首先说明,今天这篇分享不是为了让大家找捷径、偷懒,准确地说是教大家“站的更高,看得更远”。因为,其实考试并不会考我们没有学过的知识,只要认真学习就能做出所有的题。
所以还是建议大家,遇到难题先用常规方法解答,把今天的这些方法当作选择填空题的快速答题技巧。
几何篇
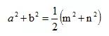
平行四边形(实用度: ★ ★ )


两边长为a和b,两对角线长为m和n,可以拿这个公式和托勒密定理对比记忆。
三角形
A.勾股数(实用度: ★ ★ )
常见的最简勾股数有:
3、4、5
5、12、13
8、15、17
7、24、25
9、40、41
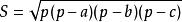
B.面积公式(实用度: ★ ★ )
边角边公式:利用两边及其夹角求面积。
S=1/2SinB*ac。两边对应于ac,夹角是B,
边边边公式

公式中a,b,c分别为三角形三边长,p为半周长,S为三角形的面积。
PS:几何中的三角形面积公式只需要记这两个个,其他的公式连竞赛都很难用得上。
C.三角恒等式(实用度: ★ )

这几个公式对于初中来说确实没什么用,很少能用到。不过如果有兴趣,记下来了,高中需要背的时候就会少一些麻烦。
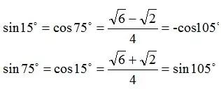
D.正余弦定理(实用度: ★ ★ )

在遇到45度、60度、75度之类的非直角三角形题目时,我们可以用上这两个公式。其他时候很少能用得上。所以要记得:

E.重心(质量法)(实用度: ★ ★ ★ )
三角形的重心将中线分为2:1的两段。
质量法:(填空压轴题重点!!)
两个小球A、B,如果质量相等,如(1),那么它们的重心是AB的中点D。
如果质量不等,质量比为m/n,如(2),那么重心D仍在AB上,而AD/DB=n/m。(即杠杆原理)
如果三个质量相等(都等于1)的小球A、B、C构成三角形ABC要求它们的重心可以分为两步:
先求出B、C的重心,即B、C的中点D,可以用质量为2(=1+1)的小球放在D点,以取代B、C两个小球。
再求A、D的重心,由于D处的质量为2,A处的质量为1,所以重心G在AD上,且分AD为2:1(即AG:GD=2:1)。

下面,我们举一个简单的例子。
例:如图△ABC,AB上有一点E,BC上有一点D,AD交CE于点G,当AE:EB=1:2,BD:DC=1:2时,AG:GD等于多少?
解:我们在C处放质量为1的小球,B处放质量为2的小球,A处放质量为4的小球。此时AB、BC的重心E、D满足AE:EB=1:2,BD:DC=1:2。
我们将B、C的质量集中在D点,质量为3。A点质量为4。故AG:GD=3:4
同样如果需要,我们可以求得EG:GC=1:6
圆
A.弦切角定理(实用度: ★ ★ )
解释:顶点在圆上,一边和圆相交,另一边和圆相切的角叫做弦切角。

如图所示,线段PT所在的直线切圆O于点C,BC、AC为圆O的弦,∠TCB、∠TCA、∠PCA、∠PCB都为弦切角。
定理:弦切角的度数等于它所夹的弧所对的圆心角度数的一半,等于它所夹的弧所对的圆周角度数。
在上图中,我们有∠TCB=∠CAB、∠PCA=∠CBA
B.圆幂定理(实用度: ★ ★ ★)
相交弦定理、割线定理、切割线定理、切线长定理的统称。

①相交弦定理:圆内的两条相交弦,被交点分成的两条线段长的积相等。
如图I,即有AP·PB=CP·PD
②割线定理:从圆外一点P引两条割线与圆分别交于A、B;C、D,
如图II,即有PA·PB=PC·PD
③切割线定理:从圆外一点引圆的切线和割线,切线长是这点到割线与圆交点的两条线段长的比例中项。
如图III,即有PA^2=PC·PD
④切线长定理:从圆外一点引圆的两条切线,它们的切线长相等。
如图IV,即有PA=PC
C.托勒密定理(实用度: ★ ★ )

圆内接凸四边形两对对边乘积的和等于两条对角线的乘积。
如图,即有AB·CD+AD·BC=AC·BD
D.四点共圆(实用度: ★ ★ ★ )
(填空压轴题重点!!)

