当夜晚仰望星空时,浩瀚的宇宙会不会偶尔让心底波澜。在人类对自然科学的追求探索中,宇宙的运行规则从未停下脚步,文明也诞生在这亿万星球之一的地球上。这正是人们在不断探索外太空的理由之一,因为好奇或者难以接受如此浩瀚的宇宙仅仅只有人类,科学家们也一直在苦寻是否存在外星文明的答案。或许我们还未完全理解我们的地球,就谈不上去追寻新的文明存在的与否。几千年来,我们对自己赖以生存的地球的认识更像是物理学这个儿童的成长过程。

地球
从地心说到日心说
最初我们还无法确定地球在宇宙中的位置,在公元2世纪,古希腊学者欧多克斯提出地心说。后经过亚里士多德及托勒密的进一步巩固,更加确定了地心说的观点,认为宇宙的一切天体都是围绕着地球进行公转,宇宙的真正核心也是地球。这不但把地球的位置加入了很多哲学的思想,更是将地球神话了,认为是神安排了人类居住的地方并掌控着宇宙。由于在当时得到了宗教人士的大肆宣扬,地心说也更被越来越多人所接受,可怕的是这种宇宙学体系的说法竟然可以持续达到千年以上。

地心说示意图
但真理终究会被发现,直到1543年,伟大的天文学家哥白尼敢于冒世界之大不韪,彻底*翻推**“地心说”,潜心20年的观测运算之后提出“日心说”的观点。这违背了当时很多人的信仰,因为他们日常生活最直观的感受就是日出东方,日落西方,太阳围绕着地球转显得非常合理。哥白尼的“日心说”提出可以说是冒着生命危险,因为之前有人提出过相似的说法都被活活烧死,哥白尼的“日心说”更像是一场工业革命,然而真理往往就掌握在少数人的手里,后来直到伽利略望远镜的发明更加证明了“日心说”的正确性。

地心说与日心说
地球半径有多少
对地球位置的争论也使得物理学的发展进入快速爆发期,各种对自然的规律的总结说法更像是豁然开朗。但是更让人匪夷所思的是人们还没弄懂地球在宇宙的位置之前以前就测量出了地球的半径。

埃拉托斯特尼
在公元前3世纪。古希腊天文学家埃拉托色尼,他选择了在同一个经线的两座城市,分别是阿斯旺和亚历山大亚里,当夏至日那天到来的时候,选择夏至日是因为当天的太阳光可以直射到照进阿斯旺的一口水井里面。相当于太阳光与阿斯旺的建筑物夹角为0度,这时候在到亚历山大亚里城市选择一个较高的建筑,测量建筑影子与建筑的夹角,那这样就可以算出两座城市经过地心的夹角是多少了,这样说起来感觉比较模糊,画图示意说明下。

地球半径测量
(注释:太阳光与城市A平行(即夏至日照射到井底),那在城市B量出建筑物与影子的夹角θ1就等于阳光穿过地心夹角θ2.那只要知道两座城市距离ΔS,那么通过公式R=Δs/θ)

牛顿大神
地球的半径算是人们最早对地球熟悉的一个参数,但是在物理学中却一直没有应用起来,也就只能做着对半径不断精细的测量优化过程。1685年,伟大的物理学家牛顿提出了万有引力的存在,定义为:
任何物体之间都有相互吸引力,这个力的大小与各个物体的质量成正比例,而与它们之间的距离的平方成反比。

砸向牛顿的苹果
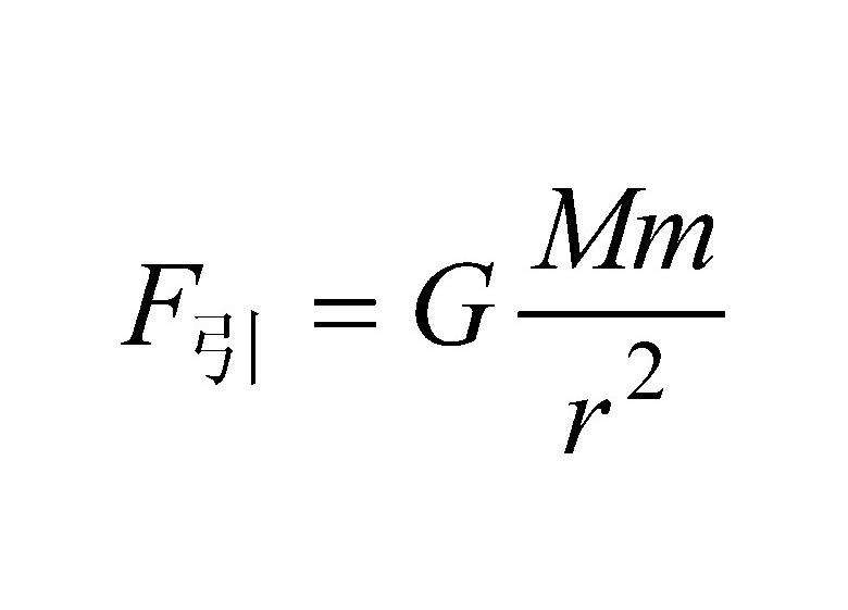
这套理论让人们对天体之间的运行规则有了更进一步的认识,在1687年牛顿才把这个公式公布出来,那就是伟大的万有引力公式

