焊接—指通过加热将被焊件达到熔化状态或加压或两法并用,利用原子间的扩散与结合,使两个或两个以上的工件结合到一起的连接方法。
焊接可以用填充材料也可以不用填充材料。
可以适用于金属和非金属的连接。
焊接的优缺点(相对于铆接、铸造、螺钉连接 ):

焊接方法的分类:

应用:熔化焊接工作量巳约占整个锅炉压力容器制造工作量的30%以上,具有强度高、致密性好,工艺成熟可靠,构件材质、厚度适应范围大。
承压类特种设备常用的焊接方法:
手工电弧焊(SMAW):
1、原理:是利用焊条与焊件之间的电弧热,将焊条及部分焊件熔化而形成焊缝的焊接方法。
2、特点:设备简单,便于操作,适用于室内外各种位置的焊接。但效率低,劳动强度大,对焊工技术水平及操作技能要求较高。
3、焊接规范(工艺参数):焊条种类和直径、焊接电流、电弧电压、焊机种类和极性、焊接速度、焊接层数等。

4、种类:
交流电焊机:弧焊变压器。
直流焊机:旋转式直流电焊机、硅整流式直流电焊机、可逆变电焊机等。
5、要求:
能保证电弧稳定燃烧,并在一定的范围内调节焊接电流的大小。设备结构应简单、成本低、效率高、节省电能、噪声小。
6、接法:

7、焊条:
①组成:手工电弧焊焊条主要是由焊芯、药皮(其成分有稳弧剂、造渣剂、造气剂、脱氧剂、合金剂、稀渣剂、粘结剂和增塑剂八种)组成。
②成分作用:
焊芯作用:一是作为电极产生电弧,二是在电弧作用下熔化并作为填充金属与熔化了母材混合形成焊缝。

药皮作用:
一是稳弧作用;二是保护作用,药皮熔化时产生大量气体笼罩着电弧区和熔池,保证熔池及熔融金属与空气隔绝开,药皮熔化后形成的熔渣可防止焊缝表面金属不被氧化并减缓冷却速度,改善焊缝成形;
三是冶金作用,药皮形成熔渣并通过熔渣与熔池中熔化金属的化学化应,以减少氧、硫等有害物质对焊缝金属的危害,使焊缝金属获得符合要求的力学性能;
四是掺合金元素,通过在药皮中加入某些铁合金或纯合金元素,以弥补焊接过程中某些合金元素的烧损,达到提高焊缝金属的力学性能;
五是改善焊接的工艺性能,通过调整药皮成分,可改变药皮的熔点和凝固温度,使焊条末端形成套筒,产生定向气流,有利于熔滴过渡,可适应各种焊接位置的需要 。
③焊条的种类:
A.按用途分:可分为碳钢焊条、低合金钢焊条、不锈钢焊条、铬和铬钼耐热钢焊条、低温钢焊条、堆焊焊条、铝及铝合金焊条、镍及镍合金焊条、铜及铜合金焊条、铸铁焊条和特殊用途焊条等。
B.按药皮形成熔渣的酸碱性分:可分为碱性焊条(熔渣碱性>1.5)和酸性焊条(熔渣碱性<1.5)两大类。
④焊条的应用:
酸性焊条:工艺性能良好,成形美观,对锈、油、水等敏感度不大,抗气孔能力强,但对合金元素烧损较大,氮、氧含量高,不易脱硫磷,熔渣粘性较强,不易脱渣,焊缝金属的力学性能(特别是冲击韧性)较低,故只适用于一般结构件的焊接;
碱性焊条:脱氧、脱硫磷性能好,熔渣流动性好,在冷却过程中渣粘度增加很快(称为“短渣”),.熔敷金属含氢量低,所以又称“低氢焊条”,其形成的焊缝金属抗裂性能好,有较高的力学性能,特别是冲击韧性较高。但在焊接过程中对锈、油、水较敏感,易产生气孔,在深坡口中施焊脱渣性不好,电弧稳定性差,一般只适用于直流电源施焊。碱性焊条多用于焊接重要结构件、高压锅炉和压力容器制造。
8、手工电弧焊的焊接位置及特点

