为了提高全市驾培机构的培训质量,提升考试合格率,维护道路交通安全,预防和减少道路交通事故的发生,按照公安部139号部令的有关规定和省交警总队的相关要求,榆林市公安局交通警察支队车辆管理所每月按照考试合格率对全市驾培机构培训质量公开排名,并通过车管所公众号向社会公示。
1驾校培训质量统计分析
目前,全市共有驾培机构52所,其中榆阳区16所,神木市9所,靖边县6所,定边县5所,横山县4所,绥德县3所,府谷县4所,米脂县2所,吴堡县、子州县、清涧县各1所。
三月份,全市有36463人次参加驾驶人考试。其中,科目一8861人次、科目二8833人次、科目三18769次(实际道路考试10579人次、安全文明驾驶8190人次)。与上月份参加考试人数相比较减少5022人次,降低了12.11%。

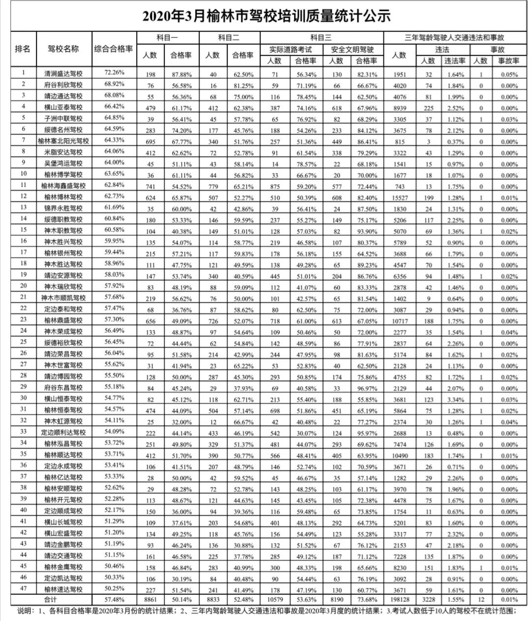
全市机动车驾培机构考试综合合格率排名靠前的驾校是:清涧盛达驾校,府谷利欣驾校、靖边通达驾校,合格率分别为72.26%、68.92%、68.08%。其中,科目一合格率排名靠前的驾校是:清涧盛达驾校,绥德名洲驾校、榆林塞北阳光驾校,合格率分别为87.88%、74.40%、67.77%;科目二合格率排名靠前的驾校是:府谷利欣驾校、靖边通达驾校、榆林海鑫盛驾校,合格率分别为81.25%、75.00%和65.21%;科目三实际道路合格率排名靠前的驾校是:吴堡鸿运驾校、靖边通达驾校、子洲中联驾校,合格率分别为78.57%、78.45%和76.92%;科目三安全文明考试合格率排名靠前的驾校是:府谷东昌驾校、定边顺利达驾校、神木职教驾校,合格率分别为96.97%、95.97%、93.90%。

本月份全市机动车驾培机构综合考试合格率环比上月提高了3.09%,与上月相比较培训质量稍有提高,各驾校需再接再励,提高驾校培训质量,为全市准驾驶人提供高质量的培训机构。
2统计公示

(LKK)
