
本文内容主要分为以下部分:
☑ 为什么在骨干网,长距传输上选择了相干光通信?
☑ 了解相干光通信之前所需的知识储备
☑ QPSK,QAM等复杂调制格式具体实现的方式
在光通信行业里,我们经常听到400G和100G传输,而相干光通信和PAM4传输技术在数据中心及网络基础设施中是当下实现这两种速率的主要技术方向。
按照这两种技术各自的优势,它们分别在线路侧骨干网传输和客户侧模块发挥着各自的优势。PAM4传输技术之前小K普及过很多次了,那么相干又怎么理解呢?
从传输技术来看,有三个维度可以用来增加传输的信息量:
- 更高符号速率 10 GBaud/s → 25 GBaud/s → 56G Baud/s……;
- 更多并行通道数 波分复用或者多路光纤1x → 4x → 8x → 32x……;
- 高阶复杂调制 如 PAM-4,QPSK,16QAM,64QAM……
PAM4可以看作是一种高阶幅度调制,在相同的符号速率下可以传输NRZ信号两倍的比特位数,而相干光通信则利用光波的更多维度,偏振,幅度,相位和频率来承载更多的调制信息,从而扩充了传输容量。

图(1)
PART一 为什么在骨干网长距传输上选择了相干光通信?
▼ 01
首先采用复杂调制的相干光通信节省了光带宽资源,提升了光纤传输效率,是进一步提高传输带宽的绝佳选择。传统概念上光纤的带宽是不受限制的,然而随着速率的提升和波分复用技术的实施,我们还是遇到了瓶颈。

左/右
左图 可以看到随着信号速率的提高,光信号的频谱也在变宽。当符号率提升至40 GBaud甚至100 GBaud时,OOK(把一个幅度取为0,另一个幅度为非0,就是OOK,On-Off Keying,该调制方式的实现简单),信号占用的带宽变得大于50-GHz ITU信道的带宽。从图中可以看出,频谱加宽的信道开始与它们的相邻信道重叠,导致串扰的出现。
右图 给出了使用多种不同技术的组合如何提高频谱效率的想法。举例来说,与NRZ-OOK调制格式相比,使用QPSK可以将符号利用率提升两倍。这样我们就使用一半的符号率传输同样速率的数据,占用的光谱带宽也减少了一半。
然后通过上面我们说过的偏振复用PDM可以在同一个波长传递两个并行偏振通道,相当于提升两倍频谱效率。通过QPSK高阶调制和PDM偏振复用技术,我们将单波长通道的光信号频谱占用减小到了原来的四分之一。
最后再利用脉冲整形滤波器进一步缩小占用频谱之后,可以在50GHz带宽的信道中传输112Gbps的数据。
▼ 02
光相干接收机的另一个优点是数字信号处理功能。数字相干接收机的解调过程是完全线性的;所有传输光信号的复杂幅度信息包括偏振态在检测后被保存分析,因此可以进行各种信号补偿处理,比如做色度色散补偿和偏振模式色散补偿。
这就使得长距离传输的链路设计变得更加简单,因为传统的非相干光通信是要通过光路补偿器件来进行色散补偿等工作的。(传统传输链路的色散问题,即光信号各个组成成分在光纤中传输时,抵达时间不一样。)

图(2)
▼ 03
相干接收机比普通的接收机灵敏度高大约20dB,因此在传输系统中无中继的距离就会越长。得益于接收机的高灵敏度,我们可以减少在长距离传输光路上进行放大的次数。
基于以上原因,相干光通信可以减少长距离传输的光纤架设成本,简化光路放大和补偿设计,因此在长距离传输网上成为了主要的应用技术。
PART二 了解相干光通信之前所需的知识储备
接下来我们要讲的是相干光发射的复杂调制技术,但要讲明白复杂调制的原理,我们还得花点时间回顾以下内容作为基石:
- 传统强度调制
- I/Q调制
- 星座图
『强度调制』根据其原理不同,一般可以简单分为直接调制(DML)和外调制(EML)两种。
☛ 直接调制DMLDirect Modulation Laser
直接调制原理最简单, 信号直接调制光源的输出光强,激光器出光功率与驱动电流成正比。
但是直接调制最大的问题就是频率啁啾,使其不适用于更高频的调制。
- 调制1的时候,输入到激光器的电流大,激光器的输出振幅大,能量大,亮
- 调制0的时候,输入到激光器的电流小,激光器的输出振幅小,能量小,暗

