电气百科:高压变频器相关应用技术论文

高压变频器在焦炉除尘风机中的应用
本文着重介绍国产高压变频器在某公司的应用情况,变频器现场运行情况表明焦化行业采用国产高压变频器对焦炉除尘风机进行调速节能,改造是成功的,节能效果明显。节电率在70%以上,全年节省电费在80万左右。
1.前言
某公司1#2#3#炉原配有一套除尘系统,设备运行参数为:630KW/10KV离心引风机,风机型号为DAY-1A-210。额定风量250000m3/h,额定风压5500Pa,额定转速960r/min;电动机型号YKK5004-6电机额定功率是630KW电机额定电流是46.1A额定转速是960r/min,功率因数0.86,系统为液力耦合器控制。
1.1 液力耦合器的工作原理
液力耦合器是一种以液体为工作介质,利用液体传递能量的传动装置,通过改变液力耦合器工作腔内的充满度,就可以改变液力耦合器所传递的转矩和输出轴的转速,使液力耦合器电机端和风机端转速不一致,从而再电机不改变速度的条件下对风机进行调速,实现调节风量的目的。
1.2 液力耦合器调速的不足
由于液力耦合器在调节过程中要产生转擦功率损耗,容积损耗,机械损耗,这些损耗所产生的热量需要大量的冷却介质来冷却,而液力耦合器的传动效率等于转速,速度越低效率越低,液力耦合器的节能效果不理想,以上因素决定液力耦合器效率低损耗大,调速精度低,速度响应慢,转速不稳定,需配备相应的油系统调节系统,浪费能源。
2.高压变频器节电原理,技术要求及改造方案
2.1 节电原理
所谓节能不仅是节省能耗,还包括不浪费能源,通过流体力学的定律可知,风机、泵类、设备均属于平方转矩负载,其转速n及流量Q压力H以及轴功率P具有以下关系:
Q∝n,H∝n2,P∝n3,在实际生产中,往往利用调节风机的转速来调节系统的风量,而随着转速的降低,风机在维持效率不变的状况下,轴功率则转速的立方关系下降,电机消耗的电能急剧减小,例如风量下降到80%,转速也下降到80%,轴功率则下降到额定功率的51%,风量下降到50%,轴功率则下降到额定功率的13%,其节电潜力非常大。
2.2 技术要求
除尘风机室除尘净化系统的动力中枢,一旦除尘不能正常进行,不但影响生产,造成巨大的经济损失,还污染环境,另外调速系统工作环境比较恶劣,同时焦炉又不定时装煤和推焦,所以和除尘风机配套的调速系统要求极高的可靠性,基于以上工作特点,对变频调速系统的主要要求如下:
(1)要求变频器要有高的可靠性
(2)要求变频器要有旁路功能
(3)调速范围大,效率要高
(4)具有逻辑控制能力
2.3 改造方案
针对原有设备运行情况,根据电机额定参数选有北京乐普四方方圆科技股份公司自主研发和生产适合驱动高压异步电机的变频设备LPH-10-650,额定输出电流47A,适配电机功率650KW,配备一台手动旁路柜,当变频器出现故障或需要检修时,手动切换到旁路,保证系统正常运行,旁路与上级高压断路器有连锁关系,旁路柜隔离开关未合到位,不允许上级高压断路器合闸,上级高压断路器合闸时,绝对不允许操作隔离开关,防止拉弧现象,确保安全。
K0为变频器供电的高压真空断路器,K1,K2为高压变频器控制真空断路器,K3为工频旁路断路器,K4为水阻柜控制断路器,M为保留原异步电机,K5为水阻控制断路器。
2.4 除尘风机工艺要求
2.4 除尘风机工艺要求
A点为推焦时给定信号;
A到B为风机升速时间,定为5s可以调节;
C到D为推焦时间,定为20s,可以调节;
F点回到低速运行,完成一个工作周期。
假如两个炉推焦重叠,在高速1的基础上跳转到高速2。
高速1的转速为780转/分,高速2的转速为840转/分,低速时的转速为290转/分。
2.5 施工注意事项
施工图设计时需要注意以下几个方面:在提出土建资料时,必须参考产品的详细资料,根据变频器的安装尺寸、荷载、电缆路径等提出合适、合理的土建资料,隔离变压器,应尽量靠经变频器布置,同时在布置室内外电缆沟或桥架时,尽量让变频器的进出线电缆使用单独的路径,特别是要避开控制及信号电缆,这样可尽量减少变频器工作时产生的电磁干扰。在进行电气室布置时,必须考虑高压变频器的工作环境问题。由于变频器是电子装置,内含电解电容、电路板、芯片等电子元件,如果环境温度太高或含尘量太大都会影响其寿命及稳定性。所以尽可能设置单独的变频器室,同时进行散热及防尘处理。
2.6 保护功能
变频装置有过电压,过电流,欠电压,缺相,变频器过载,变频器过热,电机过载等保护功能。