埋弧自动焊(SAW):
1、埋弧自动焊定义:
焊接过程中,主要焊接操作如引燃及熄灭电弧、送进焊条(焊丝)、移动焊条(焊丝)或工件等都由机械自动完成,叫自动电弧焊。
自动电弧焊中,电弧被埋在焊剂层下面燃烧并实施焊接的,叫埋弧自动焊。

2、埋弧自动焊的特点:
A.能采用大的焊接电流,电弧热量集中,熔深大,焊丝可以连续送进而不象焊条那样频繁更换,所以效率比手工焊高5~10倍;
B.焊剂和熔渣能严密包围着焊接区,空气难以入侵,高的焊速可以大大减小热影区范围,同时自动操作使焊接规范参数稳定,焊缝成分均匀,外形光滑美观,焊接质量良好、稳定。
C.热量集中,焊缝金属没有飞溅损失,没有废弃的焊条头,工件厚度小时可以不开坡口,从而节省金属材料和电能。
D.光弧不可见,烟雾少,机械化操作,劳动强度小,劳动条件大大改善。
E.设备复杂昂贵,对工件接头加工与装配要求严格,焊接位置受到一定的限制,一般总是在平焊位置焊接。(缺点)
3、焊接规范:焊接电流、电弧电压、焊接速度、焊丝直径和伸出长度等
4、埋弧自动焊的应用:
常用于焊接长的直线焊缝及大直径圆筒形容器的环焊缝。

氩弧焊(GTAW)(GMAW):
1、氩弧焊定义:是以惰性气体氩气作为保护气体的一种电弧焊接方法 。
2、方法分类:
依照电极是否熔化可分为熔化极氩弧焊(GMAW)和非熔化极氩弧焊(GTAW又称钨极氩弧焊)。

3、氩弧焊特点:
①适于焊接各种钢材、有色金属及合金,焊接质量优良;
②电弧和熔池用气体保护,清晰可见、易控制,便于实现全位置自动化焊接;
③电弧在保护气流压缩下燃烧,热量集中,熔池较小,焊接速度较快,热影响区较小,工件焊接变形较小;
④电弧稳定,飞溅少,焊缝致密性好,成形美观;
⑤成本昂贵,设备和控制系统较复杂,钨极氩弧焊生产效率低,只能焊接薄壁构件(缺点)。
4、焊接规范:焊接电流、电弧电压、焊接速度、焊丝直径、氩气流量、喷嘴直径等。
5、氩弧焊的应用:
钨极氩弧焊适用于工件厚度较小、接头根部质量要求严格的、或是材质对焊接方法有特殊要求的焊接接头的焊接。
钨极氩弧焊时一般采用正接法。
钨极氩弧焊时电流过大会烧损钨极,使焊缝夹钨。

二氧化碳气体保护焊:
1、二氧化碳气体保护焊定义:
以二氧化碳气体作为保护气体的电弧焊接方法,叫二氧化碳气体保护焊。
它是以焊丝作为电极,靠焊丝与工件之间产生的电弧热熔化焊丝和工件,形成焊接接头。
2、特点:成本低、质量好、效率高、操作性能好。
但当采用较大焊接电流时,飞溅大而多,烟雾多,弧光强。焊缝表面成形不够光滑美观,操作不当时,易产生气孔。设备比较复杂。

3、焊接规范:接头及坡口形式、焊材牌号和规格、电弧电压焊接电流和焊接速度、气体流量和使用喷嘴的直径、焊机接法、焊接方向、焊缝层道及顺序安排等。
4、应用:常用于低碳钢、低合金钢压力容器的接头的焊接,如球形容器的现场组焊。

1)焊接接头形式:

2)对接接头坡口形式:

3)对接接头坡口形式的选择原则:
一是要保证焊透;
二是要尽量减少填充接头的焊缝金属;
三是要便于施焊,改善劳动条件,尽量减少在容器内的焊接工作量;
四是要能减少焊接变形量,对较厚的工件应选用沿厚壁开对称的坡口。
压力管道基本采用V型坡口,超高压锅炉压力容器常常采用U型双U型坡口。
4)接头的应用:
①对接接头:将两金属构件位于同一平面内(或曲面内),使其边缘相对,沿边缘直线(或曲线)进行焊接的接头叫对接接头。
主要应用于锅炉压力容器壳体的A、B类焊缝及压力管道对接焊缝。其坡口形式主要有Ⅰ字型、V型、X型、单U型和双U型。
②搭接接头及应用:两块金属构件相叠,而在其端部(或侧面)进行角焊的接头称搭接接头。它是现场大型薄壁常压储罐制造时常选用的一种接头形式。压力容器一般很少采用。
③角接接头和T型接头及应用:
两金属构件成直角或成一定的角度,而在其连接端边缘进行焊接的接头称角接接头,当两构件成T字型焊接在一起的接头称T型接头。锅炉压力容器的平端盖与筒体的连接部位、管板与筒体的连接部位常采用这种接头形式。
常采用的坡口形式有V型、单边V型、U型、K型等。
焊接接头的组成:
1、接头组成:
焊缝(OA)、熔合区(AB)和热影响区(AC)三部分。
2、焊缝(OA):
是构件经焊接后形成的结合部分,通常是由熔化的母材和焊材组成,有时全部由熔化的母材组成。

3、熔合区(AB)和熔合线:
熔合区是焊接接头中焊缝焊材金属与母材金属交界的结合区域,又称不完全熔化区域。熔合区域混合金属与焊缝纯焊材金属分界线称为熔合线。其接头横断面,经3%硝酸酒精溶液腐蚀可显示出焊缝金属轮廓线。

4、热影响区:
焊接接头在焊接或切割过程中,材料因受热的影响(但未熔化)而发生的金相组织和力学性能变化的区域。其区域的宽度与焊接方法、焊接工艺及参数(热输入)、构件厚度等有关。
不同焊接方法热影响区平均尺寸表

焊接接头的组织性能:
1.接头形成过程:焊接接头中,焊缝金属是高温液态冷却至常温固态的。这期间经历了两次结晶过程,即从液相转变为固相的一次结晶过程和在固相状态下发生组织转变的二次结晶过程。
焊缝金属的一次结晶过程如下:
结晶最先发生在熔池中温度最低的熔合线部位,随着熔池温度的降低,晶体逐渐长大,在长大过程中,由于相邻晶体的阻碍,晶体只能向熔池中心生长,从而形成柱状晶,当柱状晶体长大至相互接触时,一次结晶过程即结束。

一次结晶过程中,由于冷却速度快,焊缝金属元素来不及扩散,会产生化学成份分布不均匀现象,这种现象称为—偏析,偏析有可能使焊缝力学性能和耐腐蚀性能不均匀,还有可能产生缺陷,例如热裂纹的产生与偏析有关。
焊缝金属的二次结晶的组织和性能与焊缝的化学成份、冷却速度及焊后热处理有关。
低碳钢和低合金钢在平衡状态下的二次结晶组织是铁素体加少量珠光体,当采用奥氏体不锈钢焊接材料时,则焊缝组织一般为奥氏体加少量铁素体。

2、不易淬火钢(低碳钢和低合金钢)熔合区、热影响区的组织和性能
定义:在一般焊接条件下淬火倾向较小的,如低碳钢和含合金元素很少的低合金钢,称为“不易淬火钢”。含碳量较高或含合金元素较多,在一般焊接条件下淬火倾向较大,称为“易淬火钢”。
①熔合区(不完全熔化区):此区为熔合线附近焊缝金属到母材金属的过渡部分,温度处于固相线和液相线之间,金属处于局部熔化状态,晶粒粗大,组织和化学成分不均匀,冷却后的组织属于过热组织。该区域很小,但对接头的强度、塑性影响较大。熔合区附近是产生裂纹和局部脆性破坏的发源地。
②热影响区:
A.过热区(晶粒粗大区):此区段金属处于1100℃以上,晶粒粗大,冷却后会出现粗大的魏氏组织(铁素体呈针状不规则交叉),使材料塑性和韧性大大降低。
该区域大小取决于焊接方法和焊接规范,焊接速度越快,过热区越小。其力学性能取决于冷却速度,冷却速度提高,过热区强度、硬度则增高,塑性及韧性则降低。

