暨南大学日前公布了2022考研报录比。据统计数据显示,2022年共有32706人报考暨南大学,统考计划录取人数3970人,统考报录比为12.14%。
2022年,暨南大学一共录取了5016人,其中推免录取1046人,推免占总录取人数的20.85%
据统计,在今年确认报考暨南大学的考生中,全日制硕士研究生共28565人,非全日制硕士研究生共4141人。确认报考的考生中,男女比例为2:3,应届本科毕业生15989人,约占报考总人数的48.9%。
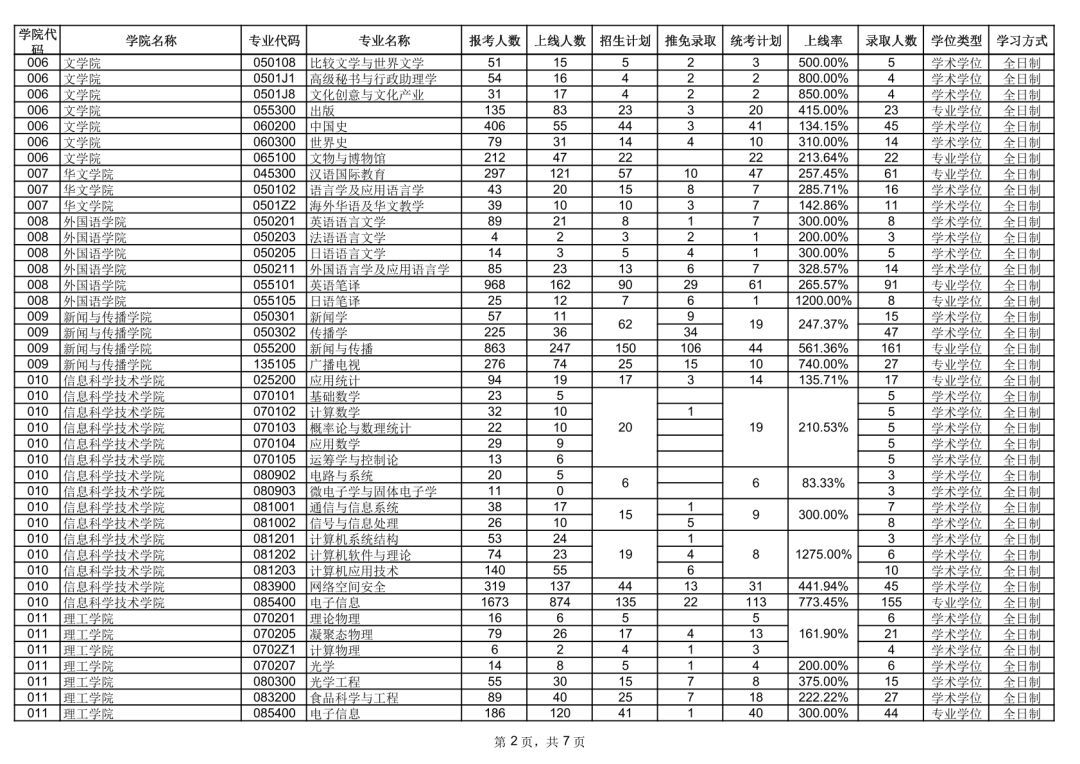
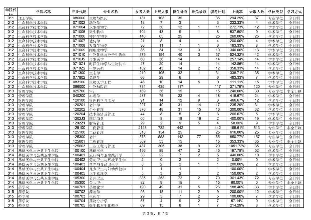
今年暨南大学的热门报考专业为工商管理(2461人)、电子信息(2214人)、公共管理(2158人)、金融(1642人)、英语笔译(968人)、生物与医药(965人)、会计(873人)、新闻与传播(863人)、法律(非法学)(768人)、法律(法学)(733人)、药学(678人)。