(1)过载保护。电机额定电流的120%,每10min允许1min,超过则保护。
(2)过流保护。电机额定电流的150%,超过则立即保护。变频器输出电流超过电机额定电流的200%,在10μs内保护。
(3)过压保护。检测每个功率模块的直流母线电压,如果超过额定电压的115%,则变频器保护。
(4)欠压保护:检测每个功率模块的直流母线电压。
(5)过热保护:包括两重保护:在变频调速系统,如果低于设定的数值,则变频器先降压再保护。另外,在主要的发热元件,即整流变压器和电力电子功率器件上放置温度检测,一旦超过极限温度就保护。
(6)缺相保护:缺相保护设置在每一个功率模块上。当变频器输入侧掉相或功率模块的保险熔芯熔化时,会发出报警信号并保护。
3.具体实现过程
采用高压变频调速系统对除尘风机进行高压变频改造具体实现过程如下:变频器操作采用自动控制,风机电机提速信号取自五大车连锁的推焦信号,电机空载时290转/分,加载时780转/分,如果两座焦炉同时推焦速度跳转到840转/分,由原来的980转/分降到空载时290转/分,推焦时780转/分,实现全自动化。 4.设备运行情况
(1)运行稳定,安全可靠。
(2)节能效果显着,大大降低了吨焦电耗。
(3)电动机实现了真正的软启动、软停运,变频器提供给电机的无谐波干扰的正弦波电流,降低了电机的故障次数。
(4)变频器自身保护功能完善,同原来继电保护比较,保护功能更多,更灵敏,大大加强了对电机的保护。
(5)变频器同现场信号无缝接口,满足生产的需要,现场信号接入灵活,变频器按照节点的状态自动高速、低速往复运行。
(6)适应电网电压波动能力强,有时电网电压高达10.7KV,变频器仍能正常运行。
(7)同液力偶合器比较,在加速期间大大减少了噪声,削弱了噪声污染。
4.节能分析
4.1 正常生产时1#2#3#炉每天出炉186炉,推焦时间为:40S
加载功耗时:40*186=7440S
所占时间比为:7440/(24*3600)*100%=8.6%
空载时间比为:1-8.6%=91.4%
4.2 改造前(根据改造前记录的数据,空载电流为:16A,推焦时为:23A,功率因数为:0.86,计算收费为:0.5371元/千瓦时)
P1=1.732*10*0.86*(23*8.6%+16*91.4%)=247.3KW,
全年电费为:
247.3*24*365*0.5371=1163545元
4.3 改造后(根据改造后记录的数据,空载电流为:3A,推焦时为:9A,功率因数为:0.96,计算收费为:0.5371元/千瓦时):P变=1.732*10*0.96*(9*8.6%+3*91.4%)=58.5KW
节能装置本身损耗为:4KW
共计为:58.5KW+4KW=62.5KW
全年电费为:
62.5*24*365*0.5371=294062元
4.4 节电率
(P1-P变)/P1=(247.3-62.5)/247.3 *100%=74%
年节约电费为:
1163545-294062=869483
5.结论
综上所述,某公司的节能的潜力还比较大,特别是在某些环保节能设备的应用,改变了过去粉尘虽然减排了,但耗能和运行费用浪费了太多,造成企业的减排负担过重的现象,为以后企业的下一步节能工作,提供了思路。(论文网)
高压变频器在风机泵类应用技术方案探讨
风机泵类高压辅机采用变频调速技术实现节能运行是我国节能的一项重点推广技术。目前,国内外厂家生产的高压变频器已在各工矿企业引风机、送风机、一次风机、排风机、给水泵、凝泵等风机泵类设备上投入运行,取得了较好的节能效果,最直接的是厂用电量明显降低。但是,运行中轴承、动叶产生裂纹,变频工频切换失败,变压器或模块过热跳闸等异常情况时有发生,给企业安全生产、经济效益带来不利影响。为此,把相关问题提出来进行探讨,希望对高压变频器节能技术的经济、安全、成熟、标准化应用起到积极的作用。
二、经济性、安全性分析
考虑高压变频器节能应用时,最先关心的就是经济性、安全性,没有节能效果或节能效果不明显,以及没有安全运行保障,基本打动不了决策层的心。
高压变频器节能应用的经济性分析,应根据企业实际情况进行科学的、量化的、综合的分析,防止出现简单的统计就得出节能效果很好,很快回收投资甚至产生很大经济效益的结论。其实,变频器本身并不是一个节能设备,相反,它是一个耗能设备(设计值5%左右)。变频器是一个方便而精准的调速设备,在风机与泵类辅机的调节上,它的节能量较大,但静调风机的静叶全开,节能效果就未必最好。有人反驳说,即使满负荷时工频运行的电机供电电流也比同工况同容量电机变频运行的供电电流大许多。这主要是因为选择的电机额定容量大于实际需求的电机功率。
