复合地基是指天然地基在地基处理过程中部分土体得到增强或被置换,或在天然地基中设置加筋材料,加固区是由基体(天然地基土体)和增强体两部分组成的人工地基。
复合地基设计计算的主要内容有:桩体的直径、间距、深度和排列方式的选择;桩体承载力的确定;复合地基承载力的计算;复合地基变形的计算。

1)桩长的选择
对于复合地基中加固体长度的选择,应根据土层分布、工程要求等因素确定,当相对硬层的埋藏深度不大时,应按相对硬层的埋藏深度确定;当相对硬层的埋藏深度较大时,应按建筑物地基的变形量确定;在可液化地基中,桩长应按要求的抗震处理深度确定。桩长一般不宜短于4m。

2)布桩方式的选择
布桩方式主要取决于基础的形式和底面尺寸。桩在基础平面内可以布置成方形、等边三角形等形式,不同的布桩方式,对桩的置换作用是无影响的,但对桩间土的挤密作用有差异。

3)置换率及桩距和桩径的选择
复合地基的面积置换率不仅影响地基处理的加固效果,还对工程造价有很大影响。置换率主要与桩距和桩径有关,因此,计算时可先确定桩的间距和直径,然后再计算置换率;亦可先根据天然土的指标和加固后要达到的复合地基承载力,计算出所需的置换率,然后再换算出相应的桩距和桩径。

4)单桩承载力的计算
A:散体材料柔性桩的单桩承载力计算
散体材料柔性桩的破坏是以膨胀破坏为主要模式,其桩体单位截面积承载力标准值fP,k可按下式计算:

式中:fP,k为桩体单位截面积承载力标准值(kPa);Cu为天然土不排水抗剪强度(kPa);φP为桩体的内摩擦角;k为安全系数,k=2。
B:水泥土搅拌桩、旋喷桩等半刚性的单桩承载力计算
半刚性桩的破坏是以碎裂破坏和刺入破坏为主要破坏形式,因而单桩承载力标准值Rdk应分别按桩体材料强度和土对桩的支承力计算,并取其中较小值,即:

式中:Rdk为单桩竖向承载力标准值(kPa);fcu,k为与桩身加固配比相同的室内试块的无侧限抗压强度平均值(kPa);AP为桩的平均截面积(m2);UP为桩的平均周长(m);li为桩周第i层土的厚度(m);qsi为桩周第i层土的摩擦力标准值(kPa);qP为桩端天然地基土的承载力标准值(kPa);α为桩端天然地基土承载力折减系数。
5)复合地基承载力计算
复合地基承载力标准值fsP,k宜通过现场复合地基载荷试验确定,也可按下式计算:

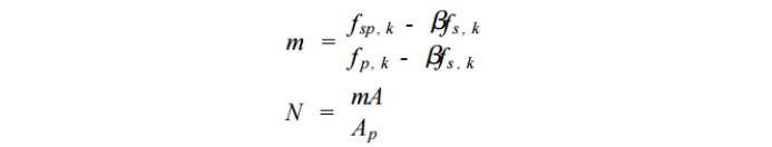
式中:fsP,k为复合地基承载力标准值(kPa);m为面积置换率;β为桩间土承载力折减系数;fs,k为桩间天然地基土承载力标准值(kPa)。
在设计时,可根据要求达到的复合地基承载力,按公式(4)计算复合地基的面积置换率m及总桩数N,即:

式中:A为地基加固面积(m2)。
6)软弱下卧层强度验算
当复合地基下存在软弱下卧层时,除复合地基的承载力应满足设计要求外,尚须对软弱下卧层强度进行验算。其验算方法是将复合地基与软弱下卧层视为双层地基,且桩与桩间土能有效地结合为一体,以应力扩散角方法进行验算,即要求作用在软弱下卧层顶面处的附加压力Pz与复合地基自重压力Pcz之和不大于软弱下卧层的地基承载力faz,即:

软弱下卧层顶面处的附加压力Pz,可按下式压力扩散角的方法进行简化计算:
▌条形基础:

▌矩形基础:

软弱下卧层顶面处的复合地基自重压力Pcz为:Pcz=γP(d+z)
式中:b为矩行基础或条形基础底面的宽度(m);l为矩形基础底面的长度(m);pk为相应于荷载效应标准组合时,基底平均压力设计值(kPa);pc为基础底面处土的自重压力(kPa);z为基础底面至软弱下卧层顶面的距离(m);θ为复合地基压力扩散角;γp为复合地基平均重度(kN/m3);d为基础埋深(m)。
7)复合地基的变形计算
复合地基的变形量s包括复合土层的压缩变形量s1和桩端以下未处理土层的压缩变形量s2,即:s=s1+s2
对于复合土层的压缩变形量s1可按下式计算:

式中:po为基础底面附加压力(kPa);l为加固桩体的实际桩长(mm);Esp为复合土层的压缩模量(MPa)。复合土层的压缩模量Esp可采用置换率加权的方法进行计算:

Ep为桩体的压缩模量(MPa),对于搅拌桩,可取Ep=(100~120)fcu,k;Es为桩间土的压缩模量(MPa),可用天然地基的压缩模量代替。
对于桩端下固土层的压缩变形量s2,可用分层总和法按下式计算:

式中:s为按分层总和法计算出的沉降量(mm);Ψ为沉降计算经验系数;n为地基沉降计算深度范围内所划分的土层数;Esi为加固桩群体底面下第i层土的压缩模量(MPa);zi、zi-1为加固桩群体底面处分别至第i层土和第i-1层土底面的距离(m);α€i、α€i-1为加固桩群体底面处分别至第i层和第i-1层土底面的平均附加应力系数。