B.正火区(重结晶区):
此区加热温度在Ac3以上至1100℃,此间铁素体和珠光体全部转变为晶粒较小的奥氏体,冷却后得到均匀细小的铁素体和珠光体。该区段相当于热处理正火组织,晶粒细小均匀,既有较高的强度,又有较好的塑性。
C.部分相变区:
此区加热温度范围在Ac1~Ac3之间,在此温度下,珠光体及部分铁素体转变为晶粒较小的奥氏体,另一部分铁素体在升温中晶粒长大成为粗大的铁素体。冷却后,既有经过重结晶的细晶粒铁素体和珠光体,又有晶粒大小极不均的铁素体,其力学性能较差。
3、焊接接头的力学性能评价:
①焊缝:由于焊缝金属的化学成份较合理,二次结晶的晶粒较细,所以焊缝部位的金属具有较好的力学性能,加上余高使焊缝部位受力截面增大(但余高不能增加整个接头的强度),故焊缝不是接头力学性能薄弱部位。
②熔合区:熔合区是结构和应力不连续的部位,是应力集中严重区段、是产生裂纹和局部脆性破坏的发源地,是接头最薄弱部位。
③热影响区:此区段是晶粒粗大且不均匀,易出现粗大的魏氏组织,力学性能较差,又是结构和应力不连续的部位,是应力集中严重区段,其薄弱程度仅次于熔合区。
焊接应力及变形的概念及分类:
1、定义:在焊接过程中,工件受电弧热的不均匀加热而产生的内应力及变形是暂时的。当工件冷却后,仍然保留在工件内部的内应力及变形叫着残余内应力及残余变形。我们所说的焊接应力及变形就是指的焊接的残余内应力和焊接的残余变形。
2、分类:
1)焊接应力的分类
引起的原因:热应力、组织应力;
存在的时间:瞬时应力、残余应力;
作用的方向:纵向应力、横向应力;
空间的方向:单向应力、两向应力、三向应力。
2)焊接变形的分类
大体可分为:纵向变形、横向变形、弯曲变形、角变形、波浪变形及扭曲变形等。

3、焊接应力及变形的特点
1)使焊接产品质量下降,甚至会因无法补救而不得不报废;
2)焊接裂缝的产生与焊接应力有密切关系。
3)焊缝中的残余应力还会影响承压类特种设备的使用性能,应力较大的部位会发生应力腐蚀或疲劳裂纹。
4)一般情况下,焊接变形对焊接质量是不利的,但是若掌握了变形的机理与规律,便可控制并利用它,例如,利用反变形来校正变形。
焊接变形和应力是由许多因素同时作用造成的。其中最主要的因素有:
(1)焊件上温度分布不均匀;
(2)熔敷金属的收缩;
(3)焊接接头金属组织转变;
(4)工件的刚性约束;
(5)焊接变形和应力还与焊接方法及焊接工艺参数有关。
1、控制内应力的基本要点:
(1)使焊件上热量尽量均匀;
(2)尽量减少对焊缝自由收缩的限制。
2、通常采用的工艺措施:
1)合理的装配与焊接顺序
主要是在装配和施焊的顺序安排上尽量使焊缝能比较自由的收缩。
2)焊前预热
预热既能减少工件各部位的温差,又能减缓冷却速度,所以是降低焊接残余应力的有力措施之一。
预热可局部预热或整体预热。对刚性大、厚度大的工件,应整体预热,这样降低残余应力的效果更佳。
3)合理设计焊接结构形式,
例如:对称布置焊缝、避免封闭焊缝等。以及对阻碍焊接接头自由收缩的部位加温,使之与焊缝同步伸缩,这种方法称为“减应法”。
4.消除焊接应力的方法
1.热处理法:焊后热处理是消除残余应力的有效方法,也是广泛采用的方法。它可分为整体热处理和局部热处理。一般是将被焊工件加热到A1线以下,保温均温,再缓慢冷却,以达到残余应力消除。如Q235B、16MnR材料焊后热处理的温度一般选为625±25℃。 2.机械法:用机械的方法施加外力使冷却后的焊缝金属产生延展,以达到消除应力的目的,这种方法叫机械法消除应力。如锤击焊缝;在卷板机上压辗焊缝;对焊接结构实行有控制的过载等都是机械法消除应力的方法。
3.振动法:以低频振动整个构件以达到消除应力的目的。一般钢结构件需要消除应力时常采用 。
锅炉压力容器常用钢材的焊接:
钢材的焊接性:
1、钢材的焊接性:
是指被焊钢材在采用一定的焊接方法、焊接材料、焊接规范参数及结构形式的条件下,获得优质焊接接头的难易程度。焊接性是一个与条件有关的相对概念.
2、焊接性的评价:
一是工艺焊接性,主要是评价接头的抗裂性;
二是使用焊接性,主要是评价接头使用的可靠性,如接头的力学性能(强度、塑性、韧性、硬度以及抗裂纹扩展能力等)和其他特殊性能(耐热、耐腐蚀、耐低温、抗疲劳、抗时效等)。
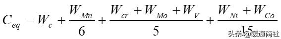
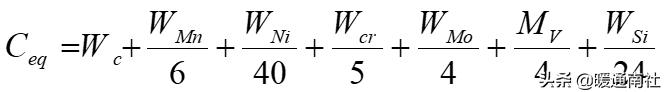
焊接性的估算(碳当量法):
1)钢材的焊接性主要取决于钢材的化学成分,取决于钢中碳及各种合金元素的含量,其中碳对焊接性的影响最大。
2)工程上通常用碳当量Ceq估算钢材的焊接性,即以钢中碳的百分含量为基础,将其他合金元素的百分含量折算成碳的含量,其总和即为钢的碳当量。
3)经验公式:
IIW(国际焊接学会)推荐的公式

