
你必须警惕的,正是那些最简单的假设。因为这些假设最有可能神不知鬼不觉地蒙混过关。———庞加莱
庞加莱

越来越多的个人投身于数学的研究和教学,这意味着再也不能挑选出少数几个突出的人物,代表某个时期数学发展的状况,一个人再也找不到一条清晰的路径穿过壮阔而鲜活的数学风景。事实上,当高斯在1855年去世的时候,人们普遍认为,数学领域再也不会有这样的通才了———精通数学的所有分支,无论是纯数学还是应用数学。打那之后,如果说有人证明了这个观点是错的,那么,这个人就是庞加莱,因为他把整个数学作为自己的领域。
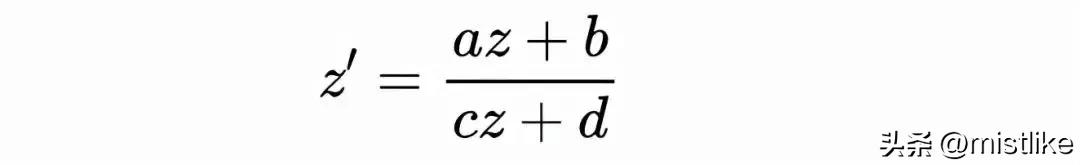
庞加莱的博士论文是论述微分方程(不是论述解法,而是论述存在定理),这导致了他对数学的最著名的贡献———自守函数的属性;事实上,他是自守函数理论实际上的创立者。一个复变量为z的自守函数f(z)是一个这样的函数:它在域D内是解析的(除了极点之外),在线性分式变换

的可数无限群下是不变的。这样的函数是三角函数和椭圆函数的一般化。埃尔米特针对有限制的实例研究过这种变换,在这样的实例中,系数a、b、c、d是整数,且ad-bc=1,并发现了一类在这些变换下不变的椭圆模函数。庞加莱的一般化揭示了一个更加宽泛的函数类别,被称作泽塔富克斯函数,庞加莱证明,这种函数可以用来解有代数系数的二次线性微分方程。
这只是庞加莱对微分方程理论所做出的很多重要贡献的开始。这一课题就像一根红线一样贯穿了他的大多数作品。庞加莱在一篇他自己的作品的提要中评论道,自微积分创立以来,分析学家面对了三个主要问题: 代数方程的解,代数微分的求积,以及微分方程的求积 。他注意到,在所有这三种情况下,历史表明,要想取得成功,并不在于试图把它们简化为更简单问题的传统努力,而在正面进攻解的性质。这是解决伽罗华提出的代数问题的关键。在第二种情况下,对代数微分的攻克,几十年来被那些不再试图向基本函数化简、而是利用新的超越函数的人成功实现了。庞加莱确信,类似的方法,对于解微分方程中先前遇到的那些难以对付的问题,将会有所帮助。
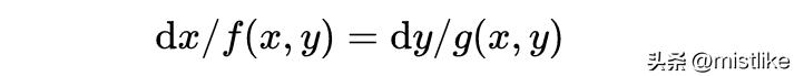
这一观点已经出现在他的博士论文中。这篇论文的标题是《论偏微分方程所定义的函数的属性》。他在19世纪80年代初期发表一系列论文中致力于解决这个主要的问题,着手提供解法的定性描述。他首先处理一般方程:

式中f和g都是实多项式。为了处理无穷分支的问题,他把xy平面投射到一个球上。在仔细检查他的方程之后,他特别注意到某些点,在这些点上多项式消失了。利用布里奥和布凯在柯西的基础上所作的分类,即把这样的奇点分为节点、鞍点、焦点和中心点,他得以能够确立解的一般属性,这些解完全取决于某种特殊类型的奇点存在还是不存在。例如,他证实了,类型T(x,y)=C(T是解析的,C是不变的)的传统解只有当没有节点或焦点的时候才会存在。在四篇论文当中的第三篇论文中,庞加莱把他的分析扩大到了形如F(x,y,y')=0(F是个多项式)的高次方程。他通过考量F(x,y,y')=0所定义的曲面来研究这样的方程。设该曲面的亏格是p,焦点数是F,节点数是N,鞍数是S。庞加莱证明了:

庞加莱在探索了这个结果及其他结论之后,继续研究高次方程。尽管不能证实像他对二维所得出的结果那样广泛的一组结果,但他把利用超曲面的技术一般化了,并强化了奇点与超曲面的贝蒂数之间的关系。
