
2019年5月
漳州市事业单位公开考试招聘工作人员方案
新鲜出炉啦!
招聘事业单位工作人 员 854名!
报名时间:
4月16日8:00—4月22日17:00
查询资格初审结果:
4月16日10:00—4月24日16:00
网上缴费:
4月26日24:00之前缴报名费80元
准考证打印:
5月20日10:00—5月24日24:00
笔试时间初定:
5月25日,具体时间、地点详见准考证。
(1)芗城区事业单位

(2)龙海市事业单位

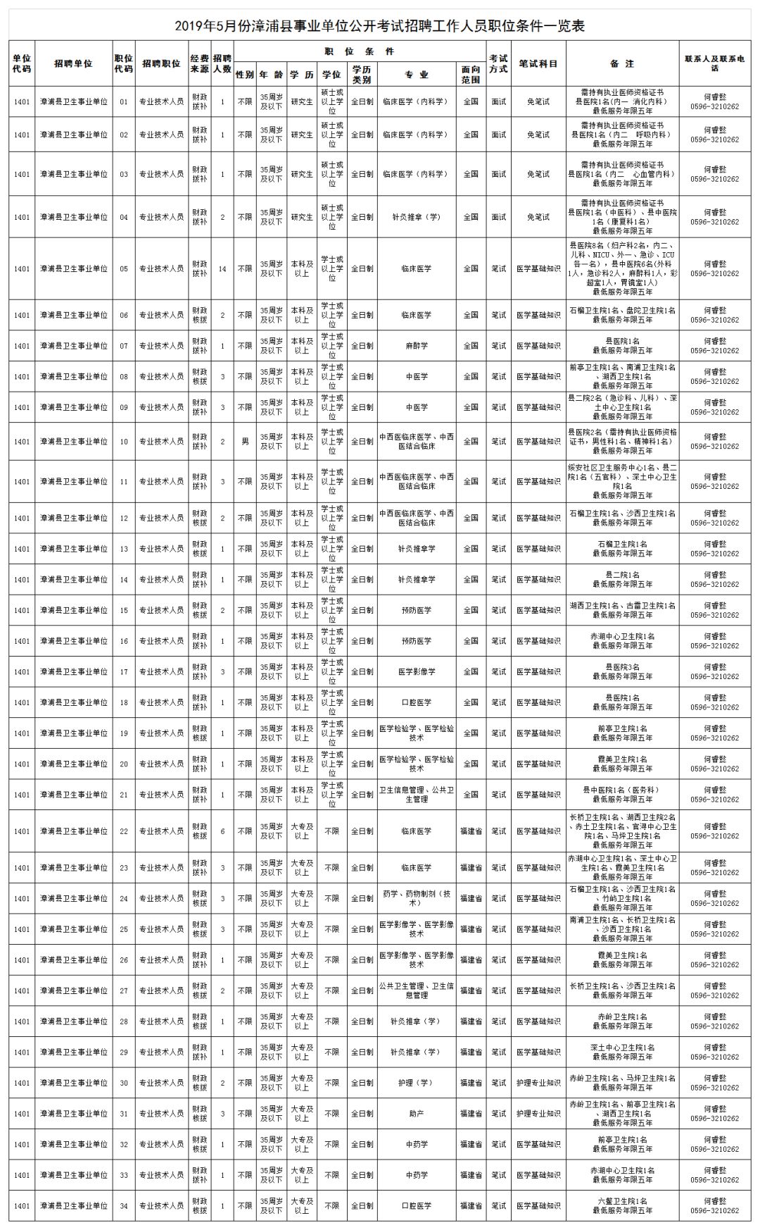
(3)漳浦县事业单位

(4)云霄县事业单位

(5)诏安县事业单位

(6)东山县事业单位

(7)南靖县事业单位

(8)华安县事业单位

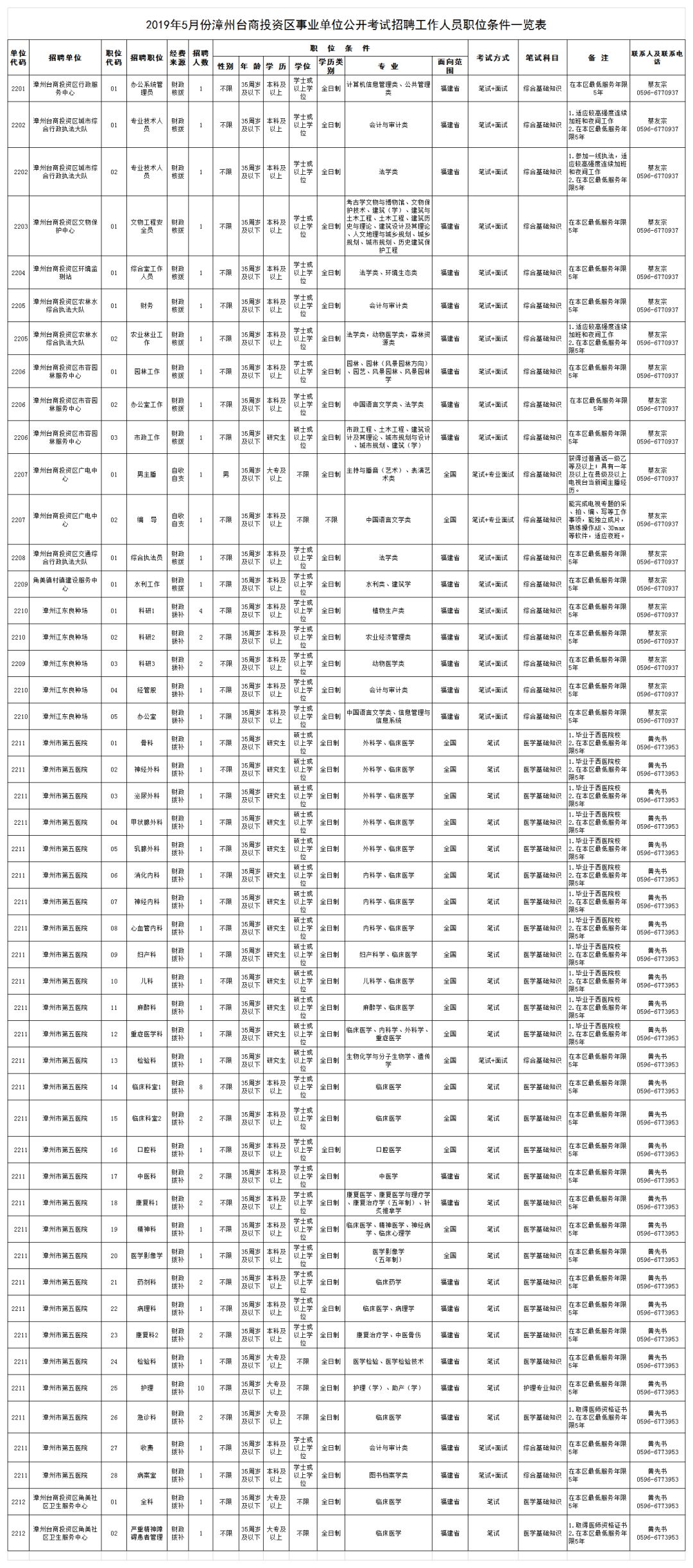
(9)台商投资区事业单位

(10)常山开发区事业单位

(11)招商局漳州开发区事业单位

招聘岗位
具体招聘职位也可以点击文末
阅读原文进行*载下**。
厦门市公安文职人员服务中心补充编内工作人员30名
报名日期:4月10日10:00至4月16日17:00
考核方式:笔试+面试
笔试科目:综合基础知识
最低学历要求:全日制高等
根据《厦门市事业单位补充工作人员暂行规定》,厦门市公安局决定组织实施所属事业单位厦门市公安文职人员服务中心(以下简称公安文职中心)编内工作人员招聘考试,本场招聘考试环节紧凑,请考生认真熟悉简章内容和要求。现将招聘考试简章公布如下:
一、招聘条件
(一)基本条件
1.具有中华人民共和国国籍;
2.拥护中华人民共和国宪法;
3.具有良好的品行和正常履行岗位职责的身体条件;
4.具备招聘岗位设置的资格条件。
(二)不得报名、聘用情形
1.普通高等院校全日制在读的非应届毕业生(即2020年及以后才学业期满的全日制普通教育学生);
2.现役军人;
3.服务年限不满2年(含试用期)的公务员(含参照公务员法管理人员,下同),或招考时要求服务期且服务期未满的公务员,或公务员被辞退未满5年的;
4. 曾因犯罪受过或正在接受刑事处罚的人员;曾被开除公职的人员;涉嫌违法犯罪正在接受司法调查尚未做出结论的人员;尚未解除*党**纪、政纪处分或正在接受纪律审查的人员;
