
一个无法表达神的思想的方程,对我而言毫无意义。
——斯里尼瓦瑟·拉马努金

作者 | [英]马库斯·杜·索伊托
来源 | 本文节选自图灵《悠扬的素数:二百年数学绝唱黎曼假设 》, 人民邮电出版社/图灵新知,2019年9月。感谢[遇见数学]编辑排版。
到了 1914 年,拉马努金已经身在剑桥大学了。从此之后,便开始了数学史上最伟大的合作之一。每次提到和拉马努金合作的那段岁月, 哈代总是难以抑制内心的兴奋。他们*情纵**交谈着各自的数学思想,都深深折服于彼此的数学观点,也都为找到一个热爱数字的志趣相投之人而欣喜不已。到了晚年,哈代回忆过往时,总是将与拉马努金合作的那段岁月看作自己生命中最快乐的时光,并将他们的结合形象地描述为生命中最浪漫的事儿。
拉马努金和哈代的合作模式就像一个典型的审讯小组:一个唱红脸,一个唱白脸。唱红脸的那个天性乐观,总是充满奇思妙想;而唱白脸的那个则消极悲观,总是怀疑一切,不断寻找真相。在审问他们共同的“数学嫌犯”时,拉马努金需要哈代批判性的眼光来审视他那些天马行空的想法。
然而,求同存异并非易事,文化冲突也在所难免。哈代和利特尔伍德坚持严格的西方式证明方式,而拉马努金脑海中不时迸现出的新理论,其灵感则源于“娜玛卡尔女神的启示”。这位新同事为何会突然冒出这些想法呢?哈代和利特尔伍德常常苦于找不到答案。哈代评论道:“几乎每天,他都会向我展示一些新理论。要是总想着弄明白他是如何发现诸如此类的理论的,可真伤脑筋啊!”
拉马努金要面对的不止是文化冲击。在一个陌生的世界,他需要独自面对一些陌生的面孔,这令他有些孤独。他找不到什么素食可吃,于是给家里写信要酸角果和椰子油。如果这里没有他钟爱的数学,那么他是不可能适应这里的一切的。内维尔这个他在印度时就信任有加的同事,这样描述他在剑桥大学的那些日子:“在一个陌生的国度生活,使他备受煎熬,内心痛苦不堪。每天要面对一堆叫不上名字的蔬菜,他有些食之无味。鞋子也磨脚,毕竟他已经光脚生活 26 年了。但他天性乐观, 进入数学世界能让他忘却一切烦恼,开始一个人的狂欢。”他失望地扔 掉那双英国鞋,每天穿着拖鞋漫步在校园里。但是,一旦走进哈代的房间,打开笔记本,他就一头扎进那些公式和方程中。哈代的目光也逐渐被拉马努金那些散发着迷人光芒的定理吸引住了。在印度,拉马努金找不到一个可以与之进行数学对话的人。来到剑桥大学后,他又遭遇了文化冲突。但是这都不重要,因为他终于找到了可以和他一起探索数学世界的那个人。
哈代发现,很难让拉马努金做到兼顾直觉和证明。他担心,如果自己过于强调让拉马努金证明他的结论,可能会打击他的自信心,或者使他的灵感之源枯竭。他给利特尔伍德布置了一个任务,就是让拉马努金熟悉现代的严谨数学。但利特尔伍德发现,这是一个不可能完成的任务。无论利特尔伍德费了多少唇舌,向拉马努金介绍所谓严谨数学为何物,拉马努金都会插入一些新观点,使利特尔伍德偏离原有的轨道,不能按计划进行下去。
尽管提出精确的素数统计公式使拉马努金开启了英国之旅,最终使他留名于世的却是他在相关领域做出的贡献。从哈代和利特尔伍德那里,他听到了“素数天生带有恶意”这类悲观的论调。因此,在素数的探索上,他放慢了脚步。人们只能猜测,拉马努金一定是发现了什么, 才使他不像西方人那样对素数充满恐惧。他继续和哈代一起探索素数的相关性质。他和哈代提出的观点,将有助于推动哥德巴赫猜想研究取得突破性进展。哥德巴赫猜想就是每个偶数都能写成两个素数之和。他们历经一番曲折,才首次取得这一进展。但这源于拉马努金秉承的天真想法:必定有精确的公式来描述诸如素数个数这样重要的数列。在他宣布素数公式的信件中,他写道,他相信自己知道如何生成另一个先前未被研究的数列,即划分数(partition number)。
如果要把 块石头分成几组,共有几种可能的方法呢?组数范围是