在研究微分方程的很多其他成果当中,我们仅援引几例。他最早的成果之一涉及到线性方程和非正则奇点的邻域;在这方面,他提供了把方程展开为渐近级数的一个开拓性的实例。1884年,他转向了在复数域上有固定奇点的一阶微分方程的研究。皮卡在他的二阶方程研究中利用了这一工作。庞加莱在这方面的工作,也是保罗·潘勒韦对有或没有(活动)奇点的非线性二阶方程所作的深度研究的基础。庞加莱后来在常微分方程和偏微分方程领域的工作大多跟物理应用有关,尤其是在天体力学和n体问题中。
数学物理学及其他应用
一位同时代人这样说他:“他是个征服者,不是个殖民者。”他在巴黎大学的讲课每个学年都会讲不同的主题———毛细管作用、弹力、热力学、光学、电学、电报学、宇宙进化论,等等;表述极其精彩,在很多情况下,课堂上讲过之后不久,讲稿就被付梓印行。仅在天文学领域,他就出版了6大卷———《天体力学新方法》和《天体力学教程》。尤为重要的是他解决三体问题及其一般化时所使用的方法。对于宇宙进化论来说,1885年的一篇论文也很重要,在这篇论文中,他证明了,一个梨形,通过一个服从于牛顿引力并绕一根轴匀速旋转的均质流体来呈现,就可以是一个相对均衡的图形,梨形地球的问题至今依然在引发测地学家的兴趣。
有趣的是,庞加莱像拉普拉斯一样,也撰写了大量论述概率的作品。在某些方面,他的工作只是拉普拉斯和19世纪分析学家们的工作的自然继续;但是,庞加莱是双面的,在某种程度上预示了作为20世纪典型特征的对拓扑学的强烈兴趣。拓扑学不是任何一个人的发明,某些拓扑问题在欧拉、莫比乌斯和康托尔的作品中可以找到,就连“拓扑”这个词,也早在1847年被J.B.利斯廷用在一本书的标题《拓扑学概论》中。但作为这门学科开始的日期,最恰当的莫过于1895年,庞加莱在这一年出版了他的《拓扑学》。这本书第一次提供了系统的发展。
拓扑学
拓扑学如今是一个宽泛而重要的数学分支,有许许多多的方面;但它可以细分为两个截然不同的子分支:组合拓扑学和点集拓扑学。庞加莱对后者没有多大的兴趣,1908年,当他在罗马对国际数学家大会致辞时,把康托尔的集合论称作是一种病,后来的几代人会自认为已经治好了这种病。
组合拓扑学研究的是在连续的一一变换下保持不变的空间构型的内在定性方面。它常常被通俗地称作“橡皮几何学”,因为,比方说,一个气球的变形(不刺破或撕破它)就是拓扑变换的实例。例如,一个圆在拓扑上等于一个椭圆;一个空间的维度是一个拓扑不变量,简单多面体的笛卡尔—欧拉数N_0-N_1+N_2也是如此。在庞加莱对拓扑学的原创性贡献当中,包括笛卡尔—欧拉多面体公式针对高维空间的一般化,利用了他所谓的“贝蒂数”,这个名称为的是纪念意大利数学家恩里科·贝蒂。
然而,大多数拓扑处理的是数学中的定性方面,而不是定量方面,但在这方面,它跟19世纪分析学中盛行的风格背道而驰。庞加莱似乎因为试图对微分方程求积定性而把注意力对准组合拓扑学。像黎曼一样,庞加莱也尤其擅长处理拓扑性质的问题,比如找出一个函数的属性,而不操心它的古典意义上的形式表示,因为这两个人都是有着健全判断力的直觉主义者。假如庞加莱对拓扑学的兴趣继续下去的话,他可能抢先对这一数学分支做出更多的贡献,这一领域是20世纪最受青睐、最有成果的研究路线。然而,他那永不停歇的头脑不停地忙于思考世纪之交物理学和数学领域所发生的每一件事情,从电磁波和X射线,到量子论和相对论。