5.受聘报考岗位即构成本简章第七部分第十一项回避关系情形的人员;
6.具有法律法规规章规定不得聘为事业单位人员的其他情形的人员。
报考者在报名时不是公务员,但在报名之后、聘用之前成为试用期内公务员的,取消其本次考试或聘用资格。
机关、事业单位编内工作人员应征得所在单位同意方可报名。在面试资格复核时应提供所在单位同意报考的书面证明,确有实际困难的,经公安文职中心及厦门市公安局同意后,可在体检时提供同意报考证明。
对考生资格审核贯穿招聘全程,一经发现报考人员不符合简章规定或不符合招聘岗位资格条件或提供虚假信息(含考核期间提供的证明材料等),立即取消考试、聘用资格或解除聘用合同。
二、招聘岗位

三、报名及缴费
(一)注意事项
1.本次考试采取网上报名的方式,借用厦门市人力资源和社会保障局(厦门市公务员局)事业单位招聘考试管理系统(http://202.109.255.195:9014/v3/)进行报名。
2.本次考试有关考务信息通知详见厦门公安公众服务网政务公开栏目人事信息板块(http://ga.xm.gov.cn/)(以下简称网上考务信息通知),请考生自行留意,不再另行通知。
3.报考人员只能报考一个岗位。报考人员通过网上资格初审后不得更改,并以通过资格初审的岗位进行缴费和参加考试。
4.报考人员报名时须认真阅读简章并仔细对照招聘岗位资格条件,确认自己符合简章规定及拟报岗位条件方可报名,并须对本人的报名资格及所提供材料的真实性负责。提供虚假材料或信息的,一经查实,即取消报考或聘用资格。
招聘岗位具体资格条件设置由公安文职中心及厦门市公安局解释说明并进行资格审核,招聘岗位资格条件问题请咨询公安文职中心。
5.符合岗位资格条件的报名人数与岗位拟聘人数的比例达不到3:1的,原则上应减少该岗位拟招聘人数或取消该岗位招聘。情况特殊需降低比例的,由公安文职中心提出意见报厦门市公安局研究同意并事前报备市人社局后另行公告。
6.报名人数统计每天0:00更新一次,报名截止前2天内的报名人数不再更新,符合报考条件的人员请尽早上网报名并缴费,防止出现网络拥堵无法成功报名,错失应考机会。
(二)报考流程