图(3)
用于直接调制的激光器,我们就称为DML(Direct Modulation Laser)激光器。
☛ 外调制EMLExternal Modulation Laser
用于外调制的激光器,我们就称为EML(External Modulation Laser)激光器。外调制常用的方式有两种,一种是EA电吸收,将调制器与激光器集成到一起,激光器的光送到EA调制器,EA调制器等同于一个门,门开的大小由电压控制。因此可以通过改变电场大小,调整对光信号的吸收率。
外调制还有一种就是大名鼎鼎的 MZ Mach-Zehnder马赫-曾德尔调制器。在MZ调制器中,输入的激光被分成两路。通过改变施加在MZ调制器上的偏置电压,两路光之间的相位差发生变化,再在调制器输出端叠加在一起。
物理学上著名的双缝干涉实验证明了光有波的特性↓↓↓

图(4)
MZ正是利用了光波的这一特性,完成了信号的调制:
- 相差是0度,那么相加以后,振幅就是1+1=2
- 相差是90度,那么相加以后,振幅就是√2
- 相差是180度,那么相加以后,振幅就是1-1=0
由上面的描述,我们知道,相差变化可以带来振幅(能量)的变化,从而实现光的强度调制。
小知识:利用电光效应控制相位
在构建相位调制器时,我们可以受益于某些晶体(如铌酸锂)的折射率n依赖于局部电场强度的效应。这就是所谓的“电光效应”。
这对相位调制有什么帮助?如果n是场强度的函数,那么通过晶体的光的速度和波长也是。因此,如果对晶体施加电压,那么通过晶体的光的波长就会减小,通过选择适当的电压就可以控制出射光的相位(见下图)。

上图显示了框图和周期性的光功率和ΔU传播之间的关系。半波电压Uπ是功率传输中π的相位变化所需的电压,意味着调制器在不传输功率和传输100%的输入功率的电压差。
什么是『I/Q调制』?为什么要用I/Q调制?
光波当然不会仅仅由振幅来定义,通过下面具有Ex和Ey两个偏振分量的电磁波电场的经典数学公式描述可以知道有很多光波特征参数都可以用来对信息进行编码呢,比如:
- 在偏振复用中,这些正交分量可以作为两个不同的通道传递独立信号;
- 在波分复用中应用不同的频率ω可以在不同渠道独立数据传输这些频率/波长;
- 对于复杂的调制方案, 就可以用上振幅E, 相位Ф等参数共同调制信号---这就是基本的I/Q调制
这样是不是感觉调制方案有了很多种可能性?事实上,这也的确是高阶复杂调制的理论根据。

图(5)
I/Q调制在下图用极坐标描述,这里,I为in-phase同相或实部,Q为quadrature正交相位或虚部,如图(6)所示蓝色矢量端点的位置对应一个点 (也称为“星座点”)在这个图中(这被称为“星座图”),这个点其实就是振幅E和相位Ф的一对组合。

图(6)
I/Q调制听起来有个蛮高大上的名字,那它是不是就比前面讲过的OOK调制Niubility呢?先让下面哥仨挨个来个自我介绍:

图(7)
由此可知,调制幅度和/或相位不意味着相对OOK调制具有更高的传输效率。
而相干传输技术于传统上用的NRZ,RZ和OOK信号相比,要提高传输效率,就要使用多个符号表示多个位数,那么用一个MZM调制器只能实现BPSK调制,那么要实现QPSK,则要有两个正交的MZM调制器。
这意味着在Q路有 90° 的相移, 表现在时域上的波形为图(8)所示,一共有4个符号,每一个时钟周期传输2比特:

图(8)
* A 代表 00--- → a sin(ωt+45)
* B 代表 01---- → a sin(ωt+225)
* C 代表 11---- → asin(ωt+315)
* D 代表 10---- → a sin(ωt+135)
还要说明的是在复杂编码情况下,现在实际上有两种不同的速度需要被澄清:
首先 是以每秒比特数测量的比特率,也称为“传输速率”。