高压变频器的应用,尤其是变频改造项目,在项目策划时要进行严格的安全性评估,对同类型风机或泵类辅机在其他火电厂的应用情况进行收资,了解变频器运行是否发生轴承、动叶裂纹、变频工频切换失败、变频器模块损坏等设备异常,掌握变频器设计、安装、调试及投运考虑的安全问题,需要进行哪些试验,以及日常维护应该怎么做等等。最好,请有资质和能力的科研单位进行相应项目测试及出具评审报告。
高压变频器不是节能应用唯一选择,要通过综合的经济、安全指标分析,来确认高压变频器节能应用是某个具体项目的优先选择。
三、设备选型与国产品牌的发展
了解国产、国际高压变频器品牌、产品、技术现状,满足安全、技术要求的前提下,选择性价比高的国产品牌,为支持鼓励国产品牌发展壮大、走向国际市场贡献力量。我国高压大功率变频器生产厂家,主要有合康变频、东方日立、成都佳灵、中山明阳、广州智光、上海科达、山东风光、九洲电气等。在国家节能政策的鼓励和扶持下,随着科研的进一步深入,理论上和功能上国产高压变频器逐渐可以与进口变频器相媲美,但变频器中使用的功率半导体、驱动电路、电解电容等关键器件完全依赖进口,而且在未来相当长时间内状况不容易改变。在自动化产品结构上相对比较单一,主要是“产品推广”的营销策略,产品发展与销售有一定劣势。
国外主流供应厂商主要有西门子、利德华福(施耐德)、罗宾康、罗克韦尔(AB)及ABB等。以西门子为代表的国外品牌占据大容量和为大型工程配套的高端市场。他们均形成了系列化的产品,几乎所有的产品均具有矢量控制功能,工艺水平也比较完善。品牌厂商多为综合自动化公司,拥有多种自动化产品的品牌关联效应,这种关联还体现在其他资源的共享上,这样的“品牌推广”对产品发展、销售都有很好的推动作用。
虽然,国外品牌在元器件质量、超大功率产品上优势比较大,也应该看到国产品牌通过技术自主化研究与应用,差距逐渐缩小。而且,国产品牌价格优势巨大,性价比高。另外,国产品牌在设备异常分析、故障处理、备品备件采购、技术培训等方面的方便快捷也是应该考虑的因素。决策层的思维不能停留在选择国际大品牌高端产品就不会负什么责任的行为上。
四、变频器与电动机连接方式选择
变频器与电动机连接方式主要有以下几种。
(1)-拖一固定连接,见图1:
(2)-拖一旁路连接,见图2:
(3)-拖二旁路连接,见图3:
其中,带旁路的接线方式又分手动切换和自动切换方式。如图二就是手动切换旁路的接线方式,-QS1、-QS2、-QS3均为隔离闸刀。将隔离闸刀换成高压断路器就可以实现自动切换旁路运行。
接线方式的选择取决于高压电动机在系统中的运行方式。如火电厂一台机组安装两台凝结水泵,正常一台运行,一台备用,就可以选择一拖二手动切换旁路的接线方式,一台变频运行,另一台工频备用,变频器故障时,凝结水系统切换到备用泵工频运行。而引风机就不同,机组正常运行两台引风机同时运行,一般选择一拖一自动切换旁路的接线方式,这样正常两台引风机均变频运行,任一台引风机变频器故障时,本台引风机自动切至旁路工频运行,保证引风机运行。
五、继电保护配置方案探讨
目前,国内外高压变频器厂家对变频器、变压器本身提供的保护配置基本一致,按照《DLT994-2006火电厂风机水泵用高压变频器》系统集成和技术要求,主要有输入瞬态过电压保护、输入工频过电压保护、欠电压保护、输入过电流保护、输出瞬态过电压保护、输出过电压保护、输出过电流保护、输出短路保护、输出电压三相不平衡保护、输出电流三相不平衡保护、变压器超温保护、冷却系统故障保护,以及控制系统故障保护等。
从用户的角度出发,希望电力科研设计单位、相关院校及设备厂家能重视高压变频器+电动机系统继电保护配置问题,在以下两个方案中给出明确的结论:一是开关柜综合保护只作为高压电缆的主保护及变频器和电动机的后备保护,变压器和电动机由变频器自带保护实现主保护功能,但必须满足灵敏度要求。二是研发“频率跟踪智能式变频运行自适应”保护装置,保护装置能自动跟踪变频器两侧电源幅值、频率、相角变化并自动平衡补偿,经模拟运算把不同电源还原为理论相同电源,从而采用差动保护;保护范围涵盖从开关柜到电动机、包括变频器、隔离变压器及变频器两侧电缆等电动机的全回路;工频变频运行无需切换完全自适应。
六、共振、扭振损坏设备如何避免