1.网上提交个人信息及报名:报考人员请于2019年4月10日10:00至4月16日17:00登录厦门市事业单位招聘考试管理系统,提交个人信息及近期正面免冠二寸彩色数码证件照(jpg格式,规格200K以下)。报名系统将于4月16日17:00自动关闭,逾期未提交合格照片的无法打印准考证,并由此造成不能参加考试。
2.资格初审:笔试资格初审是对照考生提交的信息与岗位条件要求进行比对初审。初审时间为4月10日10:00—4月17日12:00法定上班时间,由厦门市公安局组织公安文职中心进行网上资格初审。
3.查询资格初审结果:报考人员可于4月10日10:00—4月17日15:00登录报名平台查询资格初审结果。报考人员对资格初审结果有异议的,须在4月10日10:00—4月17日17:00前通过网络进行申诉。
4.网上缴费:通过网上报名资格初审的报考人员,通过银联在线于4月18日12:00之前支付报名费80元(考生须在缴费前事先办理开通网上支付功能。另每日17:30-21:00为系统维护期,维护期内暂停网上缴费,岗位报名可正常执行)。
招聘岗位因报名人数不足未达到开考条件而取消招考的,考生根据退款提醒,进入报名系统填写完善退款账号等信息,网络银行将退还该岗位所有报考人员的报名费,其余情况均不退还。
5.准考证打印:通过网上报名资格初审且已缴交报名费的报考人员,请于5月21日10:00— 5月24日17:00自行上网打印准考证。
详情请点击:
http://hrss.xm.gov.cn/xxgk/tzgg/201904/t20190410_2242807.htm
还有好消息!
福建这些好单位正在招聘!
2019年福建省肿瘤医院招聘工作人员方案
一、基本条件
1.具有中华人民共和国国籍,拥护中国*产党共**的领导,热爱社会主义,遵纪守法,品行端正;
2.身体健康,符合公务员录用体检标准;
3.报考者应为2017、2018、2019届全日制毕业生(取得境外学历学位证书报考者届别认定时间以取得教育部留学服务中心出具的学历学位认证书年份为准);
4. 认证书等各项资格认定截止时间为2019年8月31日。
5.2017、2018届毕业生报考者须具有三级及以上医院工作经历或住院医师规范化培训经历,同时持有执业资格证书或专业技术任职资格证书。已参加规培人员须符合闽卫科教函[2015]107号相关规定。
二、招聘岗位及要求