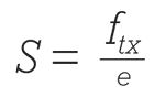
其次, 符号率S量化以波特为单位测量的每秒传输的符号数。 因此,它通常被称为“波特率”。 利用比特/符号的编码效率e, 符号率计算如下:

图(9)以QPSK为例进一步解释这个公式。对于100-Gbps QPSK信号,这意味着它的传输速率是100Gbps,而它的符号率S =(100Gbps)/(2比特/符号)= 50Gbaud,此信号占用的光通信带宽约为25GHz。

图(9)
什么是QAM?什么是『星座图』?
QAM是Quadrature AmplitudeModulation的缩写,也叫“正交振幅调制”,其幅度和相位同时变化。它的优点是每个符号包含的比特个数更多,从而可获得更高的系统效率。
对于给定的系统,所需要的符号数为2n,这里n就是每个符号的比特数。
☞ 对于16QAM,n=4,因此有16个符号,每个符号4bit:0000,0001,0010等
☞ 对于64QAM,n=6,因此有64个符号,每个符号6bit:000000,000001,000010等
而由这些符号组成的在极坐标中的位置集合就是星座图,对于相位调制,可以通过星座图来直观的感受信号质量的好坏:

图(10)
图(11)显示了QPSK中四个符号的星座点,可以把它看作是4QAM,其中四个符号中每个符号由两比特编码而成。星座点都位于一个半径为E的圆上,这意味着这四个符号只有不同的相位 (即总是相邻点之间的π/ 2).
传统的OOK也可以用星座图表示,由于信息仅在振幅中,所以位值1可以在半径为(=振幅)E的圆上的任何位置。

图(11)
有了前面这些铺垫,这一段大家最常用的对相干光通信的解释,这时候就可以上场了!
相干光通信的基本原理 ☟
在发送端,采用外光调制的方式将信号以调幅、调相、调频的方式调制到光载波上,经过后端处理发送出去。到达接收端以后,首先经过前端处理如均衡等,再进入光混频器与本地光振荡器产生的光信号进行相干混合,然后由探测器进行探测。
那么在实际应用中,前面所提到的各种调制方式的实现方式又是怎样的呢?我们进入第三部分一探究竟。
PART三 QPSK,QAM等复杂调制格式具体实现的方式
/// 首先来看看MZ调制器Mach-Zehnder调制器的相移效应
同样的我们还是在IQ图中描述。在图(12)中可以看到恒定幅度的正弦波示例,并定义相对相位Φ= 0.在信号分离后,每个分支上只有一半的功率。
在蓝色信号示例中,没有电压施加到调制器分支,因此如果它们具有相等的长度,则信号的相对相位在两个臂上保持不变。合路后会产生具有原始幅度但相移Φ = π的正弦波。

图(12)马赫-曾德调制器相位漂移的例子、时域和IQ图
在红色信号的示例中,较低的分支上的信号相移π⁄2和上分支相移3π⁄2。在绿色信号的示例中,情况正好相反。这两个信号的共同之处是,当重新组合这两支信号时,会出现相消干扰,即这两个向量加起来等于零向量。
因此,在红色和绿色的例子中,调制器的出口没有信号。对于黄色信号, 信号相位移动了π。当叠加蓝色和绿色两个信号时,你会得到一个相长干扰,由此产生的波是一个原始位移的正弦波。
/// 用于传输QPSK信号的马赫-曾德尔调制器
使用QPSK调制的马赫-曾德尔调制器在发射机设置中是如何使用的?在图(13)中给出了完整的框图,并概述了QPSK调制的原理。