~。这称作数字 的划分。如下图所示,共有

种可能的划分方法。

给 块石头分组的 种方法
~

的所有数字的划分数如下表所示:

这是 2.1 节出现过的一种数列。它们在现实世界中出现的概率,几乎和斐波那契数列一样频繁。例如,通过降低给定量子系统的能级密度,来理解划分数的变化。
这些数字看起来并不像素数那样是随机分布的。但是哈代时期的数学家们都不约而同地放弃了寻找能生成列表中的这些数字的精确公式。
他们认为可能有这样一个公式,它能生成一个近似值,与

的实际划分数偏差不大。这和利用高斯的公式得出 以内素数个数的近似值如出一辙。但是,拉马努金从不畏惧这类序列。他就是要站出来找到这样一个公式,利用该公式就能轻松得出,给

块石头分组有 种方法,或者给

块石头分数有

种方法。
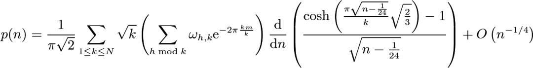
尽管在素数问题上马失前蹄,但拉马努金成功地解决了划分数问题。哈代对复杂问题有着强大的证明能力,而拉马努金则具有天马行空的想象力,坚信必然存在这样一个公式。二者珠联璧合、相得益彰,这促使他们发现了这个公式。拉马努金为什么就那么坚信存在这样一个精确公式呢?任凭利特尔伍德抓耳挠腮、绞尽脑汁,也找不到该问题的答案。看到这个包含 2 的平方根、π、微分、三角函数和虚数的公式时, 人们总忍不住想知道这个公式到底是从哪里冒出来的呢!

利特尔伍德之后这样评价道:“发现这一定理归功于两个人的鼎力合作。二人各有所长,并尽其所能地发挥各自的特长,不吝付出艰苦的努力。”
这个故事历尽曲折。利用哈代和拉马努金的这个复杂公式,得到的不是一个精确的数字,而是一个经过四舍五入后最接近的整数。比如, 将 代入公式,会得到一个最接近整数 的值。因此,这个公式还不错,能估算出正确结果,不过却无法精确捕捉到这些划分数。(不过后来有人发现,对他们的公式稍加改进,就能得到精确答案。)
尽管拉马努金的这种直觉在素数问题上失效了,他和哈代在配分函数(partition function)上的工作却推动了哥德巴赫猜想的解决。面对这个最伟大的数论未解之谜之一,多数数学家早已放弃了破解的念头。多年来,该领域一直毫无进展。早在很多年前,兰道就宣布这是个高不可攀的山峰。
哈代和拉马努金在配分函数上的工作,使他们建立了一种现在称之为哈代—利特尔伍德圆法(Hardy- Littlewood Circle Method)的技术。这个名字源于他们在计算中使用的所有小图表。这些图表描述了虚数地图上的那些圆,而哈代和拉马努金则试图求这些圆的积分。这个方法没有以拉马努金的名字命名,是因为利特尔伍德和哈代首次使用该方法来证明哥德巴赫猜想。他们无法证明所有的偶数都能表示为两个素数之和。但到了 1923 年,他们成功证明了所有足够大的奇数都能写成三个素数之和。这对数学界来说可是个重磅消息。但要想让该结论成立,就必须满足一个条件,那就是黎曼假设是正确的。推测出这一结果,同样是相信黎曼假设会成为黎曼定理的产物。
拉马努金对这一方法的发展可谓功不可没。遗憾的是,他没能活着见证该方法在数学上发挥举足轻重的作用。1917 年,拉马努金的心情愈发黯淡。英国笼罩在第一次世界大战的恐怖阴影中。在三一学院研究员的评选中,拉马努金落选了。由于他的反战言论,他无缘罗素奖金。三一学院也不能容忍拉马努金这种持和平主义立场的人存在。他终于“妥协”了,把脚塞进西方人的鞋子里,穿上长袍,戴上学位帽。这些可能对他来说都变成轻车熟路的事情了,但他那种南印度人的灵魂始终还在。
对拉马努金而言,剑桥大学开始成为监狱一般的存在。拉马努金已经适应了印度那种自由自在的生活。那里气候温和,人们可以长时间在室外活动。而在剑桥大学,他不得不躲在那厚厚的大学墙内,以免受北海吹来的寒风侵袭。而不同的文化背景意味着他除了正式的学术交流之外,与外界没有任何联系。同时他开始意识到,哈代力求严谨,这束缚了他在数学天地中自由驰骋的脚步。
他的精神愈发萎靡不振,身体也每况愈下。三一学院则理解不了拉马努金那套严苛的饮食习惯。在印度生活时,拉马努金已经习惯于在自己记笔记的时候,妻子将食物放到他的手上。对待哈代和利特尔伍德这样的教职工,大学食堂一视同仁。面对高桌上的那些食物,拉马努金完全没有食欲。他简直无法独自在这里生存下去。妻子和家人都远在印度,这令他倍感孤独。营养不良使他可能患上了肺结核。从此他成了疗养院的常客。
拉马努金试图通过思考数学让自己振作起来,但收效甚微。错乱的数学图像总是出现在他的梦境里。他相信自己的腹痛是由黎曼

