挚汇可以做到138岁,但跃进只能做到100岁,所以这次只对比到100岁
“不提取”情况下的收益对比
在不提取的情况下,从下方的计划书来看:
1、保单前30年均为安盛【安进Ⅱ跃进】收益更高。
2、直到保单年60年左右两者才会持平。
3、保单年65年之后安盛【挚汇】收益更高
跃进

挚汇

“提取”情况下的收益对比
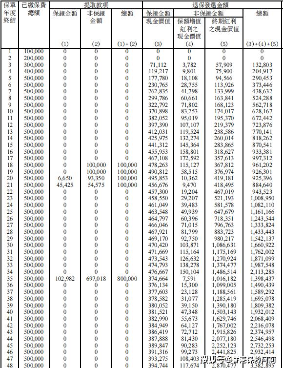
计划书为5年缴,每年交10万美元。
分三次提取,分别是:
·18岁-21岁,4年每年10万美元,共40万美元
·35岁一次性提取80万美元
·60岁-80岁,每年提取10万美元,共210万美元
第一次提取40万美元后:【跃进】账户还剩884,640美元;【挚汇】账户还剩814,486,【跃进】更优!
第二次提取80万美元后:【跃进】账户还剩1398,437美元;【挚汇】账户还剩1404,770,【挚汇】较优!
第三次提取210万美元后:【跃进】账户还剩45,296,828美元;【挚汇】账户还剩44,490,255美元,【跃进】较优!
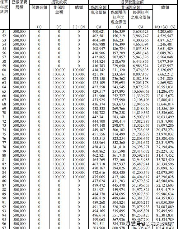
三次提取完后第100年:【跃进】账户还剩130,293,063美元;【挚汇】账户还剩136,991,484美元,【挚汇】更优!
跃进


挚汇


总结
只从收益上来讲,两者相差的并不大,如果非要分个高下,那么前期【跃进】收益会高一些,【挚汇】后期收益会高一些,前期提取金额较大,或者三四十年内就想退保的情况下可选【跃进】,反之可选【挚汇】。
以上转载至香港保险阿莉
现在【安进Ⅱ跃进】再次升级为【丰进】,【丰进】拥有16大权益更优,想了解的评论区留“1”,也可以4信我。