图(13)调制QPSK信号的发射机设置
在QPSK调制中,相对于OOK的传输速率是通过将2比特编码为一个符号来实现的两倍扩张。这四个符号在IQ图的四个星座点中,它们的振幅相同但点与点相差π⁄2。
在发射机中,电比特流被一个多路复用器分成信号的I和Q部分。这两部分中的每一部分都直接调制马赫-曾德尔调制器一只臂上的激光信号的相位。另一个马赫-曾德尔调制器把较低的分支相移π⁄2。两个分支重组后,结果是一个QPSK信号,如图(13)底部所示。
/// 发射机更为复杂的调制方案实现方式
对于16-QAM这样的高阶调制方案,发射机的设置必须能够提供更多的幅度级和相位,这意味着更高的复杂性。
在16-QAM中,每个符号编码4比特,需要两个不同的光功率级别。为了实现这一点,它们的模块化和在电/光调制程度有很多不同的方法。图(14)提供了四个实现示例进行比较:

图(14)
图(14)列举了QPSK以外调制格式的发射机的实现方式,如16-QAM在实践中,右下角的设置是常用的。
图(14)左上角 是一个由离散元件组成的发射器。数字-模拟转换(DAC)是在光信号上进行的。以BERT为例,有4个输出通道以电的方式产生四个符号。这四个电压驱动两个马赫-曾德尔调制器。带有splitter的激光源提供两路光信号,然后由马赫-曾德尔干涉仪进行调制。在较低的分支上,连接了一个光学衰减器得到第二个较低的光振幅。上支具有另一个马赫-曾德尔调制器,相对于下支去移动上支相位,重组后的结果是得到16 QAM的光信号。
事实上,可以看到会需要不止一个马赫-曾德尔调制器,这就是这个设置的缺点,因为它们是比较昂贵的组件。同时,铌酸锂元件必须具有恒定工作温度,才能实现精确的相位控制,这也很难保证。
图(14)右上角 的示例中是把马赫-曾德尔干涉仪集成在一个光学芯片上,则相位控制将更容易。这里,分支1和分支2各自发出QPSK信号。两个分支的干涉结果为16-QAM信号。
但是这种方法的缺点是它不可商业化。

图(15)
图(15)两个并行的16-QAM调制步骤:在一个分支上,得到绿色的QPSK信号,并与第二个分支上的另一个QPSK信号组合,得到蓝色的16-QAM星座点。
图(14)左下角 的例子中,有两种设计是在电气领域中执行DAC。可以使用标准码型发生器创建4比特的序列。信号的I部分在上部两只分支,其中一只分支上的衰减器提供第二个振幅电平。同样的情况也存在于下部的两个分支上,在那里产生信号的Q部分。通过组合器后,两级电信号控制马赫-曾德尔调制器的光信号。
这种方法的缺点是,由于它有许多组件,所以设置非常复杂,因此不够灵活,其次电压分辨率对于两个以上的振幅级别来说不够好,所以它也不可能实现像64QAM这样的高阶调制方案。
图(14)右下角 的框图显示了最方便和灵活的实现方式。在实践中,这是通常使用的发射机实现方式。用任意波形发生器对信号进行调制,然后由它驱动马赫-曾德尔干涉仪。使用这种方法可以生成更多的电平。用这种光发射机可以实现比16-QAM复杂得多的调制方案。
当然,利用这种逻辑,小伙伴们可能会想象这样的方案,我们是不是可以通过尽可能多的增加在一个符号中编码的比特数来增加数据速率,然后所需的光学带宽保持不变。但这显然没那么简单。
因为除占用带宽外,还必须考虑技术可行性,现有基础设施的配合等。调制格式越复杂,每个调制符号所对应的比特数越多(调制效率越高),但最终会受限于香农定律,代价是星座图中的点越靠近,需要的SNR的代价越大。因此,对于更高的传输速率,需要更复杂的调制格式,对应的产品挑战就越大,这将是我们下一篇将要探讨的内容。
除了相干复杂调制方案之外,它还可以与其他传输方法相结合,以通过光纤链路更有效地传输数据信号。例如,在偏振多路复用(PDM)中,与第一路光信号正交偏振的第二路光信号携带独立信息并在同一光纤上传输(见下图)。这就实现了双通道并行传输,传输带宽加倍,而不需要第二个光纤。通过偏振多路复用与波分复用技术,可以实现单光纤10Tb/s以上的传输带宽。

图(16)
一口气读到这里的小伙伴
请给自己点个大大的赞哦~
因为你已经有了一个非常好的开始
扫描下方二维码,获取详细精华资料
还有幸运好礼等着你~