变频调速应用后,电动机和负载的运行频率不再固定为工频50HZ,可以是从0~50HZ的任意一点,电动机输入电流是变频器输出的包含高次谐波分量的综合电流。电动机及负载轴系、叶片共振,轴系扭振损坏设备的现象时有发生,如图4、图5。
如何避免呢?分析原因,明确措施
(1)轴系或支撑系统径向共振
由电机和负载工频离心力激励,且运行在轴系或支撑系统共振频率时所致。
此类振动机理简单(与汽轮发电机组运行于其临界转速相当)、现象明显、处理容易。
措施:变频器投运前做共振频率测试试验,设置频率跳跃区域避开共振频率。
(2)轴系扭转共振
由PWM制式变频器输出电流引起的基波动扭矩激励。此类振动机理较复杂、现场因无监测而现象不明显,原先对定速运行影响不明显的因素开始对变速工况下的振动状态表现得非常敏感。
措施:运行人员应特别注意电机及负载的振动问题,如有异常应及时汇报并进行参数分析,同时检修人员也必须更加注意大小修对设备的检查处理。
(3)动叶共振
由PWM制式变频器输出电流引起的6X谐波动扭矩激励。此类振动机理较复杂、现场无任何现象(风机调频运行中凡运行可监视参数都正常,等到故障造成叶片断裂引发电机和负载振动大时才会被发现)。其激励源为变频器输出的电流高次谐波(6n次),其最主要成分频率为风机变频运行转速对应频率(转频)与电机磁极对数的乘积再乘以6,其频率范围为100。300Hz。其作用机理为:谐波电流引起风机轴系发生1∞~300Hz的小幅扭振,这种扭振因幅值较小对轴系没有明显影响,但会与动叶的固有频率合拍而引起其共振,并在较短时间内(变频运行1~3个月)使叶片产生裂纹最终破坏。
措施:在变频运行一个月时进行停机动叶片裂纹检查,如发现裂纹则必须进行相应改造。定期进行谐波、振动、扭振等参数测试,最好配备在线监测系统进行实时监测。(米尔技术)
高压变频器在循环*水氨**泵节能改造中应用
变频调速是近年来兴起的一门成熟的新技术,它通过改变电源频率来实现速度的调节,因其具有调速平稳、瞬态稳定性高、节能等特性,越来越被人们所重视。随着变频调速技术的不断成熟,变频调速装置在水泵设备上的应用也越来越广泛。
1、循环*水氨**泵工况特点及存在问题
1.1、循环*水氨**泵工况特点
净化分厂一期两台循环*水氨**泵,一用一备,泵组是将循环*水氨**打入集气管为荒煤气进行初步冷却,控制荒煤气温度为75~80度之后送入初冷器,根据荒煤气量的大小应及时调节循环*水氨**量。
1.2、工频运行存在问题:
两台循环*水氨**泵电机均为工频运行,启动电流高,既影响设备寿命又对电网产生很大冲击。而且工频运行耗电量高,不能随生产负荷自动调节,不符合现代企业“节能降耗”的管理理念。
循环*水氨**泵工频运行,流量及压力只能通过旁通阀及出口阀调节,但调节负荷有限。在今2012年年初,结焦时间较长,荒煤气量少,循环*水氨**流量无法进一步降低,导致荒煤气温度极低,曾降至40度(工艺要求控制温度为75~80度),使得荒煤气管道内焦油*水氨**混合液流动性极差,存在堵塞荒煤气管道的隐患。由此可见,荒煤气温度是至关重要的指标,如果控制不当,整个净化系统都将处于瘫痪状态。
原设循环*水氨**泵为工频运行,只能由操作工调节泵出口阀门及循环管阀门开度来控制循环*水氨**压力和流量。如果循环*水氨**量发生变化,岗位人员又不能及时调节,将会导致循环水泵压力过高或过低。如果压力过高,会造成泵机封、电机烧损;如果压力过低,会导致荒煤气温度无法控制、集合温度超标,造成初冷、电捕以及煤气净化系统的严重堵塞。
2、改造方案
循环*水氨**泵组是保证焦化厂煤气系统正常运行的重要设备,必须保证连续、稳定、可靠运行。经过详细的技术和经济论证,决定采用高压变频调速装置,通过变频调速调节电机转速满足工艺要求
高压变频调速系统采用功率单元串联技术直接输出10KV电压,属高一高电压源型变频器,高压变频器调速成套系统整体结构由旁路柜、变压器柜、单元柜及控制柜组成,系统采用一用一备两台泵双路电源,一拖二手动旁路的方案,基本原理图如图下
双电源手动切换柜一次原理图
此系统由高压开关1QF、2QF、双电源手动切换柜(由高压隔离开关QS1—QS6组成)、高压变频器、两台高压电机组成,其中双电源手动切换柜和高压变频器由投标方提供。
说明:①其中QS2、QS3是双刀双投隔离开关,QS5、QS6也是双刀双投隔离开关;实现自然机械互锁②QS1和QS4不能同时闭合,实现电气闭锁;QS2和QS5不能同时闭合,实现电气闭锁;③变频器故障时,联跳相应的高压开关,柜子的柜门都有高压闭锁,高压电上电后,柜门就会被电磁锁自动锁死,除非用专用的钥匙,不能打开柜门。