庞加莱声称,他接触过的几乎每个问题都把他带向拓扑学。我们在他对微分方程的攻克中已经看到过一个例证。在世纪之交前后的那十年,他发表了一系列关于拓扑学的论文。这些论文成了20世纪组合拓扑学或代数拓扑学的基础。在这方面,他详细阐述了一些源自黎曼和贝蒂的概念,我们在他论述微分方程的作品中已经遇到过这些概念:把一个图形当作n维流形来处理,并考虑连通性的阶。他提出了单纯同调理论的基本定义和定理;他确立了一个流形的基本群与第一贝蒂数之间的关系;他还指出了涉及贝蒂数的进一步的关系。这些论文所包含的一些定理和猜想导致了20世纪拓扑学家后来的很多探索。
希尔伯特

大卫·希尔伯特和伊曼纽尔·康德一样,出生于东普鲁士的哥尼斯堡,但有一点不像康德:他到处旅行,尤其是出席国际数学家大会,这一盛会已经成为20世纪的典型特征。希尔伯特除了在海德堡大学师从分析学家拉扎勒斯·富克斯度过了一个学期之外,多是在哥尼斯堡大学获得了数学训练。这所大学最重要的数学教授是海因里希·韦伯,他曾在戴德金的鼓励下转向了代数和数论中抽象概念的研究。韦伯在19世纪80~90年代为群和域提出了一些最早的定义,是一部著名的、很有影响的三卷本代数学教科书的作者。1883年,韦伯离开了哥尼斯堡大学。他的继任者林德曼刚刚发表了π的超越性证明。林德曼建议希尔伯特以不变量理论作为他博士论文的主题,并鼓励了希尔伯特在这一领域的早期工作。
希尔伯特对不变量的兴趣得到了另外两个人进一步的激励,这两个人在年龄上跟他更接近,他在19世纪80年代跟他们有过大量的交往。其中一位是阿道夫·赫维茨,他曾师从费利克斯·克莱因,并在1884年加入哥尼斯堡大学成为林德曼的同事,另一位是赫尔曼·闵可夫斯基,他在1893年4月(当时他还是个学生)因为一篇论述整数分解为5个平方数之和的论文而获得了巴黎科学院的数学大奖。
不变量理论
希尔伯特在1892年之前主要研究不变量理论;他对这一课题最重要的贡献是在1890和1893年发表的。要理解它们在不变量理论历史中的地位,一个很有用的方法就是读一读希尔伯特自己为1893年的国际数学家大会准备的对这一理论的介绍。
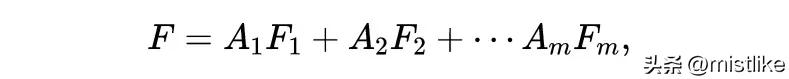
希尔伯特1888年的著名成果被称作“基本定理”。它作为论文《论代数形式理论》的定理1发表在1890年的《数学年刊》上。希尔伯特把一个代数形式定义为一个某些变量的整有理齐次函数,它的系数是某个“有理域”中的数。该定理声称:对于任何有n个变量x1、x2、…,xn的形式所组成的无穷序列S=F1、F1、…Fn,都存在一个数m,使得该序列中的任何一个形式都可以表示为:

式中,A_i是有相同n个变量的形式。希尔伯特把这个结果应用于证明对于任意多个变量的形式所组成的系,存在一个不变量的有限完全系。他在1893年发表的一篇很有影响的论文《论不变量的完全系》中,发展出了解决不变量理论问题的新方法。他强调,这一方法根本上不同于他的前辈们的方法,因为他把代数不变量理论当作代数函数域的一般理论的组成部分来处理。
希尔伯特的《代数数域理论》
在德国数学学会1893年的会议上,希尔伯特和闵可夫斯基被要求为该学会的《年报》撰写一篇关于数论的报告。结果,希尔伯特的作品《代数数域理论》成了一部经典,它通常被称作《数论报告》。闵可夫斯基当时正在埋头撰写《数的几何学》,因此退出了这一计划,不过,他在希尔伯特的手稿上提供了一些关键性的注释,在闵可夫斯基1909年过早去世之前,他对希尔伯特的大多数手稿都做过同样的事情。