三、报名时间和方式
1. 报名时间:2019年4月8日——2019年4月22日17:00。
2. 报名方式:采取网上报名的方式,符合条件的报考人员于报名截止前,登录应聘人员请登录福建省肿瘤医院报名系统(网址:http://rszp.fjzl.com.cn)进行网上报名,报名系统将于2019年4月15日开通,无需现场提交纸质版报名材料。
四、联系方式
地 址:福州市晋安区福马路420号福建省肿瘤医院科研楼5楼人事科
邮 编:350014
电 话:(0591)83660063-8436
2019年中国建筑材料工业地质勘查中心福建总队公开招聘工作人员方案
一、基本条件
1.具有中华人民共和国国籍,拥护中国*产党共**的领导,热爱社会主义,遵纪守法,品行端正;
2.身体健康,符合公务员录用体检标准;
3.年龄要求为35周岁及以下(1983年4月8日及以后出生);
4.取得境外学历学位证书报名者应提供教育部留学服务中心出具的学历学位认证书;认证书等各项资格认定截止时间为2019年9月30日。
二、招聘岗位及要求

三、报名和资格审查
1、报名时间:2019年4月12日--2019年4月26日
2、报名方式:符合条件的报考人员请于报名截止之日前将报名材料报送到中国建筑材料工业地质勘查中心福建总队*党**群办,逾期不予受理。
四、联系方式
地 址:福建省福州市东水路55号
邮 编:350001
电 话:0591—87558475
E-mail:fjzdrl@163.com
2019年福建省妇幼保健院公开招聘工作人员方案
一、基本条件
1.具有中华人民共和国国籍,拥护中国*产党共**的领导,热爱社会主义,遵纪守法,品行端正;
2.身体健康,符合公务员录用体检标准;
3.报考者应为全日制毕业生,取得相应学历、学位。岗位180301-180304报考者年龄应在35周岁及以下(1983年4月9日及以后出生);岗位180305报考者应为2017届、2018届、2019届应届毕业生;岗位180306报考者年龄应在40周岁及以下(1978年4月9日及以后出生);
4. 取得境外学历学位认证书报名者应提供教育部留学服务中心出具的学历学位认证书(届别认定以取得教育部留学服务中心出具的学历学位认证书年份为准)。认证书等各项资格认定截止时间为2019年9月30日。
二、招聘岗位及要求