英国BS2462推荐的公式:

日本WES-135和JIS-3106推荐的公式:

4)一般经验认为:
当碳当量Ceq<0.4%时,焊接性较好,在一般焊接条件下施焊即可,不必预热焊件;
当碳当量Ceq=0.4%~0.6%时,焊接时需要采取预热等适当的工艺措施。
当碳当量C>0.6%时,难于焊接,需采取较高的焊件预热温度和严格的工艺措施。
5)碳当量法主要是对焊接产生冷裂纹倾向及脆化倾向的一种估算方法,难于全面及准确地衡量钢材的焊接性。钢材焊接性还受钢板厚度、焊后应力条件、氢含量等因素的影响。除估算碳当量外,还应进行焊接性试验,以作为制订合理焊接工艺规范的依据。
控制焊接质量的工艺措施:
1、控制焊接质量的主要措施:
①预热;②控制焊接能量参数;③多层焊多道焊;④紧急后热;⑤焊条烘烤和坡口清洁
2、承压类特种设备焊接工艺:
承压类特种设备使用最多的是低合金高强度钢,其焊接最重要的原则是避免淬硬组织和控制冷裂纹,所采用的措施除了合理选用焊接材料外,主要是控制焊接工艺。增大焊接线能量E和提高预热温度以及采用多道焊工艺措施可减少焊接接头的冷裂倾向、避免硬化组织产生,且有利氢的逸出。焊后消氢处理和焊后消除应力热处理也是改善接头性能的常用方法。此外,焊条的烘烤和坡口的清洁对减少气孔缺陷至关重要。
低碳钢的焊接:
1、承压类特种设备常用低碳钢

2、低碳钢的焊接性
①有较好的塑性,没有淬硬倾向,对焊接加热或冷却不敏感,焊缝及热影响区不易产生裂纹。
②一般焊前不需要预热,但对大厚度构件或在低温环境下焊接,应适当预热。
③平炉镇静钢杂质很少,偏析很小,不易形成低熔点共晶,所以对热裂纹不敏感。沸腾钢中杂质较多,产生热裂纹的可能性大,因而Q235AF的使用受到严格限制,只能用于低压(p≤0.6MPa),小型及普通介质容器。
④焊接工艺不合理时,可能会出现热影响区粗晶现象,且随着温度提高和停留时间的延长,晶粒粗大现象更严重。
⑤可采用交、直流电源,各种位置的焊接,且工艺简单。
3、低碳钢焊接方法:有手工电弧焊、埋弧自动焊、电渣焊、气体保护焊等。
4、低碳钢焊接的工艺措施
(1)当焊件较厚,刚性较大,同时又要求接头的质量较高时,焊后往往要求进行回火处理,以消除焊接应力,改善焊接接头的组织与性能。
(2)在低温下焊接时,特别是焊接厚度大、刚性大的结构时,由于环境温度低、焊接接头焊后冷却速度大,裂纹倾向相应增大,所以焊前应预热。如低碳钢管道焊接时,在-20℃下施焊,管厚小于16mm可以不预热;管厚大于16mm则要求预热100~200℃。
(3)电渣焊焊后必须进行正火处理,以改善焊接接头的组织和性能。保证焊接质量。
低合金钢的焊接:
1、低合金钢的材料特点
低合金钢具有较高的强度,较好的塑性与韧性,工艺性能也较好,特别是强度比低碳钢高得多,因而在承压类特种设备制造中得到广泛的应用。
2、常用低合金钢及其碳当量