2022年暨南大学已接收推荐免试攻读硕士研究生1046人,较去年增加257人。暨南大学考点确认报考人数为9872人,较去年增加了1405人。
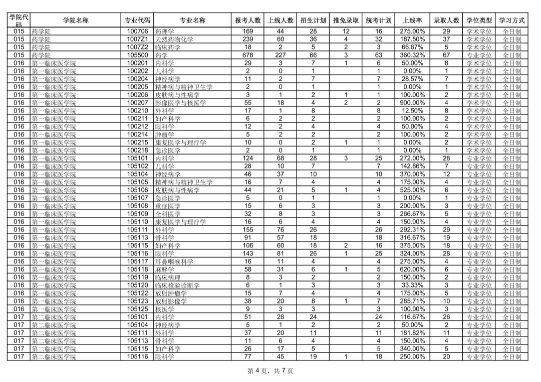
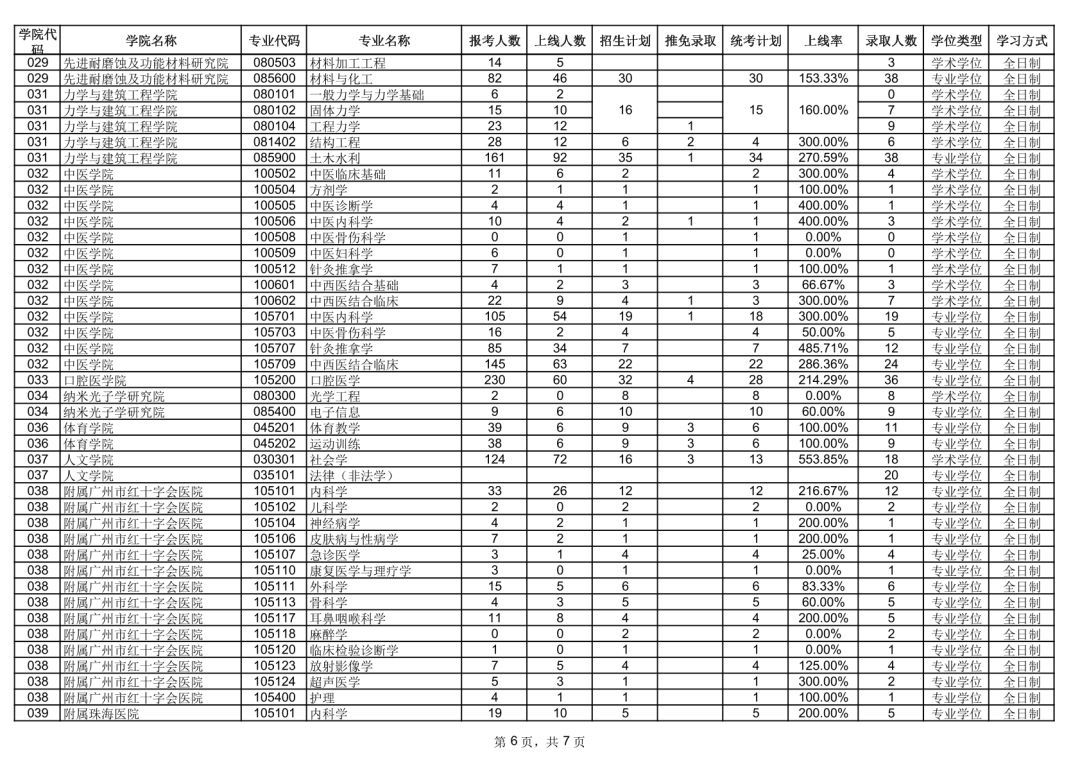
以下为暨南大学2022年报考录取情况:

暨南大学是国家世界一流学科建设高校,211工程、985平台重点建设高校。有国家双一流建设学科1个,国家二级重点学科4个,9个学科进入ESI世界排名前1%。
近几年来,报考硕士研究生的人数呈现逐年递增的趋势,从2015年的1万余人到21年的2.7万人,报考人数翻倍。
比较热门的报考专业是:工商管理、电子信息、公共管理、 金融、英语笔译。
自入选国家“双一流”建设高校和广东省高水平大学重点建设高校以来,学校研究生教育培养条件、培养能力、培养质量以及师资队伍建设都取得一定的进步与发展,学校研究生教育综合实力提升,得到社会的普遍认可,也吸引了更多考生报考暨大。
想了解其他院校专业考研报录比的同学,欢迎私我