周奇才 陈明阳 熊肖磊 赵 炯
0 引言由于汽车数量的飞速增长和停车位的配建不足,停车问题成为新的社会问题并日益影响着居民的日常生活。立体车库以其高效、快速、占地面积少等特点成为解决停车难问题的重要方式,其中垂直循环式立体车库具有前期投资小、空间利用率高、土地占用少等优点,具有广阔的市场前景和发展空间。垂直循环式立体车库采用链传动驱动托车架旋转来达到存取车目的,托车架的整个运动轨迹呈跑道型。为了更加精确地对外伸板、托车架及相关零部件进行力学分析和强度校核,同时,也为了研究托车架因加速度变化对结构动态效应和噪声的影响,需要分析托车架在运行过程中的加速度变化并计算由此产生的动载效应。
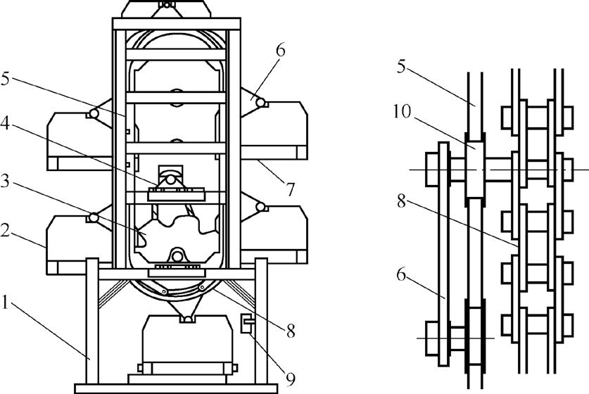
1 垂直循环式立体车库工作原理和托车架运动过程垂直循环式立体车库主要通过在垂直方向托车架做垂直循环运动来实现车辆的存取。而基于标准链的垂直循环式立体车库多采用标准链条实现链传动,并在传动用标准链条上每隔一定距离安装一个托车架,在驱动电机带动下,传动链条带动托车架沿固定轨迹循环运动,达到取车存车的目的。与基于异型链的垂直循环式立体车库相比,基于标准链的垂直循环式立体车库不用单独设计加工链条链轮,加工成本低,设计周期短,后期维护更换链条简单方便。基于标准链的垂直循环式立体车库的基本结构如图1 所示[1]。

1. 钢结构骨架 2. 托车架 3. 传动链轮 4. 传动系统5. 导轨 6. 外伸板 7. 载车底板 8. 传动用标准链条9. 电控系统 10. 滚轮图1 垂直循环式立体车库的基本结构
外伸板的结构形式及其随传动链条的运动过程可以简化为图2 所示过程,其中点A、点B 分别为外伸板的滚轮安装位置,点B 与传动链条的销轴铰接从而随传动链条同步转动,点A 受导轨约束始终沿导轨中心线运动,点C 为外伸板与托车架连接位置,虚线为导轨中心线,同时也是链条的中心线。

图2 外伸板结构形式与运动轨迹简化示意图
具体运动过程可分为四个阶段。阶段1:点A、点B 均位于直线段;阶段2:点B 位于圆弧段,点A 位于直线段;阶段3:点A、点B 均位于圆弧段;阶段4:点B 位于直线段,点A 位于圆弧段。
2 外伸板与托车架连接处动载效应分析设外伸板两铰链即点A、点B 之间距离为l ,点B的线速度为v ,链轮分度圆半径为R ,外伸距离即点C到AB 的垂直距离为l 0。
传动链条采用标准链,链传动本身具有多边形效应,但是采用标准链进行驱动时驱动链轮的齿数较多,其多边形效应可以忽略不计。对驱动链轮进行分析,链轮齿数z =47,竖直方向速度变化率
,点B 线速度变化忽略不计。
2.1 外伸板与托车架连接处加速度以圆弧轨迹圆心为坐标原点建立图3 所示坐标系,取外伸板各点坐标如下:点A(xA, yA),点B (xB, yB ),点C (xc, yc ),则根据外伸板的几何关系可得到方程组


图3 阶段2 外伸板在圆弧过渡区的运动示意图
取点B 对应的转动角度为θ ,不同阶段下点A、点B 的坐标受到以下约束:阶段1


求解一元二次方程并根据几何关系可知应取xC 两个解中较小值,有

阶段2 中点B 进入圆弧段做匀速圆周运动, 即θ =wt ,可知此时xC、yC 均可以表示为时间t 的函数,分别对xC、yC 求二次导数可得x 向分加速度ax 和y 向分加速度ay。同理其他各阶段均可通过不同阶段的约束条件表达为与时间t 的关系式,阶段1:yB=vt - k,k 为常数,阶段3:θ =wt ,阶段4:yB=-vt ,进而将xC、yC 均可以表示为时间t 的函数,然后分别对xC、yC 求二次导数可得x 向分加速度ax 和y 向分加速度ay。2.2 仿真结果比较验证根据实例设计参数计算相应加速度,各参数取值:R =I =I 0=893.5 mm, n =1.36 r/min, v =0.127 m/s, θ =0.142 t。2.2.1 利用Matlab 求导绘制外伸板与托车架连接处C 点加速度曲线 Matlab 具有强大的数学求解能力和绘图能力,利用已得到C 点坐标xC、yC,分别对xC、yC 求 t 的二次导数可得到x 向分加速度ax 和y 向分加速度ay。根据实例设计参数得到点C ,即托车架与外伸板连接处加速度分量随时间变化的情况,如图4 所示。
图4 利用Matlab 得到外伸板与托车架连接处点C 加速度曲线2.2.2 利用Creo 三维模型的运动仿真绘制外伸板与托车架连接处点C 加速度曲线Creo 是美国PTC 公司推出的新型CAD 设计软件包。其中为了方便设计者在电脑上模拟所设计的机械机构,达到在虚拟的环境下模拟现实机械机构运动的目的,Creo Parametric 2.0 中专门开发了“机构”模块实现运动仿真和动态分析。 根据实例建立运动模型并定义约束、电机,进行机构分析并利用测量功能选择点C 进行加速度测量,得到点C 的加速度分量随时间变化情况如图5 和图6 所示。

图5 利用Creo 得到外伸板与托车架连接处点C 的水平加速度曲线

图6 利用Creo 得到外伸板与托车架连接处点C 的竖直加速度曲线
3 结论1)比较Matlab 的求解曲线与Creo 的仿真曲线可以发现对应阶段的相应加速度分量曲线基本吻合,说明此求解方法可进行托车架在运动轨迹圆弧过渡区的动载效应分析。2)托车架整个运行过程中加速度值总体来说较小,实例中最大分加速度值≤ 0.035 m/s2,所以其造成的动载对结构强度影响不大。3)托车架由某一阶段进入下一阶段的瞬间均存在加速度值的突变过程,该过程会造成托车架的摆动,从而引起噪声并造成车辆滑动等安全隐患。所以实际设计过程需要进行一定导引和防护。