#头条青云“叫好又叫座”作品征集#
(一)。
自1742年提出至今,哥德巴赫猜想(Goldbach's conjecture)已经困扰数学界长达三个世纪之久。作为数论领域存在时间最久的未解难题之一,哥德巴赫猜想俨然成为一面旗帜,激励着无数数学家向着真理的彼岸前行。
对不少人来说,知道哥德巴赫猜想,离不开两个人,陈景润和徐迟。后者那篇著名的报告文学,让很多人知道了有位中国数学家,用了几*麻大**袋演算纸,将哥德巴赫猜想的证明往前推进了一步。
一个大于1的自然数,如果除了1与其自身外,无法被其他自然数整除,那么称这个自然数为素数。早在古埃及时代,人们似乎就已经意识到了素数的存在。而古希腊的数学家们很早就已经开始对素数进行系统化的研究。例如欧几里得在《几何原本》中就已经证明了无限素数的无限性,而埃拉托斯特尼提出的求取素数的筛法则为找出一定范围内所有的素数提供了可行的思路。

古希腊数学家、"几何学之父"欧几里得与数学家、地理学家、天文学家埃拉托斯特尼。
埃拉托斯特尼筛法。筛法的原理十分简单,计算者从2开始,将每个素数的倍数筛出,记作合数。埃拉托斯特尼筛法是列出所有小素数最有效的方法之一。
随着对素数理解的深入,素数的诸多奇特性质被人们发掘出来。1742年6月7日,普鲁士数学家克里斯蒂安·哥德巴赫在写给瑞士数学家莱昂哈德·欧拉的信中,提到了自己有关素数的一个发现:任一大于2的整数都可以写成三个质数之和。值得一提的是,当时欧洲数学界约定1也是素数。所以换成现代的数学语言,即"任一大于5的整数都可写成三个质数之和"。将偶数表示为两个素数的和。截至2012年4月,数学家已经验证了4乘以10的18次方以内的偶数,没有发现哥德巴赫猜想的反例。

哥德巴赫无法确认这一发现的普适性,所以他寄希望于欧拉可以给出证明。欧拉在6月30日的回信中肯定了哥德巴赫的发现,并给 出了猜想的等价版本:任一大于2的偶数,都可表示成两个素数之和。这也是现在哥德巴赫猜想的通常表述方式,其亦称为"强哥德巴赫猜想"或"关于偶数的哥德巴赫猜想"。欧拉认为可以将这一猜想视为定理,只可惜他也无法给出猜想的证明。