万有引力公式
(M,m两物体质量,r是两物体中心距离,G万有引力常数)
虽然牛顿给出了伟大的万有引力公式,但是事实上对于这个公式人们只知道一个地球半径的值,对于其它的值完全不知道。那为了测量万有引力到底是多大,最主要的要弄清楚万有引力常数。
地球到底有多重?
物理学的发展就是这么神奇充满未知,过了将近百年,物理学界的“富二代”卡文迪许出现。被称为第一个测出地球质量的人,卡文迪许通过把微小形变放大化的实验,测量出了
万有引力常数。那就是著名的卡文迪许扭秤实验。

扭称实验
根据牛顿万有引力认为,任何有质量的物体相互之间都存在引力,那一根上端安装平面镜镜平衡杆两端分别放置质量m的小球,用质量为M的球靠近,当万有引力起作用的时候,光线经过平面镜就会存在偏转角度,通过这种光线角度变化反映出物体相互之间的万有引力。成功测量出万有引力常数G,万有引力常数G=6.67×10-11N·m²/kg²。

卡文迪许
卡文迪许把万有引力公式困扰人类百年的万有引力常数测量出来,在当时的物理学界算是了不起的成就。那为啥测量出万有引力常数就被称为第一个测量出地球质量的人呢?
伽利略时期人们知道地球上的物体都会受到重力作用,而且从高空落下的物体速度会变化,根据这种现象,人们测量出了重力加速度g,在地球上,g 约等于9.8N/Kg, 由牛顿的万有引力算出地球对人的引力即是物体本身受到的重力;

把①公式进行变化得到地球质量M1:

根据公式②,人们至此也把地球的质量通过计算也测量出来了,地球的质量 M= 5.965×10²⁴kg,也就是差不多60万亿亿吨。人类终于第一次掌握了地球的“分量”了! 随着科学发展,人们通过卫星可以测量外太空的天体半径,更可以通过卫星绕行周期测量出质量。万有引力的发现到被最后的精准计算出数值,是人类历史上在物理学上的最伟大一次进步,后来很多人把牛顿的万有引力称为物理学大厦的地基,有了这样稳固的地基才能让物理学大厦稳固耸立云端。

银河系
物理学的发展更像是学术界“大佬”的封神成名之战,在人们对地球的追求探索中,也有曾夸下海口的。可能偶然间的发现足够让自己惊喜忘我。

阿基米德
古希腊科学家阿基米德说出一句流传至今的话:“如果给我一个支点,一根足够长的硬棒,我就能撬动整个地球”。因为他发现了杠杆原理,为了证明这个原理的伟大,就在写给国王的信*特中**意加上了看似异想天开的一句话,成功吸引了当时国王的眼光。杠杆原理规定,只要杠杆的动力臂足够长,用一定大小的力就可以举起任意重的物体。事实上,如果没有万有引力算出地球质量,阿基米德的理想是很难有事实依据的。即使有了地球质量,再去稍微一算,就算给阿基米德一个支点,以地球的质量,那得找多长的一根杠杆才能把他吹的牛逼实现。

撬动地球
人类科学技术的发展离不开物理学家学术理论总结也同样离不开发明家的创造,他们也一直在位物理学大厦的稳固添砖加瓦。虽然人类已经在地球上几百万年,但是我们远没有做到对地球了如指掌。我们一直在地球最表层活动,更未涉足到地球内部,地球作为我们人类目前生活的唯一家园,我们还有很长的路需要摸索前进。或许下一个“科学巨人”能让人类撬动下地球呢!