权威榜单入心中,
健康科普人人晓!
想知道更多健康知识?
一起来看
第242期湖北省健康类微信影响力排行榜
↓↓↓
重磅
湖北省健康类
微信影响力排行榜
由 湖北省卫生健康委员会 发布, 中山大学公共卫生学院 、 南方医科大学卫生政策与医院管理研究所、广东省卫生统计学会 权威顶级数据分析专家提供学术支持的湖北省卫生健康系统微信影响力指数排行榜今日推出 第242期 , 本排行榜将以 每周1期 的频率进行更新,欢迎大家关注!本次榜单统计的样本量为湖北省卫生健康系统成员微信公众号共330个,统计时段为2023年3月27日至2023年4月2日发布的推文,统计截至2023年4月7日0时。

总榜 本周总榜有升有降,小有波澜!“ 湖北省疾病预防控制中心 ”一举夺魁!“甲流”是甲型流感的简称,是由甲型流感病毒感染引起的急性呼吸道传染病。→→ 甲流来了,学生家长和学校该如何防控? “健康湖北 ”排名稍有下降,但风头不减!说话不完整、不爱与他人互动、经常无故大哭或大叫、有自残行为……→→ 发病率1/45!孩子有这些表现,一定要就医! “ 武汉协和医院 ”冲击榜单,夺得三甲席位!青春期的健康成长,一直是家长最为关注的问题之一。→→ 胸部发育≠性早熟,判断还要看……

政务类周榜 本周政务榜有升有降,小有波澜。“ 湖北省疾病预防控制中心 ”排名上升,可喜可贺!当下年轻人的现状是不是这样:“哎呀,这周都吃了三次炸鸡了,听说吃多了致癌哦~~啧,真香……”“火锅的油好重哦,今天的步又白跑了……哎呀黄喉好新鲜……”→→ 这4大主食热量超高,难怪有人越减越肥! “ 健康湖北 ”本周表现有所下滑,但依然是杠杠滴拿下亚军!大家都知道,不仅小朋友睡觉会流口水,成年人也会,不过想必很少有人在意过。可是你知道吗?睡觉经常流口水可能是疾病发出的警告!→→ 别再无所谓啦!睡觉流口水也许是这4种疾病的警告→ “ 鄂州疾控 ”依然稳重,保持第三!3月25日晚,中疾控官网发布《全国新型冠状病毒感染疫情情况》。→→ 4例首次发现!中疾控:新发现34例本土重点关注变异株

医院类周榜
本周医院榜稳步迈进,亮点纷纷!“ 武汉协和医院 ”沉寂一期,再登榜首!腰痛、贫血、肾功能不全、高钙血症、反复感染却找不到原因,这都可能是血液系统出了问题。说到血液病,很多人会联想到白血病,但另一种血液病的发病率现已超过白血病,为血液系统的第二大常见肿瘤,它就是——多发性骨髓瘤。→→ 首诊难发现!这些小病可能是骨髓瘤前兆 “ 华中科技大学同济医院 ”本周上升一名,拿下第二!人身上大大小小的血管连起来约有10万公里,血管将血液、氧及营养输送到人体的各个部位。血管健不健康直接与心肌梗死、脑卒中、颈动脉狭窄、动脉瘤、血栓栓塞等疾病有很大的关联。→→ 人与血管同寿,45岁后尤其要关注血管健康 “ 武汉儿童医院武汉市妇幼保健院 ”本周稍有下滑,仅拿到第三!才不到两岁的男娃,摔了一跤后,竟然“口歪眼斜”手脚不能动弹了→→ 因为一个动作,1岁毛毛竟然“中风”了!

下期榜单将在下周重磅公布,
更多精彩,敬请期待!
榜单解读
01 平台权威 湖北省卫生健康系统是以系统发展为目标,不断提高卫生健康系统内新媒体运维水平,通过发布排行榜推动全省卫生健康系统建设!推动卫生健康事业健康发展! 02 数据来源可靠 榜单数据来自湖北省卫生健康系统,共330个已授权公众号,范围涵盖了政务类、医院类、个人类等近10类公众号。保证了数据的丰富性、全面性。 03 学术支持权威 数据团队由中山大学公共卫生学院、南方医科大学卫生政策与医院管理研究所和广东省卫生统计学会的国内外顶级专家学者组成,运用最前沿的数据分析技术,全方位打造微信健康类排行榜。数据团队在考虑各维度数据后,通过一系列复杂严谨的公式推导出的具体指数,健康榜WCI较其他指标而言更能权威地反映微信公众号的整体传播力和影响力。 04 测算方式实时更新,结果精准 排行榜WCI公式解读
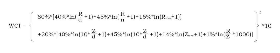
健康榜指数 参照清博WCI(微信传播指数),在传播指数的基础上,更有针对性地考虑健康类公众号的指标权重,将指标分为一级指标和二级指标,重点考量发布内容的健康性、阅读量和点贊量,同时依据公众号“周发布文章频率”对WCI进行权重调整,以更好反映健康类微信公众号的传播能力。
1 当阅读数>1000时:

2 当阅读数≤1000时:

3 指标解析
其中, R 为评估时间段内所有文章(n)的 阅读总数 ; Z 为评估时间段内所有文章(n)的 点贊总数 ; d 为评估时间段所含 天数 (一般周取7天,月度取30天,年度取365天,其他自定义时间段以真实天数计算); n 为评估时间段内账号 所发文章数 ; Rmax 和 Zmax 为评估时间段内账号所发文章的 最高阅读数 和 最高点赞数 。
4 权重
根据各种指标的权重,我们可以计算出二级指标在总体指标中的权重,更直观地看出 影响WCI数值大小的直接影响因素 。如图所示:

来源:湖北省卫生健康宣教中心
编辑:欧桂欢
责编:熊红梅