3、运行可靠性分析
经过多次调试,实现变频器控制电机转速随循环*水氨**泵出口压力的变化而改变,即减少了电量消耗,又降低了电机的噪音,改造效果非常明显:①节电效果显着,电机定子电流从15A降至6A,每天节约电量为3500度左右。②电机的转速下降,电机和泵运行状况明显改善,延长了设备的使用寿命,降低了设备的维修费用。③采用变频调速技术后,由于泵出口阀全开,消除了阀门因节流而产生的噪声,改善了工作环境 ;④电机的加速和减速可根据工艺要求自动调节,控制精度高,即保证可生产指标稳定,又降低了工人的工作量。 ⑤循环*水氨**压力稳定,避免了压力波动,管道漏点明显减少,降低了检修工作。
4、产生的经济效益
根据以上数据得知每天节约电量为3500度左右,月节约电量为106500度(以30天计算),年节约电量为127.75万度,按照每度电0.48元计算,年节约电费613200元。
5、结语
随着市场竞争日益激烈以及国家对节能减排工作的要求越来越严格,节约能源、降低生产成本、提高竞争力对企业来说尤为重要,该变频器投入近四个月来,循环*水氨**泵的出口阀门全开,运行稳定,减少了阀门截流导致能源损失,节能效果明显,实现了电机的软启动,延长了电机、泵及其附属设备的使用寿命。实践证明高压变频器在循环*水氨**泵上的应用是非常成功的。(论文网)
高压变频器散热与通风的设计
导读: 高压变频器在正常工作时,热量来源主要是隔离变压器、电抗器、功率单元、控制系统等,其中作为主电路电子开关的功率器件的散热、功率单元的散热设计、及功率柜的散热与通风设计最为重要。
1 引言
在电力、化工、煤矿、冶金等工业生产领域要求高压变频器有极高的可靠性。影响高压变频器的可靠性指标有多项,其中在设计过程中其散热与通风是一个至关重要的环节。目前高压变频器有高-低-高式、元件直接串联式、中点箝位多电平式、单元级联式等多种方式,一般来讲,上述各种方式的高压变频器,其效率一般可达95~97%;但由于设备功率大,一般为mw级,在正常工作时,仍要产生大量的热量。为保证设备的正常工作,把大量的热量散发出去,优化散热与通风方案,进行合理的设计与计算,实现设备的高效散热,对于提高设备的可靠性是十分必要的。
高压变频器在正常工作时,热量来源主要是隔离变压器、电抗器、功率单元、控制系统等,其中作为主电路电子开关的功率器件的散热、功率单元的散热设计、及功率柜的散热与通风设计最为重要。
2 功率器件的散热设计
通常对igbt或igct模块来说,其pn结不得超过125℃,封装外壳为85℃。有研究表明,元器件温度波动超过±20℃,其失效率会增大8倍。功率器件散热设计关乎整个设备的运行安全。
2.1 在进行功率器件散热设计时应注意的事项
(1) 选用耐热性和热稳定性好的元器件和材料,以提高其允许的工作温度;
(2)减小设备(器件)内部的发热量。为此,应多选用微功耗器件,如低耗损型igbt,并在电路设计中尽量减少发热元器件的数量,同时要优化器件的开关频率以减少发热量;
(3) 采用适当的散热方式与用适当的冷却方法,降低环境温度,加快散热速度。
以目前最常见的单元级联式高压变频器为例,对其中一个功率单元为例进行热设计。功率器件采用igbt,其电路如图1所示。
2.2 损耗功率的估算
在设备稳态运行时,功率单元内整流二极管、igbt、续流二极管总的功率损耗即为散热器的耗散功率。因此热设计的第一步就是对上述器件的总功耗进行估算。

图1 功率单元电路图
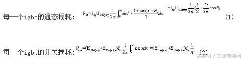
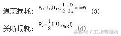
(1) igbt的功率损耗一般包括通态损耗、断态损耗、开通损耗、关断损耗和驱动损耗,在估算时主要考虑通态损耗、开通损耗与关断损耗;

(2) 对续流二极管来讲,主要估算它的通态损耗与关断损耗;

(3) 整流二极管在低频情况下的损耗功率
主要为通态损耗,确定其通态功耗的简便方法是从制造厂给出的通态损耗功率与通态平均电流关系曲线直接查出。
上述功率单元总的功耗为:p=(pss+psw)×4+pd×6 (5)
2.3 稳态下的结温计算
结温的计算是建立在如图2所示的简化热阻等效电路的基础上的。上述功率单元的简化热阻等效电路如图2所示。

图2 igbt的热阻等效电路图
