实验目的
使用示波器测量电线或导线的长度。
实验原理
时域反射计(Time-domain reflectometer or TDR)是一种通过观察导线中反射回来的波形从而对导线进行测量的电子仪器。
时域反射计的一个用处是可以用来测量电缆(双绞线、同轴电缆)的长度。
时域反射计大概长这样:

时域反射计
我们可以利用上一个实验 自制快速边沿脉冲发生器 中制作的脉冲发生器和一台示波器组成一套便宜的时域反射计设备,来测量导线的长度。
下面我们讲一下使用 TDR 测量导线长度的原理:

时域反射计原理
向未知长度的电缆的一头发射一个高速边沿脉冲信号,该信号会沿着该电缆向另一头传播(propagation ), 如果电缆的另一头是断开的,信号会在到达终点后反射(reflection)回来,回到出发点,使用示波器测量信号从发射到反射回来的时间差,可以计算出电缆的长度。
导线或者电缆只是传输能量的,导线本身并不消耗能量或者近似于不损耗能量。当射频信号到达导线末端,能量没有办法释放,就会沿着导线反传回来。就跟我们对着墙喊,声音碰到墙反传回来产生回音一个道理。
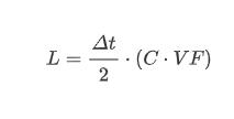
计算电缆长度的公式如下:

长度计算公式
L = 电缆长度,单位:米。
Δt = 信号从发射到反射回来的时间差,单位:秒。
C = 光速,单位:米/秒。
VF = 线缆速度因子,常量,无单位。
电信号在电缆中的速度无法达到理论上的光速,光速与电信号在电缆中实际速度之比称为速度因子(Velocity Factor or Velocity of Propagation)。缩写:VF 或者 VOP。
对于同轴电缆来说,同轴电缆的速度因子(VF)因电介质材料的不同而不同,列举如下:
|
电介质材料 |
速度因子 |
|
Solid Polyethylene or PE(实心聚乙烯) |
0.659 |
|
Foam Polyethylene or FE(泡沫聚乙烯) |
0.800 |
|
Air Space Polyethylene or ASP |
0.842 |
|
Foam Polystyrene or FS(泡沫聚苯乙烯 ) |
0.910 |
|
Solid Teflon or ST(实心特氟纶或者聚四氟乙烯) |
0.69-0.70 |
|
Air Space Teflon or AST |
0.850-0.900 |

同轴电缆示意图
实验器材
- 快速边沿脉冲发生器小板
- 支持 10 纳秒或更小时基的示波器一台
- 5V 直流电源
- 待测试电缆
- BNC 转接头

脉冲发生器小板

BNC 三通转接头 一公转母

BNC 转接头 公转公

BNC 母头转2位双绞线压接头
我们分别测试两种线缆的长度:

BNC 延长线

0.75平方 300/500V 电线
实验步骤
测试 BNC 延长线长度
- 将脉冲发生器和 BNC 转接头按如下方式连接:

连接信号小板和转接头
- 将小板插入示波器,待测 BNC 延长线插入三通头,上电:

测试 BNC 延长线长度
- 截取波形,使用示波器 光标测量 功能测量两个信号之间的时间差:

测量两个信号的时间差
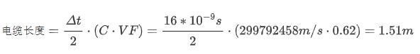
从上面波形截图中可以看到,发射信号和反射回来的信号时间差为 16 纳秒,套入公式计算:

计算电缆长度
上面我们计算出的线缆长度为 1.51 米,我的这根线的实际长度为 1.5 米。
换一个接头测量 0.75 平方电线的长度:

换一个接头测量 0.75 平方电线的长度
波形如下:

测量0.75平方电线长度波形
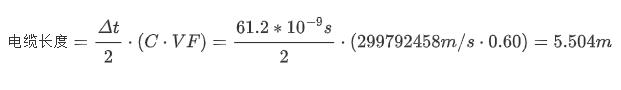
从上面波形截图中可以看到,发射信号和反射回来的信号时间差为 61.2 纳秒,套入公式计算:

计算电线长度
上面我们计算出的线缆长度为 5.504 米,我的这根线的实际长度为 5.5 米。
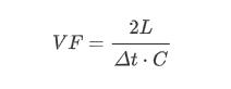
如果不知道某种线缆的速度因子,可以用一条已知长度的线缆,通过以下公式求出:

求速度因子的公式
VF = 线缆速度因子,常量,无单位。
L = 线缆长度,单位:米。
Δt = 信号从发射到反射回来的时间差,单位:秒。
C = 光速,单位:米/秒。