几何
三角形
1、角度关系:
(1)三个内角和为180º;三角形的外角和是360°
(2)三角形的外角等于与之不相邻的两个内角之和
2、边角关系:
大角对大边,大边对大角
3、三边关系
已知三条线段a,b,c,构成三角形的条件:
(1)三角形任意两边之和大于第三边
(2)三角形任意两边之差小于第三边
满足:

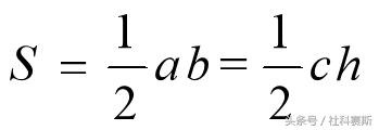
4、三角形面积面积公式


结 论★
(1)底相等的三角形的面积之比等于其高之比
(2)高相等的三角形的面积之比等于其底之比
(3)同底等高的三角形面积相等
5、三角形五线
一线:中位线
中位线定理:
三角形的中位线平行于第三边且等于第三边的一半
推论:经过三角形一边中点且平行于另一边的直线,必平分第三边
二线:中线
特点:中线都是在三角形内部。
任何三角形都有三条中线,且交于一点。
每条三角形中线分得的两个三角形面积相等。
三线:角平分线
四线:高线
五线:中垂线
6、特殊三角形★ ★ ★
(1)等腰三角形
特点:两腰相等,两底角相等;底边中线、顶角平分线、底边高三线合一
周长:L=2a+b
面积:

(2)等边三角形
特点: 三边相等、三内角相等、三线合一
、四心合一
周长:设边长为a,周长L=3a
面积:

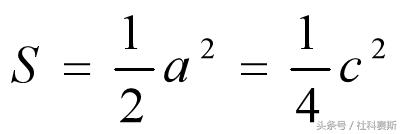
(3)直角三角形
设两直角边为 a , b, 斜边为 c

周长L=a + b + c
面积

等腰直角

一角30度直角

性质: 五特性 ★ ★

(1) 勾股定理

常用勾股数:
(3.4.5);(5.12.13)(6.8.10);
(2)两锐角之和为90º
(3)斜边上的中线等于斜边的一半
(4)两直角边乘积等于斜边与斜边上高的乘积
(5)在直角三角形中,有一个锐角为30º,则这个角所对的直角边等于斜边的一半。
特殊直角三角形的边角关系
(1)等腰直角三角形
三边之比

三内角之比:1:1:2
(2)有一个角30º的直角三角形
三边之比

三内角之比1:2:3
7、证明两个三角形全等
判断方法:
①三条边对应相等(简称:边边边)。
②两条边及两条边的夹角对应相等(简称:边角边)。
③两个角及三角形中任意一条边相等(简称:角角边)
证明两个三角形相似
(1)判断方法:
①两个角相等。
②三条边对应成比例。
③两条边对应成比例,且两条边的夹角相等。
对应边之比=相似比
(2)相似三角形性质:
①对应角相等,对应边成比例。
②对应边上的高线之比=对应边上的角平分线之比=对应边上的中线之比=对应边之比
③两个三角形的周长之比=对应边之比=相似比。
④两个三角形的面积之比=对应边之比的平方=相似比的平方。
8、两类典型三角形图形
四边形
平行四边形
平行四边形性质:
平行四边形的对边平行且相等,对角相等,对角线互相平分。
周长:C=2(a + b)
面积:

重要结论:
平行四边形对角线互相平分,两对角线将其分成4个面积相等的三角形。
矩形
菱形
正方形
梯形

圆
(1)半径为r的圆的周长:

(2)圆的面积:

扇形
扇形弧长

扇形面积

梯形重要结论—蝴蝶定理