希尔伯特在《数论报告》的导论中表达了一个观点,这个观点后来成了他的作品和他的影响的典型特征。这个特征就是强调数学的概念和理论的抽象、算术化和逻辑发展。希尔伯特注意到,对于理解数论的真理来说,只需要极少的先决条件,但要想充分掌握算术概念和证明技术,却需要高度的抽象,于是他表达了这样一种观点:数学的其他所有分支,倘若你想让这些分支经受同样严谨而彻底的研究,则至少需要同样高度的抽象。
他看到了,在他的有生之年,数学的发展都是在数的引导下发生的:据希尔伯特说,戴德金和魏尔斯特拉斯对算术基本概念的定义和康托尔的作品导致了一次“函数理论的算术化”,与此同时,关于非欧几何的现代研究,连同它们对严谨逻辑的发展和数的概念的清晰引入的关注,导致了“几何学的算术化”。希尔伯特在这份报告的主体部分,尝试着提出代数数域的逻辑理论。他把最近的前辈和同时代人的工作纳入到了他包罗广泛的论述中,同时还包括了他自己的一些成果。在19世纪90年代,希尔伯特又对这一课题贡献了几篇论文;这些论文是他在获得各种数域上二次倒数的一般化法则这个方向上最成熟的努力。在进入20世纪之后,除了一个引人注目的例外之外,希尔伯特在数论领域再也没有产生新的成果。
几何学的基础
希尔伯特的工作往往在某个时期集中于一个课题,《数论报告》完成之后他便转向了几何学。1894年,他讲授非欧几何,1898~1899年间他拿出了一本篇幅很小但很有名的著作,题为《几何基础》。这部作品被翻译成了一些主要的语言,对20世纪的数学发挥了强有力的影响。通过对分析学和皮亚诺公理的算术化,大多数数学———除了几何学之外———都有了严格的公理基础。19世纪的几何学前所未有地繁荣兴旺,但主要是在希尔伯特的《几何基础》中,才第一次努力赋予它代数学和分析学中所具有的那种纯形式品格。
诚然,欧几里得的《几何原本》有一个演绎结构,但它充满了隐藏的假设、没有意义的定义以及逻辑上的不完备。希尔伯特懂得,数学中并非所有术语都可以被定义,因此,他开始用3个未定义的对象(点、直线和平面)和6种未定义的关系(在上面、在里面、在之间、全等、平行和连续)来处理几何学。希尔伯特为他的几何学构想了21个假设,用来取代欧几里得的5个公理和5个公设,打那以后,这组假设被称作希尔伯特公理。其中8个涉及到关联,并包括了欧几里得的第一公设,4个涉及次序属性,5个涉及全等,2个涉及连续性(欧几里得没有明确提到的假设),1个是平行公设,本质上相当于欧几里得的第五公设。追随希尔伯特的开拓性工作,其他人又提出了几套可供选择的公理;几何学以及其他数学分支纯形式的演绎品格自20世纪初之后便完全确立了。
希尔伯特通过他的《几何基础》成了“公理学派”的主要倡导者,这一思潮对于塑造当代人的数学看法和数学教育上很有影响。《几何基础》开篇便是一句引自康德的格言:“ 一切人类知识都是从直觉开始,接下来是概念,最后终止于观念 ”,但希尔伯特对几何学的发展证实了与康德截然相反的观点。这本书强调,几何学中任何未定义的术语,都不应该被假设为具有任何超出公理中所表明的属性。直觉—经验层面的古老几何观必须被忽略,点、直线和平面应该仅仅理解为某些给定集合的元素。集合理论,在接管了代数学和分析学之后,如今开始入侵几何学的地盘。同样,未定义的关系应该被视为抽象概念,仅仅表示对应或映射。
