银行*款贷**有多种还款方式,其中 “等额本息” 是常见方式之一,但是其利息计算方法因为涉及多次幂运算,容易把普通人绕晕,今天就把公式整理出来,供大家不时之需。
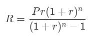
假设*款贷**本金为P,月息为r(也就是年息除以12),期数为n(例如3年就是36期),每月还款额是R,那么公式如下:
1. 月还款额:

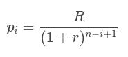
2. 第 i 期应还本金:

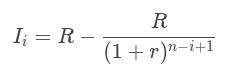
3. 第 i 期应还利息:

例如*款贷**本金10万,月息0.005(5厘),36期(3年),那么:
1. 月还款额:

2. 第5期应还本金:

3. 第5期应还利息:

按几下计算器就出来了。
如果你想了解原理,只要能理解等比数列求和公式(初中数学)就没有问题,找时间再罗嗦。