函数图景上那些无穷无尽的凸起物引起的,在那里他只能眼睁睁地看着那个描述 函数的公式越走越远。难道这是因为触犯了婆罗门那条“不准飘扬过海”的教规而遭到的严厉惩罚吗?还是因为他误解了娜玛卡尔女神的意思?自从他来到剑桥大学后,妻子还没有给他寄过信。他身心饱受煎熬,有些支撑不下去了。
身体稍微恢复的拉马努金,情绪依然十分低落。他失魂落魄地来到伦敦地铁,冲到一列缓缓驶来的列车前,想要以此结束自己的生命。这时,一名警卫冲过来,挡在他身前,叫停了列车,才使他逃过死神的魔爪。在 1917 年,自杀未遂是一种犯罪行为。在哈代的斡旋下,警方撤销了对他的指控。但条件是,他不得不入住位于马特洛克(德比郡的首府)的一家疗养院,接受长达 12 个月的全面医疗监护。
现在,他失去了一切行动自由,甚至连和哈代的日常会面这唯一的乐趣都被剥夺了。“我已经来这儿一周了,”他在信中对哈代说,“无时无刻不处于监控之中。他们向我保证,在我专心研究数学的时候可以给我自由呼吸的空间。那一天却迟迟未能到来,而我却被困在这冰冷刺骨的房间里,一刻也不得动弹。”
哈代发动人脉、多方斡旋,终于将拉马努金转移到了位于伦敦帕特尼的一家私人疗养院。尽管哈代承认,拉马努金是他生命中“唯一的真爱”,但这种友谊与私人情感无干,只关乎数学研究。哈代来看望生病卧床的拉马努金,也没能说出什么像样的安慰的话来。不过,他倒是调侃道,他刚刚乘坐的出租车车牌号

是一个无聊的数字。病榻上的拉马努金一听到数字,立刻两眼放光,精神大振:“不,哈代!不,哈代!这个数字很有意思。在能以两种方式表示为两个数字的立方根之和的数中, 是最小的。”他是对的,这个数字的确可以写成如下形式:

拉马努金终于时来运转,当选为英国皇家学会(英国最负盛名的科研机构)的会士,随即获得了三一学院的研究员职位,走向人生巅峰。哈代在这些选举上享有极大的话语权。这是他向拉马努金致敬的最好方式。但拉马努金的身体健康每况愈下。第一次世界大战(简称一战)结束后,哈代建议拉马努金回家休养一段时间。1920 年 4 月 26 日,拉马努金在马德拉斯逝世,年仅 33 岁。现在一致认为,他是被(由大肠受到变形虫感染而引起的)阿米巴病夺去生命的,这病或许在他去往英国之前就染上了。
尽管拉马努金在素数问题上并无多大建树,但他给哈代的第一封信拉开了二人合作的序幕,在数学史上留下了一段佳话。数学家们发现, 无论何时何地,都会有人站出来,针对这种未知之谜,给出这样或那样的答案。某一新观点的出现,会让某个曾经寂寂无名的人一夜成名,从此活跃在聚光灯下。正如拉马努金教给我们的那样,知识和期望有时候会阻碍进步。传统教育模式下培养出的学术人才,易囿于现状,往往不会轻易打破传统藩篱。说不定某天,就会有另一个包裹出现在某个数学家的书桌上,预示着某位天才的横空出世。这位天才已经磨拳擦掌,准备好实现拉马努金未竟的梦想了——揭开素数的神秘面纱。
拉马努金留下的思想宝藏,值得历代数学家去挖掘。可事实是,直到近些年来,拉马努金这颗“沧海遗珠”才逐渐为人所识。甚至在哈代去世后,拉马努金的公式仍然无人问津,没能发挥出其应有的价值。对于拉马努金的一个猜想,就连哈代本人也曾不屑一顾,在一篇论文里这么评价:“我们似乎陷入了数学的一潭死水中。”多年之后,到了 1978年,皮埃尔·德利涅因证明了拉马努金现今为人所熟知的

