第1章 电路模型和电路定律
1.1 复习笔记
电路是指将电气设备和电器元件根据功能要求按一定方式连接起来而构成的集合体。而把实际的电路经过理想化、抽象化和集总假设后而得到的理想化电路称为电路模型。
一、电压和电流的参考方向
因为,电流和电压都是标量,电流和电压的实际方向可能是未知的,也可能是随时间变动的,所以,有必要指定电流和电压的参考方向。
1电流的参考方向
电流的参考方向可以任意指定。分析电路时,若参考方向(见实线箭头)与实际方向(见虚线箭头)一致,则i>0,如图1-1-1(a)所示;反之i<0,如图1-1-1(b)所示。
表示方法:一般用箭头表示,也可以用双下标表示,如iAB表示电流参考方向是由A到B。

图1-1-1 电流的参考方向
2电压的参考方向
电压的参考方向也可以任意指定。分析电路时,若参考方向与实际方向一致,则u>0,如图1-1-2(a)所示;反之u<0,如图1-1-2(b)所示。
表示方法:用正极性(+)表示高电位,负极性(-)表示低电位,而正极指向负极的方向就是电压的参考方向,也可以用双下标表示,如uAB表示电压参考方向是由A到B。

图1-1-2 电压的参考方向
3关联参考方向
对于一个元件或支路来说:如果指定元件的电流的参考方向是从电压参考极性的“+”指向“-”,即两者的参考方向一致,则把电流和电压的这种参考方向称为关联参考方向;反之称为非关联参考方向。如图1-1-3所示,对A而言,u和i为非关联方向;对B而言,u和i为关联方向。

图1-1-3 关联参考方向的定义
二、电功率和能量
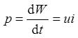
1功率:

其中,电路元件功率的计算公式如表1-1-1所示。功率的性质:
①在关联参考方向下,若p=ui>0,则元件实际吸收功率;若p=ui<0,则元件实际发出功率。
②在非关联参考方向下,若p=ui>0,则元件实际发出功率;若p=ui<0,则元件实际吸收功率。
功率守恒:∑P=0(∑P吸=∑P发)
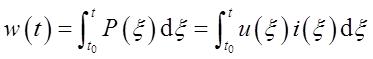
2电能:

表1-1-1 电路元件功率的计算公式

三、电路元件、电阻元件、电压源和电流源、受控电源
电阻元件、电源元件和受控电源元件是常用的电路元件。电路元件可分为无源元件及有源元件两大类。
1无源元件及其伏安特性
表1-1-2 无源元件及其伏安特性

当前位置:首页>电子书(题库)>理工类>经典教材>电子信息类

请百度搜索“方才学习网”,主页检索获取完整版详情与更多考试资料、最新报考消息!
相关推荐:
- 邱关源《电路》(第5版)全套资料【教材+笔记+题库】
- 邱关源《电路》(第5版)配套题库【名校考研真题+课后习题+章节题库+模拟试题】(下册)
- 邱关源《电路》(第5版)配套题库【名校考研真题+课后习题+章节题库+模拟试题】(上册)
- 邱关源《电路》(第5版)网授精讲班【教材精讲+考研真题串讲】
全国574所院校考研真题,模拟题,笔记,视频讲解,疫情期间公共课白嫖~