哥德巴赫信件的手稿
哥德巴赫猜想一直以来都深受业余数学爱好者的青睐,一个很重要的原因就是其表述十分简洁易懂。然而猜想的证明实际上是极为困难的。自1742年猜想被正式提出后的160余年里,数学家苦苦探寻,都没有取得任何实质性的进展,更多的只是提出一些等价的命题,或者是对猜想进行数值验证。
1900年,著名数学家希尔伯特在第二届国际数学家大会上提出的著名的二十三个问题,其中第八个问题就涉及三个有关素数的猜想:黎曼猜想、哥德巴赫猜想和孪生素数猜想。至今上述三个猜想的研究虽然较20世纪初已经有了长足的进展,甚至有弱化的情况已经被证明,但三个问题本身均仍未被解决。
然而这长达160余年的探索并非毫无成果。由于欧拉、高斯、黎曼、狄利克雷、阿达马等数学家在数论与函数论领域的突破性研究,为之后以哥德巴赫为代表的数论研究打下了坚实的基础。
问题真正的实质性进展出现在二十世纪20年代。当时出现了两种代表性的思路,一种是英国数学家哈代与李特尔伍德在1923年论文中使用的"哈代-李特尔伍德圆法",另一种是挪威数学家布朗(Viggo Brun)使用的"布朗筛法"。
借助上述方法,哈代和李特尔伍德在1923年的论文中证明了"在假设广义黎曼猜想成立的前提下,每个充分大的奇数都能表示为三个素数的和以及几乎每一个充分大的偶数都能表示成两个素数的和"。这里的"广义黎曼猜想",指的是用狄利克雷L函数代替黎曼猜想中的黎曼ζ函数,其他表述不变。哈代和李特尔伍德的工作使哥德巴赫猜想的证明向前迈进了一大步。利用上述方法,布朗在1919年证明,"每个充分大的偶数都可以写成两个数之和,并且这两个数每个都是不超过9个素因数的乘积"[7],所以上述结论也被记作"9+9"。按照布朗的思路,如果最终可以将素因数的个数缩减至1个,即最终证明"1+1",那么也就意味着证明了哥德巴赫猜想。
两种思路都在二十世纪都得到了极大的发展。这也极大地推动了哥德巴赫猜想和弱哥德巴赫猜想的证明工作。1937年苏联数学家维诺格拉多夫(Ivan Vinogradov)在对于弱哥德巴赫猜想研究中取得了重大的突破。他在圆法的基础上,去掉了哈代和李特尔伍德证明中对于广义黎曼猜想的依赖,完全证明了"充分大的奇素数都能写成三个素数的和",即"哥德巴赫-维诺格拉多夫定理"。不过维诺格拉多夫无法给出"充分大"的下限,所以找到这一下限便成为了弱哥德巴赫猜想研究的主要方向。2013年秘鲁数学家哈洛德·贺欧夫各特(Harald Andrés Helfgott)成功将维诺格拉多夫"充分大"的下限缩小至10的29次方左右,通过计算机验证在此之下的所有奇数,结果无一例外都符合猜想,从而最终完成了弱哥德巴赫猜想的证明。
相比较而言,强哥德巴赫猜想的研究困难相对更大。不过二十世纪上半叶以来,数学家遵照布朗筛法的研究思路,也取得了长足的进展。在布朗证明"9+9"后不久,1924年德裔美籍数学家拉德马赫(Hans Adolph Rademacher)成功证明了"7+7"[12],1932年德国数学家埃斯特曼(Theodor Estermann)证明了"6+6"[13],苏联数学家*赫布**希塔布(Alexander. A. Buchstab)于1938年和1940年证明了分别证明了"5+5"与"4+4"。
布朗筛法较以往的数论方法而言有很强的组合数学特征,应用起来比较复杂。所以在研究的过程中,数学家不断对原有的筛法进行改进。考虑到以往的证明中,总是将命题"a+b"与对一个筛函数的估计直接联系起来,得到的结果相对较弱。1941年,库恩(P. Kuhn)提出了"加权筛法",借此我们可以在同样的筛函数上、下界估计的基础上得到强结果。例如库恩于1954年就给出了"a+b<7",即每个偶数都可以写成两个数之和,使得它们各自的素因数个数加起来的总和小于7。而1950年前后挪威数学家阿特勒·塞尔伯格(Atle Selberg)提出的"塞尔伯格筛法",则使得哥德巴赫猜想的研究前进了一大步。塞尔伯格利用求二次型极值的方法极大地改进了筛法,由此法可以得到筛函数的上界估计,结合*赫布**希塔布恒等式可以得到筛函数的下界估计。在此基础上,维诺格拉多夫、王元等数学家先后完成了"3+3"、"a+b"(a+b<6)以及"2+3"的证明。

以上的结果中,比较遗憾的是无法证明偶数分拆成的两个数中一定有一个是素数。主要原因就在于要证明形如"1+x"的命题时,需要估计筛函数S(A,P,z)的上界和下界时,需要估计主项与余项,并证明余项相对于主项可以忽略。这有点类似圆法的思路。不过"1+x"的估计涉及到算术级数中素数分布的均值定理,需要利用较为复杂的解析数论手段。
最早取得突破的是匈牙利数学家阿尔弗雷德·伦伊(Alfréd Rényi)[16]。他率先定性地证明了命题"1+x",但却没能给出x的具体值。而在这一领域里,我国老一辈数学家取得了卓越的成绩。1962年潘承洞利用伦伊的思路成功证明了"1+5",同年王元指出潘承洞的结论实则可以推出"1+4"。