图2中:rθ(j-c)是器件结到管壳基准点稳态热阻,由制造厂家提供,一般在数据表中给出上限值或给出瞬态热阻曲线取t→∞的稳态值;
rθ(c-a)是管壳未通过散热器直接到空气的热阻,通常不考虑;
rθ(c-s)是管壳到散热器的触热阻,通常由制造厂家在数据表中给出;
rθ(c-a)是散热器基准点到环境基准点的热阻,其值由散热器形式、尺寸和冷却方式决定;
ta是环境温度。
(1) 静态热阻

(6)
(2) 瞬态热阻
由于电力电子器件工作在周期性的开关状态,就需考虑其瞬态热阻所造成的结温波动是否超过最大结温。瞬态热阻反映散热途径中热载体的热阻和热容量的综合效果。瞬态热阻抗可由下式求得:

通常处于周期性脉冲功耗负载下的平均和最大结温可以参考厂家所给出的瞬态热阻曲线来计算。如图3示出了eupc型号为bsm400ga120dlc的igbt模块瞬态热阻曲线zthjc=f(t)。

图3 igbt模块瞬态热阻曲线
(3) 稳态下的结温计算
通过上述方法分析得到整个功率单元所有的功率损耗,然后按照下式计算电力电子器件的结温或计算散热器的热阻。

同时在计算热阻时,应考虑到损耗功率的波动与负载的波动;即在考虑结温的平均值的同时,应考虑到其波动的幅度。通常情况下,需保证在给定条件下所出现的最高结温不大于其最大定额150℃,计算稳态结温时考虑留出5℃的裕度。
3 功率单元的散热冷却设计
功率单元中的元器件主要包括整流二极管、igbt
(或igct)模块、电容、快速熔断器、母线开关器件驱动电路以及其它一些保护电路。除二极管整流模块与igbt模块(igct)外,其余元器件由于在功率单元中通过支架等方式安装,在保证足够的空间距离与必要轻微空气的对流的条件,已满足其散热要求。因此功率单元的冷却设计主要考虑二极管整流模块与igbt模块(igct)的散热要求。
功率器件的耗散功率所产生的温升需由散热器来降低,通过散热器增加功率器件的导热和辐射面积、扩张热流以及缓冲导热过渡过程,直接传导或借助于导热介质将热量传递到冷却介质中,如空气、水或水的混合液等。目前在高压变频器中常用到的冷却方式为强制空气冷却、循环水冷却、热管散热器冷却。
3.1 强制空气冷却
强制空气冷却用的散热器通常是一块带有很多叶片的良导热体,散热器热阻(r(s-a))估算公式:

式(9)中:k为散热器热导率;
d和a分别是散热器的厚度和面积,分别以cm和cm2表示;
c是一个与散热器表面和安装角度有关的修正因子。
此式在空气温度不超过45℃时成立。
值得注意的是,散热器的制造工艺会影响到其导热系数,如铸造铝合金、挤压成型或钎焊散热器应区分考虑。同时在选配散热器时应考虑:散热器根部厚度应满足热的传导;翼片的数目与波纹在保证最大散热面积的前提下不至于产生太大的流体阻力;翼片的高度与厚度之间的比例要合理。如要保证散热有较大的裕量,增大散热器的长度是一个较好的选择。
3.2 循环水冷却
高压变频器采用循环水冷却方式可以大大提高散热效率,使得单位功率的体积小,可极大的减小整机的尺寸。与强制空气冷却相比,散热器表面与流体的温差比较小,一方面可以提高功率,另一方面可以降低芯片的温度,提高其寿命。但采用循环水冷却方式需要有水循环与处理设备,增加了设备的复杂程度。采用该方式时,应注意为防止纯水会引起生锈与结冻,一般采用水与醇混合。混合比例会影响到冷却液的热阻,当混合比例为50%时,其热阻一般增大50%。正常情况下应保证水的流速不小于8升/分。
在高温湿热的环境中,由于空气中的相对湿度比较高,当冷却表面的温度低于*点露**时,水冷散热器会引起凝露现象,由此可能造成器件的绝缘破坏。因此水冷式高压变频器对环境要求要高一些。通常水的凝固点为0℃,根据标准要求,额定温差为5℃,因此工作温度不应低于5℃;同时相对湿度≤90%(25℃),相对湿度变化率应≤5%/h。
3.3 热管散热器
热管散热器是采用水或其它传热流体为冷却介质,密封在具有毛细结构的铜管内的沸腾散热器。功率器件产生的热量通过散热器传导给流体,流体汽化后扩散至整个铜管,以散热片散热冷却成水后回流到吸热面。热管散热器具有传热能力强、均温能力优良、热密度可变、无外加设备、工作可靠、结构简单,重量轻、不用维护等优点,一般适用于大功率、分立元件的场合;在一些特殊的生产工况如粉尘比较多的地方(煤矿、焦化厂、部分化工厂)可以采用热管散热器,因为可以做到整个功率变换部分的密闭性。