三、报名时间和方式
1.报名时间:2019年4月10日14:00——2019年4月23日17∶00。
2.报名方式:采取网上报名的方式,符合条件的报考人员请于报名截止前,登录福建省妇幼保健院人才招聘栏进行网上报名,逾期不予受理。每人限报1个岗位,报名成功后不可更改,报考人员所留联系方式应准确无误并确保招聘期间保持通畅。
四、联系方式
地 址:福州市道山路18号福建省妇幼保健院
邮 编:350001
电 话:0591—87550658(院人事科)
2019年福建省立金山医院招聘工作人员方案
一、基本条件
1.具有中华人民共和国国籍,拥护中国*产党共**的领导,热爱社会主义,遵纪守法,品行端正;
2.身体健康,符合公务员录用体检标准;
3.报考者应为2017届、2018届、2019届全日制毕业生(境外学历学位报名者届别认定以取得教育部留学服务中心出具的学历学位认证书年份为准)。取得境外学历学位报考者应提供教育部留学服务中心出具的学历学位认证书,认证书等各项资格认定截止时间为2019年7月31日;
4. 2017、2018届毕业生报考者须具有三级及以上医院工作经历或住院医师规范化培训经历,同时持有执业资格证书或专业技术任职资格证书。已参加规培人员须符合闽卫科教函[2012]404号相关规定。
二、招聘岗位及要求

三、报名时间和方式
1. 报名时间:2019年4月9日——2019年4月22日
2. 报考者请登录福建省立医院网报名系统(网址:zhaopin.fjsl.com.cn)进行网上报名,报名系统将于2019年4月15日开通,无需现场提交纸质版报名材料。报考者应对填写的信息负责,如有弄虚作假,取消应聘资格。
四、联系方式
地 址:福州市仓山区金榕南路516号省立金山医院人力资源处
邮 编:350028
电 话:0591—88618818
福建省疾病预防控制中心招聘工作人员方案
一、基本条件
1.具有中华人民共和国国籍,拥护中国*产党共**的领导、热爱社会主义、遵纪守法,品行端正;
2.身体健康,符合公务员录用体检标准;
3.年龄35周岁及以下(1983年4月9日及以后出生)全日制毕业生;
4.取得境外学历学位证书报名者应提供教育部留学服务中心出具的学历学位认证书;认证书等各项资格认定截止时间为2019年7月31日。
二、招聘岗位及要求

三、报名时间和方式
1.报名时间:2019年4月9日-2019年4月22日。
2.报名方法:符合条件的报考人员请于报名截止之日前将《福建省疾病预防控制中心招聘工作人员报名表》发至此次报名信箱,邮件标题为:岗位名称+姓名。对通过初审人员我中心将以电子邮件的形式告知通过初审者现场确认时间,报考人员在规定的现场确认时间内携带报名材料至福建省疾病预防控制中心人事处进行复核,逾期不予受理。
四、联系方式
地址:福建省疾病预防控制中心人事处(综合楼611室)
福州市鼓楼区津泰路76号
邮编:350001
电话:0591-87563195
中心网站:www.fjcdc.com.cn
报名邮箱:fjcdc2015@163.com
来源:福建日报微信综合 漳州市事业单位招聘考试网、闽南网漳州、厦门人社局、福建省人力资源和社会保障厅
|
漳州新闻网 微信号zznewscn |
本期编辑 @林祎凡 值班主任 @黄远林 值班总编 @赖雄伟 |
|
【新朋友】 点击顶部蓝色字“漳州新闻网”关注 【老朋友】 点击右上角按钮,分享给更多人 【爆料邮箱】 xw@zznews.cn |
|
|
闽南日报社微信矩阵 |
|
|
闽南日报 |
mnrbwx |
|
漳州新闻网 |
zznewscn |
|
视觉漳州 |
sjzz0596 |
|
闽南日报车友会 |
mnrb-cyh |
|
闽南日报小记者 |
mnrb-xjz |