提到力学当然要说一下古代先哲——亚里士多德,他是古希腊人,世界古代史上伟大的哲学家、科学家和教育家之一,堪称希腊哲学的集大成者。他是柏拉图的学生,亚历山大的老师。作为一位百科全书式的科学家,他几乎对每个学科都做出了贡献。他的写作涉及伦理学、形而上学、心理学、经济学、神学、政治学、修辞学、自然科学、教育学、诗歌、风俗,以及雅典法律。亚里士多德的著作构建了西方哲学的第一个广泛系统,包含道德、美学、逻辑和科学、政治和玄学。可以说他在物理学上的贡献只占其中的很少的一部分,就这很少的一部分却有很深远的影响。

亚里士多德
亚里士多德认为,体积相等的两个物体,较重的下落得较快,他甚至说,物体下落的快慢精确地与它们的重量成正比。
1377年有个叫做尼克尔·奥里斯姆的数学家,发表的著作《天地通论》提出正确的见解但,是他并没有加以验证。
1564年伽利略在意大利出生了,他父亲温琴佐是个著名的鲁特琴手、作曲家和乐理学者。伽利略自己是个灵巧的鲁特琴手。当伽利略·伽利莱8岁时,他的家庭搬回了佛罗伦萨,之后,他在佛罗伦萨的一个修道院里学习。伽利略是位虔诚的天主教徒,曾经严肃地考虑过是否要去当传教士,但他父亲坚持他去比萨大学学医。

伽利略
在1581年学医时,伽利略有一次无意中旁听了学校的几何课,然后对父亲说他要改修数学和自然哲学,父亲极不情愿地答应了他。兴趣是最好的老师,此后伽利略就设计了一个温度测量器(温度计的前身),并于1586年出版了小册子,上面记录了他设计发明的液压秤(这使他得到了学术界的关注)。伽利略几何很好,他研究了美术中的素描,在1588年作了佛罗伦萨的素描美术学院的讲师,主讲透视法和明暗搭配。

伽利略温度计
1589年,伽利略被任命为比萨大学的数学主任,此时他才24岁。每当遇到难题时,他都会在去教堂里。教堂里的照明灯在长链子上轻轻地摆动着。1598年夏天,他发现这些灯总是以相同的速度摆动。他注意到了摇摆的吊灯,吊灯在风的推动下划出大小不一的轨迹。与自己脉搏做出对比后,伽利略发现不论吊灯摇摆的距离如何,他们的周期时长都是相同的。回家后,他架起了两个长度相同的摆,将其中一个摆晃动大一些,另一个小一些,结果发现他们的时长的确相同。
伽利略决定测量照明灯摆动的时间,于是,他按住脖子上的脉搏开始测量其中的一盏灯的摆速,接着他又测量了另一盏稍大的照明灯的摆速,结果发现两盏灯的摆动速度相同。他借来了祭台助手点灯的长灯芯,用力摆动大小不同的两盏灯。经过多日的计时测量,他发现不论灯质量大小,弧线长短(松手点与最低点的高度差始终相等),这些灯沿着弧线摆动速度完全相同。
质量大的灯和质量小的灯以相同速度沿着弧线下落,这一发现与持续2000年的理论基础截然不同。伽利略深为这一发现所吸引。
站在比萨大学的课堂上,伽利略一只手拿着一块砖,另一只手拿着用水泥砌在一起的两块砖,好像在掂量它们的分量,比较它们的质量。他对学生说:“各位同学,经过观察来回摆动的钟摆,我得出一个结论,亚里士多德的观点是错的。”
全班学生都大吃一惊:“亚里士多德的观点有误?!”每个人在学校里的第一堂自然科学课上,首先学习到的就是:古希腊哲学家亚里士多德的著作是科学的基础。亚里士多德的一条定理就是:重的物体因其质量大的下落速度快。
伽利略爬上桌子,把砖头举到齐眉的高度,松开了手。“砰”的一声,两块砖落在地板上。他问道:“质量大的下落得快吗?”
学生们摇了摇头,两块砖是同时落地的。
伽利略喊道:“再来一次!”他再次抛下砖头,学生们仍呆呆地站在哪里。“砰”的一声,他又问道:“质量大的下落的快吗?”不是的,两块砖头还是同时落地。学生们目瞪口呆,伽利略当场宣布亚里士多德的结论是错误的。
但是,世人不愿接受伽利略的科学发现。他的朋友里奇,一名数学家,看到伽利略的砖块落地演示后,说道:“我只承认两块砖块与一块砖块是以相同速度落地的,但是我仍不能轻易相信亚里士多德的理论是错误的,还是在找另外的实例来证明吧!”
伽利略认为自己需要公开进行一次更有说服力的实证演示,让众人接受他的发现。据说,为了演示新发现,他站在著名的比萨斜塔顶上,从191英尺的高度同时扔下一个10磅的铅球和一个1磅的铅球。虽然无法确定他究竟是否在高塔上扔过铅球,但自由落体定律终成事实。伽利略在比萨斜塔做自由落体实验的故事,记载在他的学生维维安尼在1654年写的《伽利略生平的历史故事》(1717年出版)一书中,但伽利略、比萨大学和同时代的其他人都没有关于这次实验的的记载。对于伽利略是否在比萨斜塔做过自由落体实验,历史上一直存在着支持和反对两种不同的看法。无论这个故事是真是假,都掩盖不了,他在物理学史的重大意义。

在高中物理课本中涉及到必修一第二章,匀变速直线运动的研究。
知识点1:实验:探究小车速度随时间变化的规律
(1)打点计时器的使用:
打点计时器分为两种
电磁打点计时器是一种使用交流电源的计时仪器,其工作电压是4~6V,电源的频率是50Hz,它每隔0.02s打一次点。
电火花计时器是利用火花放电在纸带上打出小孔而显示出点迹的计时仪器,使用220V交流电压,当频率为50Hz时,它每隔0.02s打一次点
(2)纸带处理
做这个实验的主要目的就是求加速度以及某些点的瞬时速度。

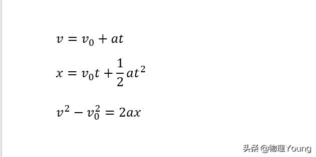
知识点2:三个速度公式

知识点3:九个推论(标红的重点记忆,其他的用的很少)
知识点4:图像问题
图像有x-t图和v-t图
x-t图中斜率代表速度大小;图线所围面积无意义;
v-t图斜率代表加速度大小;图线所围面积等于位移大小;
知识点5:自由落体
自由落体说白了是一个初速度为0的,以g为加速度的匀加速直线运动。所以以上我们所说的三个公式以及九个推论都可以用。尤其是那三个标红的推论,在解决一些问题时很好用。
假如,这里有个房檐每隔相同的时间,房檐上滴下一滴水,我拍了一张照片。当第5滴刚刚要掉落的时候,第1滴已经落到地面上。已知第4滴和第3滴之间的距离是6米,求房子的高度。

我们知道相同的时间间隔内
,假设第5滴与第4滴之间的距离是S1,第4滴与第3滴之间的距离是S2,第3滴与第2滴之间的距离是S3,第2滴与第1滴之间的距离是S4。
S1:S2:S3:S4=1:3:5:7
所以由于S2=6m
则S1=2m;S3=10m;S4=14m
房高h=S1+S2+S3+S4=32m
是不是很好用,当然用运动学公式也可以求,但是很麻烦。