原文作者:John D Cook。
翻译作者,独行者,哆嗒数学网翻译组成员。
校对,333。
关注微信:哆嗒数学网 每天获得更多数学趣文
新浪微博:http://weibo.com/duodaa
之前的一篇文章,我们已经知道如何用方程来拟合鸡蛋的形状。在平面上,我们有下列公式(1)

这篇文章的主要内容是为了求出鸡蛋的体积。通过将函数绕x轴旋转,我们可以由此求出体积。并且,我们还会把它和椭球的体积进行比较。
首先,将函数f(x)在区间[c, d]上的图像绕x轴旋转一周,于是我们便得到体积公式(2)

即使被积函数是关于函数f的平方,我们也能轻松地用积分求出来。因为在这个例子当中,如果我们将曲线的方程显式地表示为y关于x的函数时,函数表达式中会有开平方,从而消去了式子的中的平方运算符。因此,我们的体积可以求得(3)

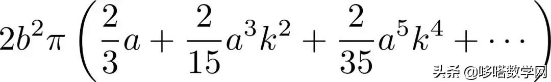
接下来,我们将鸡蛋的体积和椭球进行比较。为了更容易看出两者之间的差异,我们现在将式子中反双曲正切函数用幂级数展开(4)。

那么,体积的表达式便如下所示(5)

我们会注意到,如果a=b=r,k=0,那么式子便会简化成一个球。该球半径为r,体积为4πr³/3。如果a、b不一定相等,但是如果k=0,那么,便是椭球的体积4πab²/3。
定律一:k对体积影响甚微。在上述级数中,k只出现在2次及更高次的项中。这表明在一阶近似时,鸡蛋的体积(假定形状遵循我们所给的公式,注意到|k|很小)便约等于一个拥有相同长轴和短轴的椭球的体积。另外,我们也注意到k只出现在偶次幂的项中。这一点与我们之前的直观判断一致。在前文中,我们认为改变k的符号仅仅表示将鸡蛋翻个身,并不会改变鸡蛋的体积。
定律二:如果展开到2次项,鸡蛋的体积和椭球的体积之间相差了一个k的二次函数。为了将一个椭圆变成一个鸡蛋的形状,你需要将一端变得平整,而另一端则要变得更尖。但同时还要保持长度和宽度不变,那么你还再要增加体积。你要在平整的一端增加出来的体积会比尖的一端失去的要多一些。

之后的文章将会讲解如何求鸡蛋的表面积。
关注微信:哆嗒数学网 每天获得更多数学趣文
新浪微博:http://weibo.com/duodaa