①对角互补的四边形四点共圆。∠ADC+∠ABC=180度
②一个角的对角等于其补角的四边形四点共圆。∠ADC=∠EBC
③同底、同侧且对底边张等角的四点共圆。∠ADB=∠ACB
④相交弦定理的逆定理。AP·PC=BP·PD
⑤割线定理的逆定理。PA·PB=PC·PD(图中未给出)
⑥托勒密定理的逆定理AB·CD+AD·BC=AC·BD
⑦西姆松定理及逆定理。

过三角形外接圆上异于三角形顶点的任意一点作三边或其延长线的垂线,则三垂足共线。(此线常称为西姆松线)。
西姆松定理的逆定理为:若一点在三角形三边所在直线上的射影共线,则该点在此三角形的外接圆上。
上述定理的核心之处就在于各个定理通过四点共圆和相似三角形联系在一起。我们举一个例子进行练习。
例:如图,△ABC为等边三角形,D为AB上一点,点E为CD延长线上一点,连接AE、BE,∠BEC=60度,若AE=3,CE=7 ,则BE=________。
解:
因为△ABC为等边三角形,
所以∠BAC=∠BEC=60度,
所以A、E、B、C四点共圆
由托勒密定理可得:AB·CE=AC·BE+AE·BC,
因为AB=AC=BC,
所以CE=AE+BE,
所以BE=CE-AE=4
解析几何篇
点线之间的距离(实用度: ★ ★ ★ )
A.点与点:
对于点(x1,y1)和点(x2,y2),距离

两点的中点坐标

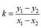
过两点的直线斜率

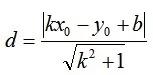
B.点与线:
对于点(x0,y0)和线y=kx+b,距离

C.线与线:
对于线y=kx+b1和线y=kx+b2(注意k必须相等,即平行线才有距离),距离

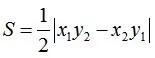
三角形的面积公式(实用度: ★ ★ ★ )
对于一个点在原点,另两个点分别为(x1,y1)和(x2,y2)的三角形面积为

代数篇
立方公式 四个公式 别看错了(实用度: ★)

头同尾合十(实用度: ★ ★ ★ )
名词解释
例如28*22,两个两位数,十位数字2相同,个位数字8+2=10,故称头同尾合十。
巧算方法
尾数相乘,得出的答案占后两位;头乘(头+1),占前一位到两位,就可以得出积。比如28*22,尾数相乘:2*8=16,2*(2+1)=6,依次排序就是616。
用法
85*85,口算时,为8*(8+1)=72,5*5=25,一边算一边写就得出了答案7225。
47*45,口算时,折分成(45+2)*45来计算。45*45=2025,在脑子里对2025加上90,即得2115。
PS:这个是小学速算,本质是整式的乘法。小学时也学过不少别的技巧,不过感觉这个最实用,尤其是对于35^2,65^2之类,效果很好,初中高中都能用到,能省半分钟时间且没有算错的可能,也就没有了验算的麻烦。
回复留言即可加入微信群,创始人邹老师将会在群组中亲自解答关于数学学习或教育等困惑,每天分享高效、深刻的数学解题方法以及先进的教学理念!
各位家长、老师和孩子们如果有兴趣加入一同探讨更多关于数学学习与教育等问题,可以私信进群!
更多精彩内容,请关注微信订阅号:sbsxgz。

邹老师
中国教育家协会理事;全国数学优秀教师、特级教师的培训导师;青少年成*学功**习的智慧导师,中国素质教育与应试教育完美结合的创造者!
他创立的“本质理论”,让人聪明一辈子,从根本上解决学生的思维问题;
他研发的《一通百通数学教学法》,让学生做通一题通一片题,从根本上解决学习问题;在减负下轻松考高分。他让成绩差的学生,成绩普通的学生在3年内成为中高考第一;
他发明的“深本教育法”,让家长充满智慧,从根本上解决孩子的教育问题。
更多精彩内容,请关注微信订阅号:sbsxgz。