希尔伯特问题
对一届国际数学家大会的贡献,最著名的大概莫过于希尔伯特在1900年巴黎举行的第二届大会上所发表演讲。希尔伯特的演讲题为《数学问题》。演讲包括一篇导言,这篇导言后来成了数学修辞的经典,接下来列出了23个问题,打算充当某一类问题的实例,对这类问题的处理将导致这门学科的进一步发展。事实上,在赫维茨和闵可夫斯基的建议下,希尔伯特删减这篇演讲的口头版本,使得它只包含23个问题当中的10个。
尽管希尔伯特反对这样一种观点:只有算术概念才经得起充分严谨的处理。但他承认,柯西、波尔查诺和康托尔对算术连续统的发展是19世纪两项最值得注意的成就之一(另一项成就是高斯、波约和罗巴切夫斯基的非欧几何)。
- 因此,23个问题中的第一个问题就涉及到实数连续统的构建。问题由两个相关部分组成:(1)在一个可数集的基数与连续统的基数之间是否存在一个超限数,(2)数值连续统能否被视为一个良序集?
- 希尔伯特的第二个问题也曾被19世纪严谨时代有所暗示,它问的是:是否能证明算术公理是一致的———即:基于这些公理的有限多个逻辑步骤决不可能导致矛盾的结果。
- 接下来的三个问题,问题三、问题四和问题五,属于那些在实际宣读论文时删去了的问题。问题三是几何问题:给出两个等底等高的四面体,它们不可能分解为全等的四面体,不管是直接全等还是通过邻接全等。正如希尔伯特所指出的那样,这个问题可以追溯到高斯在他的通信中所提出的一个问题。希尔伯特的学生马克斯·德恩在1902年给出了否定的回答,1903年被W.F.卡根清楚阐明了。
- 问题四阐述得有点粗略,它要求这样的几何学:如果保留次序和关联的公理,弱化全等公理,忽略平行公理的等价物,其公理“最接近于”欧几里得的几何学。最早的回答是希尔伯特的另一个学生G.哈默尔在他的博士论文中给出的。
- 问题五被证明更有影响,也更加困难。这个问题是:是否可以避开函数可微性的假设来定义一个连续的变换群。人们把这个问题跟早期的拓扑群论紧密联系在一起。李氏连续变换群对于可微运算来说局部是欧氏的。
- 第六个问题是物理学的公理化,希尔伯特本人曾在这个问题上做出过一些努力。问题七问的是:αβ这个数(α是代数数且不是0和1,β是无理代数数)是不是超越数。希尔伯特换用几何的形式,这样问:在一个等腰三角形中,如果顶角与底角的比是无理代数数,则底与一边之比是不是超越数。
- 希尔伯特的第八个问题只不过重提了一个19世纪所熟悉的问题,要求证明黎曼猜想:除了负整零点之外,zeta函数的零点的实数部分全都等于1/2。他觉得,对这个猜想的证明可能导致关于素数对无穷性的猜想的证明;但至今尚没有人给出证明,尽管自黎曼冒险提出这个猜想以来已经过去了一个多世纪。
- 第九个问题要求数论互反律的一般化。第十个问题是丢番图方程的判定问题。第十一个问题要求把针对二次域所获得结果扩大到任意代数域。第十二个问题要求把克罗内克的定理扩大到任意代数域。
- 在这些数论问题之后,紧接着是第十三个问题:要求证明通过两个变量的函数解一般七次方程的不可能性;第十四个问题关于相对整函数系的有限性;第十五个问题要求给出舒伯特的枚举几何的正当理由。
