来源:天津广播、天津卫生人才网
转自:津工E家
特别提示:凡本号注明“来源”或“转自”的作品均转载自媒体,版权归原作者及原出处所有。所分享内容为作者个人观点,仅供读者学习参考,不代表本号观点。
近日
天津市卫生人才网发布
2020年度天津市卫生健康委员会
所属事业单位公开招聘公告
天津18家医院公开招聘医疗人才
渴望做白衣天使的你
赶紧看看有没有适合自己的吧

具体招聘流程可详询
天津市卫生人才网相关网页
http://www.tjwsrc.com/2020C.asp
天津市第一中心医院

天津市人民医院

天津市第二人民医院

天津市第三中心医院

天津市第三中心医院分院

天津市第四中心医院

天津市职业病防治院
(天津市工人医院)

天津市南开医院

天津市儿童医院

天津市海河医院

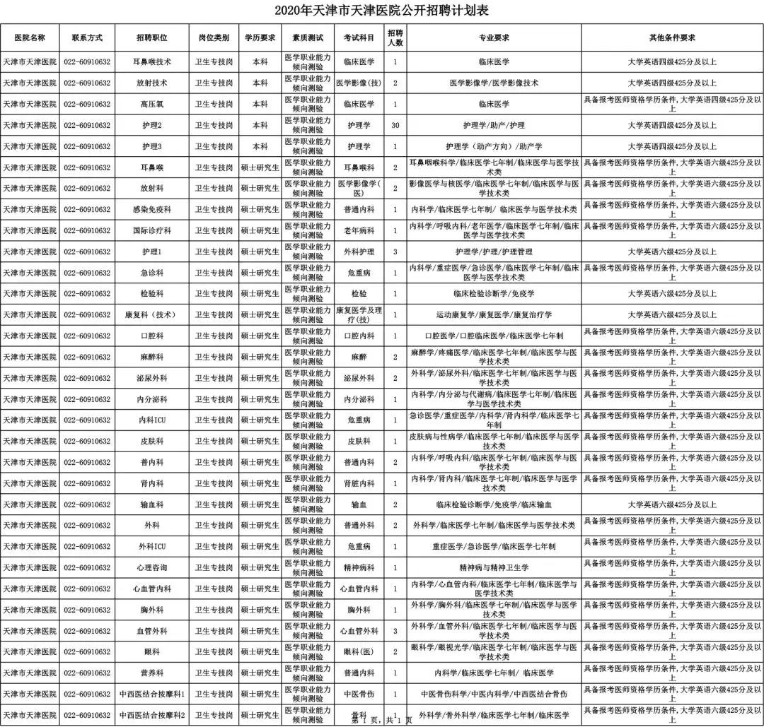
天津市天津医院

天津市环湖医院

天津市胸科医院

天津市安定医院

天津市中心妇产科医院

天津市眼科医院

天津市口腔医院

天津市中医药研究院附属医院
