在行测数量关系专项,几何问题年年都考,年年都不一样,特别是利用三角形的相关知识解题是考察考生应用能力的重点,江苏中公教育专家认为,如果能够牢记三角形的相关定理公式,那么解题就会事半功倍。
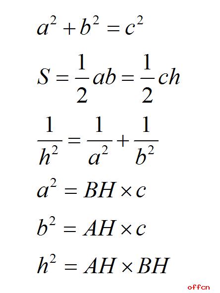
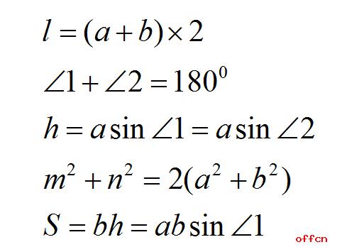
一、三角形的面积和周长:
三角形的基本面积公式相信大多数考生都能了熟于心,但是记一些不常用的面积公式,关键时刻对快速解题也是相当有帮助的。

二、三角形的中线定理:如图所示,三角形ABC的三条对应边长分别是a,b,c,BN是底边AC的中线,N是底边中点,那么中线BN的长度:

三、三角形角平分线:如图所示,BI平分角B,角平分线交AC于I,那么就有:



六、矩形:


更多考试详情关注微信公众号:苏州公务员考试网(后台领取各个考试项目备考资料及模拟卷)
或者收藏我们的网站:www.suzhou.offcn 更多考试信息和备考指导等你哦!!!