猜想而获得菲尔兹奖。这时人们才意识到拉马努金猜想的重要性。拉马努金的拥护者之一,布鲁斯·伯恩特,认为拉马努金与巴赫乃同病相怜之人,后者也曾在去世后多年无人问津。
伯恩特耗尽半生心血,潜心研究拉马努金那些未发表的笔记。他毅然加入这样一群数学家之列,他们都被拉马努金稀奇古怪的公式和方程吸引住了,不惜耗尽半生探寻其奥秘。研究这些笔记的时候,伯恩特就发现了一个记录 1 亿以内素数的奇怪表格。这些素数有的正确,有的则近乎正确,这比拉马努金第一次给哈代的结果要更加精确。但这究竟是如何得出的,已经无从知晓了。
就像他曾经成功得出划分数公式一样,拉马努金真的有办法获得神秘的素数公式吗?拉马努金的笔记中是否还有其他线索呢?1976 年, 这群数学家找到了曾经丢失的一本拉马努金的笔记,其中记录了他的数学新思想,这让他们兴奋不已。这一发现平添了更多的想象空间:除了三一学院档案里收录的资料,以及马德拉斯箱子里收藏的资料,是不是还有很多其他静待挖掘的宝藏,能有力地说明拉马努金为何拥有如此能力来精确地统计素数?
拉马努金的离世对哈代来说是沉重的打击。毕竟在他去世两个月前,哈代还收到了他寄来的一封信,拉马努金在信中以轻松的语气和他谈论数学问题。哈代为失去了这样一位在数学*途征**上的同伴而悲痛不已:“自我们相识以来,他总能冒出一些新想法,这是我源源不断的灵感来源。而他的去世是有史以来对我最大的打击。”
年岁渐长的哈代,深受抑郁症的困扰。他一度以为自己还是个年轻人。如今,自己那日渐苍老的面容让他心生厌恶。每次进入房间,他都坚持把所有能看到的镜子都换掉。更令他深恶痛绝的是,随着年岁渐长,他在数学研究上越来越力不从心了。他在《一个数学家的辩白》一书里,也以触动人心的笔触,描述了一个在职业生涯即将结束时的数学家。要研究数学,数学家一定不能太老。数学上不需要冥想,它需要创造力。一个失去了创造力和创新欲望的人,是不会有多大建树的。这对数学家来说,更是亘古不变的真理。
和之前的拉马努金一样,哈代也曾尝试了结自己的生命,只是他选择自杀的方式是服药而不是卧轨。但他把药又吐了出来,结果成了一场闹剧。*诺斯**曾这样回忆探望生病中的哈代的情景。他自嘲道:“我把事情搞得一团糟。还有人搞出过这么大的乱子吗?”正如他在《一个数学家的辩白》中写的那样,是拉马努金给了他生活下去的勇气:“当我心情沮丧的时候,当我不得不去听那些讨厌鬼的夸夸其谈的时候,我至少能对自己说:‘我做过一件你从没做过的事情,那就是我曾经和利特尔伍德以及拉马努金平起平坐过。’”

悠扬的素数: 二百年数学绝唱黎曼假设
作者:马库斯·杜·索托伊
出版社:人民邮电出版社
出版时间:2019-09
ISBN:9787115516077
(4号开始发货)

传播数学,普及大众
欢迎把我们推荐给你身边的朋友
▼