
1
凑角法
一些求值问题通过观察角之间的关系,并充分利用角之间的关系,往往是凑出特殊角,可以实现顺利解答。

2
降幂法

3
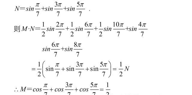
对偶法
根据一些三角式的特征,适当进行配对,有时可以实现问题的顺利解答。


4
换元法
给值求值问题都是给的单角的某一三角函数值,利用换元法可以将问题转化为熟悉的已知单角的三角函数值求值(包括求周期、对称轴、对称中心等)问题。

5
方程法
有时可以根据已知构造所求量的方程解答。

6
讨论法
涉及含有参数或正负情形的三角问题,往往需要借助讨论法进行解答。

7
平方法
分析已知和所求,有时借助“取平方”的方法可以实现顺利解题。

8
猜想法
有时根据已知数据的特征进行必要的猜想,能更好的解决求值问题。

9
图象法
有时候,借助图象才能更好的解决对应的三角函数问题。

10
比例法
借助比例的性质,有时可以实现快速解答三角函数问题。

11
构造三角形法


孩子冲刺的路上,我们与您同行!

来源:小优 优胜教育濮阳分校