国内的电力电子变换器行业多年前已采用热管散热器。如df4型电传动内燃机车的电力整流柜改用热管替换原有的纯铝散热器;上海威特力焊接设备制造有限公司在400a以上的逆变焊机中每台都用热管散热器为igbt和二极管散热。但目前还未见到采用热管散热的高压变频器。考虑到上述几种散热方式,热管散热应是首选的考虑。
3.4 其它注意事项
高压变频器无论采用何种冷却方式,器件在散热器上安装时应注意其安装位置。器件在散热器上的布局应注意以下几点:
(1) 散热器的中心位置热阻最小;
(2) 在同一个散热器上安装多个功率器件时,在考虑各个器件发生的损耗情况的基础上,决定安装的位置,对产生大损耗的器件应给予最大的面积;
(3) 安装模块的散热器表面,应注意螺钉位置间的平面度控制在100以内,表面粗糙度控制在10以下,表面如有凹陷会直接导致接触热阻的增加;
(4)为使接触热阻变小,在散热器与功率元件的安装面之间应均匀涂敷散热绝缘混合剂,并施加合适的紧固力矩,使器件外壳对散热器的接触热阻不超过数据手册要求的值。
4 整机的散热与通风设计
高压变频器常风的冷却方式主要为散热器强制风冷、循环水冷却和热管冷却等。因强制风冷方式简单,不存在水冷时的凝露问题,以及热管散热器设计的复杂性,在确定合适的通风结构的情况下,一般采用此种方式。采用强制风冷方式需要在结构设计时考虑散热风道。散热风道的设计应在充分考虑单元散热的要求下,应尽量优化。常见的多电平串联方式的高压变频器,从结构上分为功率柜体、变压器柜、控制柜。功率柜风道设计通常有两种方式:串联风道和并联风道。
4.1 串联风道
串联风道是由每个功率的散热器上下相对,形成上下对应的风道,其特点由上下多个功率单元形成串联的通路,结构简单,风道垂直使得风阻小;但由于空气从下到上存在依次加热的问题,造成上面的功率单元环境温差小,散热效果差。其结构如图4所示。

图4 功率柜风道结构图
4.2 并联风道
并联风道中从每个功率单元的前面进风,对应的进风口并联排列,在后面的风仓中汇总后由风机抽出,同时整个功率柜一般采用冗余的方法,有多个风机并联运行,整体散热效果好,并提高了设备的可靠性。但柜体后面要形成风仓,增大了设备的体积,同时由于各个功率单元后端到风机的距离不同,使得每个功率单元的风流量不一致,在设计时应加以考虑。
4.3 散热风机的选择
整个功率部分采用强制风冷的方式,需保证有足够的具有环境温度的空气源源不断地流经散热器的表面,使散热系统达到某种温度值的热平衡。在稳定的平衡状态下,根据公式:p=h×a×△t,在已确定系统耗散功率p、散热器有效表面积a与散热器表面温度与环境温度差值△t的前提下,吸热介质的对流换热系数h可以求出。美国、日本规定风机噪音不得大于65db,所以他们规定的风速为2~4m/s。因此在考虑风机选择时,应保证电力半导体器件风冷散热器3~6m/s的风速,一般即可保证h能达到要求。
5 结束语
目前高压变频器多采用强制风冷方式,但由于水冷方式和热管散热有体积小、效率高、没有污染等优点,应更新设计理念,大力推广。总之,开发和选择新型高效散热技术对高压变频器进行冷却,是提高设备可靠性和缩小设备体积的一个重要措施。(科技潮人 OFWEEK)
高压变频调速技术在火力发电厂节能中的应用
1、引言
近年来,随着国家节能减排政策的大力推广,火电厂的设备节能改造也开始逐步进行,而风机、水泵作为火电厂数量最多的辅助设备,具有非常显着的节能空间。同时,火电厂装机容量不断加大,导致机组的调峰力度随之增大,机组的负荷在运行周期内也有较大范围的改变,实现风机、水泵流量的实时调节势在必行。目前,我国火电厂大多采用节流阀对风机、水泵的流量进行调节,虽然可实现流量的变化,但并没有根本改变电动机的输出功率,没有达到节能的效果。但电力电子技术和计算机控制技术的快速发展,火电厂风机等辅助设备的节能改造普遍开始采用变频调速装置,取得了令人满意的效果。
2、高压变频调速系统的主要优缺点
2.1主要优点分析
1)调速效率高。高压变频调速系统可使风机、水泵等设备的电动机在运行频率发生改变后仍保持额定转差率基本不变,也就是使电动机维持在改变后频率的同步转速附近运行,这样的好处是电动机的转差损失不变。同时,当速度发生变化时,只有变频装置中产生能量损耗,但电动机的自身损耗及效率会降低,其原因主要是由于高次谐波的影响。
2)调速范围宽。高压变频调速系统的调速范围可达10:1或20:1,可实现频率在50~5Hz或50~2.5Hz范围内的调节,同时在此调速范围内仍能保持系统具有较高的效率,因此低转速状态下运行的负载应用效果更为显着。