- 第十六个问题是号召发展实代数曲线和曲面的拓扑学;第十七个问题要求用平方数表示具体的形式;第十八个问题对于用全等多面体构建空间提出了挑战;第十九个问题处理的是关于变分问题解法的解析性质。跟这个问题密切相关的是第二十个问题,涉及一般边界问题。第二十一个问题希尔伯特自己在1905年解决了,问的是有一个给定单值群的微分方程的解法。第二十二个问题是均匀化问题,最后一个,也就是第二十三个问题要求扩展变分的方法;最近这些年,人们把这个问题跟最优化问题的研究联系在了一起。
希尔伯特与分析学
希尔伯特的分析学主要围绕积分方程的研究。然而,在他对这一课题做出贡献之前,他首先“复活”了狄利克雷原理。在狄利克雷原理遭到批评之后,人们试图证明其有效性的努力只取得了部分成功。在这方面,最后一次重要的努力是庞加莱在1890年发表的一篇论文,这篇论文包含了他匠心独运的 “扫除”法 。接下来,希尔伯特把它作为变分法中的一个问题来处理,从而就其最一般的形式证实了狄利克雷原理。首先,他概述了极小曲线存在的推定证明;然后,他展示了如何推断出一个最小化对于平面域的狄里克雷区域的函数的存在。紧接着这篇文章之后,美国人W.F.奥斯古德在次年发表了一篇可读性很强的文章,介绍魏尔斯特拉斯对这个问题的评论;1904年,希尔伯特本人在一篇更详细的论文中阐述了他的论证。
正是在这一时期,也就是在1901年,积分方程的问题吸引了希尔伯特的关注。他的一位斯堪的纳维亚学生提交了一篇研讨班报告,这篇报告赖以建立的基础是他在斯德哥尔摩的老师伊瓦尔·弗雷德霍姆在这一领域所做的工作。希尔伯特的成果,最早发表于1904至1910年之间,收集在一本书中,这本书出版于1912年,旨在提出一套线性积分方程的系统理论。他的工作得到了爱尔哈德·施米特的简化。有趣的是,当希尔伯特就这一课题取得的进展中,他的很粗糙的新方法常常会与其他人所完成的精细化和一般化之间的相互作用。事实上,这项工作在今天的巨大价值在于下面这个事实:20世纪很多最重要的观念就来自于它,这些观念对于抽象的线性空间和范围的研究是基础性的。
华林问题与希尔伯特1909年之后的工作
大概是为了放松一下他在积分方程领域有点繁重的工作,希尔伯特在这一时期回到了数论领域,并证明了华林定理:每个正整数都可以表示为最多m个n次幂之和,式中,m是n的函数。这一胜利被他的好友闵可夫斯基在1909年代意外去世给冲淡了,它标志着希尔伯特创作他最关注的纯数学作品的时期的终结。
接下来的10年,希尔伯特的很多时间都花在了数学分析上。随着爱因斯坦广义相对论的发表,希尔伯特便转向了这个课题,他的同事费利克斯·克莱因也专注于这一课题。有趣的是,从这一努力中产生出来的最持久的贡献来自于一个最近忙于研究微分不变式的代数学家。此人就是代数几何学家马克斯·诺特的女儿艾米·诺特,希尔伯特和克莱因设法让她来到了哥廷根大学,作为他们在这项研究中的助手。她的成果出版于1918年;最有名的是“ 诺特定理 ”,至今在对某些不变式与守恒定律之间的一致性的讨论中依然被引用。
希尔伯特在数学物理学领域着手他的研究,希望实现他在1900年所号召的公理化。在处理量子力学的最后一部物理学作品中,他最接近于这个目标。因为到这一时期希尔伯特开始出现严重的健康问题,这项研究是与两个年轻人合作进行的,他们是L.诺德海姆和约翰·冯·诺依曼。
希尔伯特在算术和逻辑学的公理化上付出最后的巨大努力,其主要成果也是以他的继任者们所赋予它们的形式传到了我们手上。它们被收入在包罗广泛的专著《数学基础》和《数理逻辑基础》中,它们更多地因为合著者的名字而被称作希尔伯特—伯奈斯和希尔伯特—阿克曼。