一、二次根式的乘法法则
1.两个二次根式相乘,把被开方数相乘,根指数不变.
2.公式推广:


题型一 根据积的算术平方根的限制条件,确定字母的取值范围.
例1.如果成立√x×(x-6)=√x×√x-6,那么 ( )
A.x≥6 B.0≤x≤6 C.x≥0 D.x为任意实数
二、积的算术平方根的性质
1.两个非负数的积的算术平方根等于这两个非负数的算术平方根的积.
2.

3.公式推广:

温馨提示:积的算术平方根的性质中的乘积中的每个因式可以是数,也可以是代数式,但不管怎样都必须满足因数(或因式)都是非负数
易错点一 忽略二次根式乘法法则使用的条件致错.
例2.计算√(-9)×(-25).
正解√(-9)×(-25)=√(9×25)=√9×√25=3×5=15.
错解警示 出错的原因是忽略了二次根式乘法法则成立的条件.等式成立的条件是a≥0,b≥0,而是√(-9)、√(-25)两个没有意义的式子,利用等式时,必须保证在a≥0,b≥0的条件下进行.
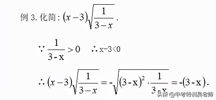
易错点二 把根号外的因式移到根号内时忽略符号致错
例3.

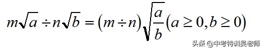
三、二次根式的除法法则
1.两个二次根式相除,把被开方数相除,根指数不变.
2.公式

3.推广:


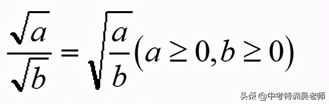
四、商的算术平方根
1.商的算术平方根等于被除式的算术平方根除以除式的算术平方根.
2.数学语言:

五、最简二次根式
1.条件:(1)被开方数不含分母;
(2)被开方数中不含能开得尽方的因数或因式.
2.化简的一般方法:(1)将被开方数中能开得尽方的因数或因式进行开方.
(2)化去根号下的分母:①若被开方数中含有带分数,应先将带分数化成假分数;②若被开方数中含有小数,应先将小数化成分数.
(3)被开方数是多项式时要先进行因式分解.

例4.下列二次根式中,为最简二次根式的是( )
A.√8 B. √1/3 C.√2 D.√0.25
六、次根式的加减
1.二次根式加减时,可以先将二次根式化成最简二次根式,再将被开方数相同的二次根式进行合并.
2.一般步骤:(1)化成最简二次根式;
(2)找出被开方数相同的二次根式;
(3)合并被开方数相同的二次根式——将系数相加减仍作为系数,根指数与被开方数保持不变.
3.识别方法:⑴将二次根式化简为最简二次根式;
⑵观察被开方数,相同的就是能合并的二次根式.
七、二次根式的混合运算
1.概念:二次根式的混合运算是指二次根式的加、减、乘、除、乘方的混合运算.
2.运算顺序:二次根式的混合运算顺序与实数的混合运算顺序一样,先乘方,再乘除,最后加减,有括号的先算括号里的(或先去掉括号).
学以致用
二次根式与乘法公式的应用
例5.计算:

能力提升
1.如果√2=a,√3=b,用含有a、b的式子表示,下列表示正确的是 ( )
A.0.1ab² B.0.1a³b C.0.2ab² D.2ab
2.如图,一只电子蚂蚁在数轴上爬行,爬到表示(√5/5)×(-5)的点处,则该点可能是下列点中的 ( )

A.点E B.点F C.点P D.点Q
3.星期天,晓琪的妈妈和张琪做了一个小游戏,晓琪的妈妈说:“你现在学习了二次根式,若x表示√10的整数部分,y表示它的小数部分,我这个钱包里的钱(单位:元)是(√10+x)y的整数部分,你猜一下这个钱包里的钱有多少?若猜对了,钱包里的钱就由你支配.”请你帮晓琪获得对这些钱的支配权.
4.

5.观察下列式子:

A.110 B.164 C.179 D.181
6.

7.观察下列等式:

按上述规律,回答以下问题:
(1)请写出第n个等式:an= ;
(2)a1+a2+a3+…+an= .
8.

A.24 B.±2√6 C.2√6 D.2√5
9.是否存在正整数a、b(a<b),使其满足√a+√b=√1404?若存在,试求出a、b的值;若不存在,请说明理由.

