
同济大学(Tongji University)简称“同济”,是中华人民共和国教育部直属并由教育部、国家海洋局和上海市共建的全国重点大学,历史悠久、享有盛誉的中国著名高等学府,中央直管高校,国家“世界一流大学建设高校”,国家“211工程”和“985工程”建设高校。
同济大学的学科实力有多强呢?现在很多名校前身都是同济大学的某一个学院,在做院系调整时将其单独分离出去,形成现在单独的学校。
例如,文学院和法学院并入复旦大学,后随复旦大学支援了华东政法学院(现华东政法大学)、上海财政经济学院(现上海财经大学)等校的建设。
医学院和附属同济医院全部迁往湖北武汉,与武汉大学医学院合并后改名中南同济医学院(现华中科技大学同济医学院)和武汉同济医院。
理学院动物系、植物系并入华东师范大学,数学、化学、物理等系除了保留基本的工科教学以外,全部并入复旦大学、华东化工学院(现华东理工大学)
工学院机械系、电机系、造船系等并入交通大学(现西安交通大学、上海交通大学),还支援了南京工学院(现东南大学)等校。水利系与其他高校的水利专业在南京参与组建了华东水利学院(现河海大学)。同时,交通大学、复旦大学、圣约翰大学等11所高校的土建系、科、组并入,使之成为国内土木建筑领域规模最大、学科最全的工科大学。

学科建设方面
世界一流学科建设学科:建筑学、土木工程、测绘科学与技术、环境科学与工程、城乡规划学、风景园林学、艺术与设计
一级学科国家重点学科:建筑学、土木工程、交通运输工程
二级学科国家重点学科:海洋地质、工程力学、机械设计及理论、材料学、控制理论与控制工程、大地测量学与测量工程、环境工程
二级学科国家重点(培育)学科:基础数学、凝聚态物理、车辆工程
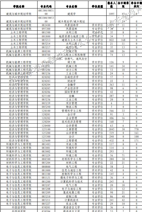
总体来说,强势学科主要集中在理工类院校,那么同济的文史哲类专业好考吗?下面来分析一下这所学校的报录比吧

建筑学由于是同济大学的强势学科,因此报录比都高达22:1,同时同济的很多专业,尤其是专硕,都是只招收非全不招收全日制的,例如金融专硕,公共管理专硕,会计专硕以及工程管理专硕,有很多同学想考同济大学金专的要注意啦

同济大学的前身就是是1907年德国医生埃里希在上海创办的德文医学堂,并且在上海有许多附属医院,很大程度上能够解决学生的实习就业问题,因此同济大学的医学其实是非常强的,所以绝大多数医学类专业报录比都偏高

需要注意像教育专硕,法学院的法硕,艺术设计学院的艺术设计以及汉语国际教育都是只招收非全,同时要尽量避开招生人数过少的专业,像新闻传播学以及专硕新闻与传播

总体来说同济作为一所上海地区的985高校,难度也是刚刚的,并且很多专业是在不同学院招生,且相对应的要求都不同,所以大家在报考时一定要收集全信息,确定是否招生,往年招生多少等等,对同济大学考研有任何问题都欢迎大家评论私信啦!