3)在变频调速系统发生故障或者有其他经济运行方案需要时,变频装置可停止运行,此时设备的电能将由电网直接供给,这就确保了再系统故障时,风机、水泵等设备的运行不受影响,或者在更为经济的运行条件下,如设备在额定频率范围状态下工作,此时采用节流等方式调节更为经济,这样既保证了整个电力系统的安全可靠,又使得系统的节能效果更为显着。
4)变频调速装置除了可以调节流量外,还可以同时作为电动机的软启动装置使用。
2.2主要缺点分析
1)虽然理论上变频调速系统可适用绝大部分设备的节能改造,但目前在高压大容量传动设备中还不能普遍推广,其主要原因有两个方面:一方面是火电厂装机容量越来越大,与之相适应的辅助机组供电电压可达到3~10kV,但功率开关器件往往不能承受如此高的电压;另一方面是高压大功率变频调速系统无论是设计、生产还是安装运行,都需要较高的技术,其经济成本也较高,而过高的投入将造成设备改造后无法取得实际的经济和节能效益。
2)变频器分为电流型和电压型两种类型,二者的共同点是产生的电流或电压的波形均为高次谐波,因此设备及其供电电源的运行将受到很多负面影响。较典型的表现是,电动机在运行过程中由于高次谐波的影响将产生更多的附加损耗,温升随之增加,进而导致其效率和功率因数均降低、噪声增大等问题。此外,电动机转矩在高次谐波的影响下降发生脉动现象,脉动的频率可用6kf(k=1,2,3…)表示,当次频率与系统的固有频率相近时,将引发变频装置与设备的共振现象。但采用一定的措施是可以使变频器输出的高次谐波有所降低的,如采用PWM变频器或采用多重化技术的电流型和电压型变频器将大大改善装置的输出波形。
3、各种变频调速方式的节能效果比较
风机、水泵的流量调节方式可分为非变速调节和变速调节两大类,各种调速方式的差别主要表现在对转差功率的处理上,即转差功率消耗型(如液力耦合器调速、液力调速离合器调速、电磁转差离合器调速、鼠笼式异步电动机定子调压调速以及绕线式电动机转子串电阻调速)、转差功率回馈型(绕线式异步电动机的串级调速)以及转差功率不变型(变级调速、变频调速、直流电动机调速),第一种属于低效调速方式,后两种属于高效调速方式。高效调速方式的节能效果相差不大,因此本文着重讨论低效调速方式的节能效果的差异。
如上所述,目前我国采用的低效调速方式共有五种,其差别是采用的变频器类型不同,但它们存在一个共同点,也就是各低效调速方式的调速效率等于转速比(ηv=n2/n1=i),但其节能效果仍存在很大差别。
首先,装配了液力耦合器调速和绕线式电动机转子串电阻调速的风机和水泵等设备的电动机在运行时的转速仍然可以达到未改造时的额定转速,因此其节能效果也是最好的。这两种调速方式下的电动机运行转速为额定转速的2/3时将产生最大的转差损失,其值为0.148,也就是在实际运行中,改造设备达到最高转速时所需的轴功率值。
其次,风机和水泵等设备在装配了液力耦合器调速和电磁转差离合器调速时,其电动机在运行时的转速并不能达到额定转速,因此这两种调速方式的节能效果与上述两种相比较低。在这种调速方式下,水泵和风机与变频装置相连接的主动部分与被动部分之间要存在一定的转速差才能正常运行。风机和水泵的最高转速比为,其中为设备运行时的最高转速,液力耦合器的最高转速比in范围为0.97~0.98,以往的电磁转差离合器最高转速比in范围为0.83~0.87,而目前新产品的 范围为in0.94~0.96。与上述两种方式相同,采用这两种方式改造的设备运行时的最大转差损失也产生在2/3额定转速下,此时转差损失最大,可用计算,设备在非额定转速下的转差损失可用表示,由上式可知,在转速比i一定的条件下,in越小则越大。此外,由于采用这两种变频调速方式的设备达不到额定转速,因此要采取措施加大设备的出力,例如加大风机、水泵等设备的额定容量等。
对于调压调速装置,调速线路的晶闸管要产生换流损失,晶闸管换流产生的高次谐波也会影响到电动机的性能。此外调速调压装置通常配置高转子电阻的鼠笼式电动机,它的效率比普通的鼠笼式电动机要低。因此,它是上述低效调速方式中节能效果最差的。
4、结语
高压变频调速技术在火力发电厂节能改造中得到了广泛的应用,取得了良好的效果,火电厂应积极鉴定新方法的有效性,在正确鉴定的基础上合理开发,把高压变频技术变为改进的表帅,为我国节能减排增效政策的实施贡献力量。(论文网)
电气百科,工业网址大全,电气头条,电气论文,电的世界我最懂!