套路,世界上最复杂的路。
套路是最简单的路,因为规律可循啊!就是那句老话,你摸摸鼻子,我就知道你要抠鼻屎一样,完全可以预料事件下一步如何发展。

高考题就是这样,全国卷考题虽然有时候难,但是套路明显的,所以基本都在掌握之中,当然有人说2019年掌握不了吧,那没关系,顶多2020年出个蒙娜丽莎啥的!
说到高考题,就得说江浙卷,江浙两地的题目有个特点,这个特点已经超越了难的范畴,它也不像全国卷处处都是套路,江浙卷是压根就没有路。
例如,这道题,看着是真简单

说实话,我是真不知道出题人想让我干啥。
我看了半天,总算悟出了出题人的意思:可能她想让你来年再战,为高四拼搏!

不过,还是要尝试一下。


我一直在想一个问题,你说读书多是一件好事不?!
个人感觉绝对不是好事,自古江浙多才子,结果证明,才子阴险起来,骂人都能山路十八弯,可惜我到现在都没有学会排水沟过弯。
现在咱们采取倒推的方法再来一遍,假设出题人想让咱们把题目写出来,我也知道这种可能性很小,暂时这样考虑,实在不行,咱们还有绝招,瞬间将正确率跃增至25%。
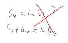
这个选项很奇怪,没有让计算某一个确定的数值,只是在比较某两项之间的大小关系,而且还是第1、3项比较或者第2、4项比较,这说明什么?!

有可能需要计算的是公比q的范围。
原来如此,是不是瞬间豁然开朗了,下一步呢?!
兴高采烈的处理条件吧,怎么处理?!......
不急,我们刚才有点着急了,再来一次:咱们要不放弃吧!
在放弃之前,我还有一句话要说,你觉得数学和语文的阅读理解有啥不同?你觉得如果女生生气,你怎么哄她?
其实这两个问题道理都是相同的。
前段时间,我一个同学的爸爸妈妈骑着电动车回家,一人坐一人骑,眼看拐个弯就到小区大门了,迎面一辆重型卡车!他爸爸眼疾手快,直接脚刹制动,他妈也没闲着,朝着卡车把电门扭到最大。不过最终还是停下车了。他爸说第一句话是:你不要命了,咱俩差点就没了!
*妈的他**第一句话是:你竟然凶我!
这就是男女之间的思维差异,你不要关心事件本身,你要对她时刻保持微笑。
你能知道她的想法,就能劝阻;你知道作者的想法,就能找到对策。
这个问题中,要判断大小,需要把条件整理成一种更加简单的形式,但是面对对数的形式,可以选择伸缩变换,因为伸缩变换就是用来处理大小关系,而不是求准确数值的。

不论这种方法是否可行,可以先进行尝试

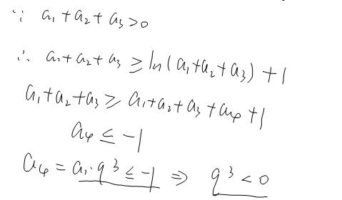
你想比较两个数字之间的大小关系,因为每两个比较的数字都是隔了一项,所以需要判断q的平方的范围,但是需要明白,准确判断q的范围很难进行

所以对q的分类,当q≤-1时


与题目条件不相符!
所以,q在(-1,0)之间,注意:这个范围并不是精确范围,只是可以帮助判断哪个选项是正确答案。

因此选项B正确

本节有配套视频,请在“视频栏”中寻找!