式中就可以把[ ]内的每一项都缩小到2-n,于是每个[ ]内的项相加都等于1/2,这样持续下去,就可以得到调和级数的和大于无穷多个1/2了,显而易见,调和级数是发散的。

哪里都有你——欧拉
这是人们对于调和级数第一次探索的成果。后来的研究过程中,人们越来越想用别的计算公式来逼近调和级数的和,因为调和级数和太过繁杂了。在这个问题的研究上,欧拉迈出第一步。

欧拉关于调和级数逼近公式的证明
至此,欧拉得出调和级数的一个很好的逼近公式。但是后面[ ]内存在的那一大串是什么呢?有了巴塞尔级数的知识做基础,我们很明显看出来[ ]内的项都是收敛的,事实上欧拉给这大串的项的和用了一个专门的字母γ表示。
于是

调和级数逼近公式
这里的γ大约是0.5772156649...,我们当然又把这个数叫作欧拉常数。可千万不要以为这个数的诞生这么奇怪,人们刻意造出这个数有什么用途呢?实际上这个常数会出现在许多数学分析的问题中,它与伽马函数Γ(x),黎曼函数ζ(s),连分数展开式都有着千丝万缕的关系。奇怪的是这个常数的性质,人们却知之甚少,甚至是有理数还是无理数都难以判定。
你以为欧拉得出调和函数和的逼近函数和欧拉常数就完了?当然没有!
之后的某一天,欧拉在纸上涂涂画画,瞄着瞄着就把调和级数改造了一番,欧拉写出这样的一个式子:

全体素数的倒数和
很明显欧拉是想看看所有素数的倒数和是怎么的情况,这个新的级数敛散性还是跟调和级数一样呢?
于是欧拉又开始惨无人道地“*躏蹂**”这个可怜的级数了,欧拉第一个发现,所有素数的倒数和其实也是发散的。
他的这个证明非常精彩,远比上面得出调和逼近函数要精彩得多。
欧拉曾经在研究ζ(s)函数时,得到一个堪称金钥匙的工具,这个工具把求和与连乘等价在一起,非常漂亮。

欧拉关于全体素数倒数和发散的证明
欧拉的金钥匙怎么得出来的,这里就不做特别细致的探讨了。这里,我就主要说一下(9),(10)之间的转换,(9)的连乘形式看起来非常恐怖,实际上,我们可以从另外一个角度来考虑。我们从小学就学过把一个数分解成唯一的素数乘积的形式,比如36=2*3*2*3,40=2*2*5*2,如果这个数本身就是素数,那就不用分解了。我们只是把这个要分解的数限制是自然数即可,换句话说,我们只要用素数乘积的组合就可以得出任意所有的自然数。这个也叫算术基本定理,是一个高斯曾经极度痴迷的数学定理。我们把这个定理放在这里简单应用下。如果我们不嫌麻烦,将(9)完全展开,我们将会得到任意素数的幂乘积的倒数和,由算术基本定理的逆定理得知,我们也将得到所有自然数的倒数和!于是,自然而然,我们就得到(10)式了。(当然完整严谨的证明还是要用到欧拉的金钥匙,这里只是做个形象的解释)

痴迷算术基本定理的高斯
如果说调和级数和的发散性是反常识的,那么素数倒数和的发散性就更加反人类了。素数要远比自然数少的多,没想到经过欧拉这么一推导,仍然是发散的!我们再来分析一下欧拉的证明过程,在最后一步里,用了素数的个数是无穷多个这个前提来得到最终结论,那么假如,我们可以先得到素数的倒数和是发散的,那么不就可以逆推出素数的个数是无穷多个的吗?
这样的思路是非常正确的,有人就学着走这条路。

北欧神话——挪威
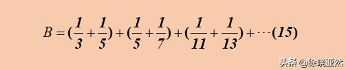
1919年,挪威数学家布隆以此思路开辟了一条可能证明孪生素数猜想的“捷径”。他把所有孪生素数的倒数对全部加在一起,他考虑到,假如这个级数仍然发散,不就可以证明孪生素数是无穷多个了吗???这个思路的确相当振奋人心。
于是他列出这个级数来:

孪生素数倒数对的和
然而根据之前所有的研究经验来看,真正涉及到素数核心问题的证明都绝不会是以一个简单巧妙的方法就可以解决的,孪生素数猜想也不例外。布隆企图证明这个级数是发散的,然而,他尝试半天,却忧伤地得到了这个级数收敛在1.90216054...附近,这个常数也叫布隆常数。毫无疑问,这条证明孪生素数的道路是根本走不通的,欧拉的极尽巧思是布隆根本学不来的。到了这里,我仿佛听见欧拉在天堂里远远地对布隆说:
“数学好,真的可以为所欲为!”
然而,上天也算待布隆不薄,布隆在这个问题的研究上并非颗粒无收,他证明了一个很有趣的结论:
对于任何一个给定的整数m,都可以找到m个相邻素数,其中没有一个孪生素数。
欧拉对于调和级数压榨出了几个重要成果:欧拉乘积公式,调和级数逼近公式,素数倒数和发散。充分说明了,调和级数就像是一股宝贵的数学源泉,而欧拉如抽丝剥茧般地慢慢把这个问题压榨,提炼,改造成各种各样有力的数学成果,为以后的数学研究准备相当多的工具,我个人已经不能用语言去形容这位超级大神了。

好的问题就是数学研究里的宝藏
我相信调和级数里仍然还有很多不曾被注意到的性质,好似感觉这里就是一个宝藏, 我们所有人穷尽一生也得不到全部的结果。