
例一

属于正有理数的有:__________________ 属于整数的有:______________________ 属于负分数的有:____________________属于无理数的有:____________________

例二

解:(1)当x<2时,|x−2|=2−x,故答案为:2−x
(2)见答案;
(3)当x<−1时,原式=3x+5<2,
当−1≤x≤1时,原式=−5x−3,−8≤−5x−3≤2,
当x>1时,原式=−3x−5<−8,
则|x−1|−4|x+1|的最大值为2.故答案为:2.
【分析】(1)根据绝对值的意义可得结论;
(2)零点值x=−2和x=4可将全体实数分成不重复且不遗漏的如下3种情况:x<−2、−2≤x<4和x≤4..分该三种情况找出|x+2|+|x−4|的值即可;
(3)分x<−1、−1≤x≤1、x>1分别化简,结合x的取值范围确定代数式值的范围,从而求出代数式的最大值.本题考查了含绝对值的代数式化简问题,注意读懂题目的解答,以及分类思想的运用.

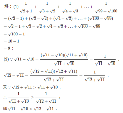
例三

【解析】
(1)根据题目中材料,可以先将所求式子分母有理化,再化简即可解答本题;
(2)根据上面的规律可以比较√11−√10与√12−√11的大小.
本题考查分母有理化、实数大小的比较,解题的关键是明确题意,发现其规律,解答相关问题.

私信关键词:七下知识点
可获得初一数学下册知识点Word电子版资料
1、《垂直100题含解析》
2、《垂线段最短100题含解析》
3、《点到直线的距离150题含解析》
4、《同位角、内错角、同旁内角150题含解析》
5、《平行公理及推论150题含解析》
6、《平行线的判定150题及解析》
7、《平行线的性质150题及解析》
8、《平行线之间的距离150题及解析》
9、《平方根150题及解析》
10、《非负数的性质:算术平方根》150题及解析
11、《立方根》150题及解析
12、《无理数》150题及解析
13、《实数的定义》150题及解析
14、《实数的性质》150题及解析
15、《实数与数轴》150题及解析
16、《实数的大小比较》150题及解析
如何私信我呢?
打开*今条头日**(不是*今条头日**极速版)——点击文章最上面”数学资料分享者”,进入主页——点“私信”就可以了!