钢材的强度等级越高,碳当量越大,可焊性越差。
3、低合金钢的焊接特点
①热影响区有淬硬倾向,易出现脆性马氏体,硬度明显提高,塑性和韧性降低。其淬硬倾向程度取决于构件材质和结构,焊接方法及规范参数,构件预热温度和环境温度。
②易产生焊接冷裂纹。冷裂纹具有延迟性,是焊接接头焊后冷却到300℃至室温范围所产生的裂纹。随着构件材质强度等级的提高,其产生冷裂纹的倾向也增大。通常是出现在热影响区、焊缝根部和焊趾处。冷裂纹发生机率一是取决于热影响区的氢含量,二是取决于热影响区的淬硬程度,三是取决于接头刚度和焊接应力的大小。
奥氏体不锈钢的焊接:
1、奥氏体不锈钢的焊接性
奥氏体不锈钢的焊接性较好,一般不需要采取特殊的工艺措施。焊接工艺选择不合理时,会出现晶间腐蚀及热裂纹等缺陷。
2、晶间腐蚀
①晶间腐蚀原因分析:不锈钢在450~850℃的范围内停留(焊接必然过程),钢中的碳会向奥氏体晶界扩散,并在晶界处与铬化合析出碳化铬,使晶间附近成为“贫铬区”而产生晶间腐蚀。大多出现在接头热影响区及熔合区的表面。

②防止和减少晶间腐蚀的措施:
a.使焊缝形成双相组织。将铁素体形成元素铬、硅、钼、铝加入焊缝中,使焊缝形成奥氏体加铁素体的双相组织。
b.严格控制含碳量。采用含碳量为0.02%-0.03%的超低碳焊接材料和基本金属。
c.添加稳定剂。在钢材和焊接材料中加入能够形成更稳定的碳化物(与碳化铬相比)的元素,如钛、铌等。
d.进行焊后热处理。焊后可加热到1050~1100℃进行固溶处理,也可加热到850~900℃进行稳定化退火,此时奥氏体晶粒内的铬扩散到晶间,使晶间含铬量上升,贫铬区消失,因而可防止晶间腐蚀。
e.采用正确的焊接工艺。如采用小电流、大焊速、短弧、多层焊、强制冷却等。
3、热裂纹
①热裂纹原因分析:主要是由于奥氏体不锈钢焊缝中枝晶方向性很强,枝晶间有低熔点杂质的偏析,加之奥氏体不锈钢导热系数小(仅为低碳钢的1/2),而膨胀系数比低碳钢大50%左右,使焊缝区产生较大的温差和收缩内应力,所以焊缝中易产生热裂纹。

②防止热裂纹措施
a.在焊缝中加入形成铁素体的元素,使焊缝形成奥氏体加铁素体双相组织。
b.减少母材和焊缝的含碳量。碳是增大热裂倾向的重要元素,所以降低母材和焊缝的含碳量可以有效地防止热裂纹。在必要时,可以采用超低碳奥氏体不锈钢材和焊接材料。
c.严格控制焊接规范。减小熔合比,采用碱性焊条,强迫冷却等,是奥氏体不锈钢焊接中预防热裂裂纹主要工艺措施。
4、焊接方法
奥氏体不锈钢可用手工电弧焊、氩弧焊、埋弧自动焊、等离子焊等方法焊接。
本文来源于互联网,作者:薛振林,陆志春。暖通南社整理编辑。