高考数学数列典藏手写大招独家秘笈(超全详解)包含了:等差数列的性质、特值法、叠加法、叠乘法、待定系数法、一阶递归标准求解通法、二阶递归待定系数法、特征根法等等超全汇总!
因为篇幅有限,点击我的头像私信我回复“领取”就可以领取word电子版
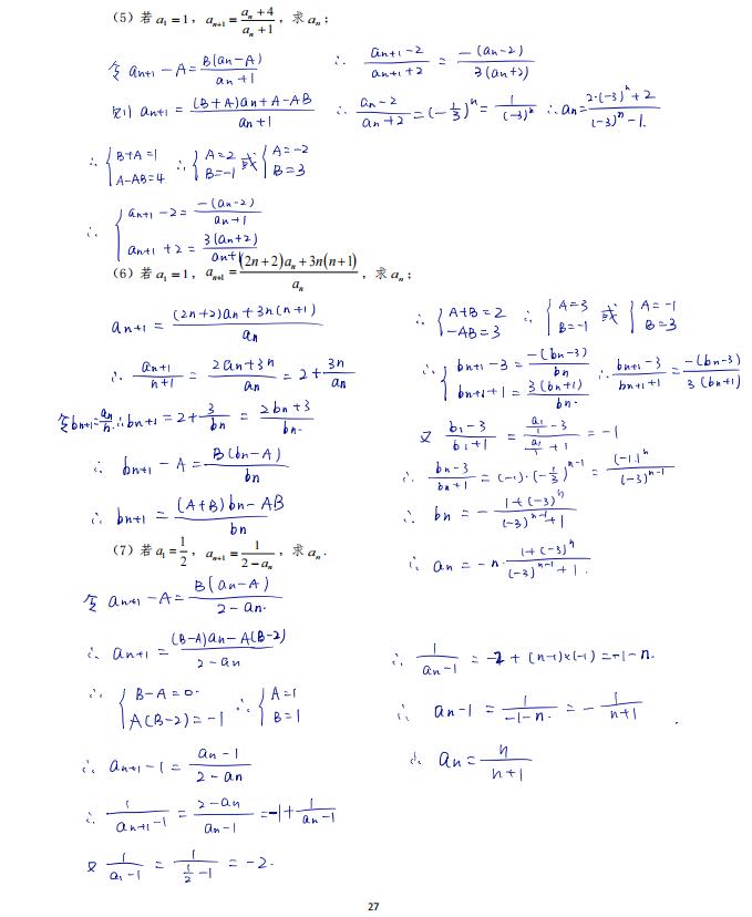
以下是部分资料内容,完整高清版的发送私信即可。更多资料将持续更新,敬请关注。










高考数学数列典藏手写大招独家秘笈(超全详解)包含了:等差数列的性质、特值法、叠加法、叠乘法、待定系数法、一阶递归标准求解通法、二阶递归待定系数法、特征根法等等超全汇总!
因为篇幅有限,点击我的头像私信我回复“领取”就可以领取word电子版
以下是部分资料内容,完整高清版的发送私信即可。更多资料将持续更新,敬请关注。