"中国解析数论学派"指以华罗庚为代表的数论学派,该学派对于质数分布与哥德巴赫猜想作出了许多重大贡献。华罗庚,中国科学院院士,美国国家科学院外籍院士。他是我国解析数论、典型群、矩阵几何、自守函数论与多元复变函数等领域研究的创始人与奠基者,也是中国在世界上最具影响力的数学家之一。王元,中国科学院院士。他首先将解析数论中的筛法用于哥德巴赫猜想的研究。潘承洞,中科院院士,以哥德巴赫猜想的研究闻名。他首先确定命题"1+x"中x的具体数值,并证明命题"1+5"和"1+4"成立。潘承彪,中科院院士,著名数论学家,潘承洞胞弟,亦是数论学家张益唐在北京大学时的研究生导师。
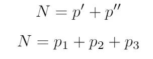
而使用筛法的最好结果是由我国数学家陈景润得到的。1966年,陈景润在《科学通报》上发表了有关"1+2"的证明,即"任何一个充分大的偶数都可以表示成两个素数的和或者一个素数及一个2次殆素数的和"。换言之,对于任给一个大偶数N,总可以找到奇素数p',p''或p1,p2,p3,使得下列两式至少有一个成立:

1973年,陈景润给出了"1+2"的详细证明,同时改进了1966年研究的数值结果。是年4月,中国科学院主办的《中国科学》上,公开发表了陈景润的论文《大偶数表为一个素数及一个不超过两个素数的乘积之和》。在这一证明中,陈景润对筛法作出了重大的改进,提出了一种新的加权筛法。因此"1+2"也被称为陈氏定理。
上面仅仅是对于陈景润"1+2"证明思路的简单梳理,事实上其证明过程十分繁琐,而且需要很高的技巧性。能够最终得出"1+2"的证明,陈景润无愧于数论大师之名。

陈景润后来不断改进自己的结果,从某种意义上来说已经将筛法的威力发挥到了极致。但很可惜的是,陈景润的加权筛法要证明最终哥德巴赫猜想("1+1")需要在加权筛中取x=2,而这将导致估计主项和余项变得难以实现。所以如今数学界的主流意见认为,最终证明哥德巴赫猜想,还需要新的思路或者新的数学工具,或者在现有的方法上进行颠覆性的改进。但无论如何,陈景润已经走在了哥德巴赫猜想研究的最前沿。
(二)。一个数学大王与数学牛人重大发现。用孪生素数证明哥德巴赫猜想成立
(引入原文)孪生素数公式
什么是孪生素数,孪生质数有一个十分精确的普遍公式,是根据一个定理:“若自然数Q与Q+2都不能被不大于根号Q+2的任何质数整除,则Q与Q+2是一对质数,称为相差2的孪生质数。这一句话可以用公式表达:Q=p1m1+a1=p2m2+a2=....=pkmk+ak其中p1,p2,...,pk表示顺序质数2,3,5,....。an≠0,an≠pn-2。若Q<P(k+1)的平方减2,则Q与Q+2是一对孪生质数。例如3和5 ,5和7,11和13,…,10016957和10016959等等都是孪生质数。 所以,只要按着公式计算,理论上有无限多个孪生素数。
在这里,首先要对孪生素数作出新的定义,而不是(若自然数Q与Q+2都不能被不大于根号Q+2的任何质数整除,则Q与Q+2是一对质数,称为相差2的孪生质数。)则是沿用我国古代的《奇门遁甲》中的“三奇就在已丙丁”,把孪生素数分成以下几种类形:
(1).两孪生素数,:例如3和5 ,5和7,11和13,…,
(2).三孪生素数,例如41.43.和47 ,461.463.和467,613.和617.619,…,
(3)四孪生素数,例如11.13.和17.19 ,101.103.和107.109,821.823.和827.829,…,,
(4)头孪生素数,例如a1087.1089a1091a,a1867a1871 1873p.1877 1879a ,a7207 a7211 7213a,…,
(5)尾孪生素数,例如a1607 1609a1613a,a2657 2659a2663a,a8861 8863a 8867a a8969 8971a ,…
(6)头尾孪生素数,例如a1087 a1091 1093a 1097a
,a1423a1427.1429a1433a,a1297 a1301 1303a 1307a,…,,
现将以上7种孪生素数简称头尾孪生素数,记作:“m”孪生素数。原定义孪生素数记作“q”孪生素数。

按照以上两种定义,将10000以内二孪生、三孪生、四孪生、五孪生、六孪生素数哥猜相加和数进行列表如下:
(部分)
10…10=5q5.12=7q5.14=7q7.16=11q5.18=11q7.20=13q7.
92=61q31.94=71pm23.96=73qm23.98=61m37.100=59q41.
1000.1000=569q431.1002=569q433.1004=571q433.1006=857q149.
1008=857q151.1010=829q181.1012=821q191.1014=191q823.
1016=193q823.1018=419q599.1020=1019q1.1022.=1021q1.
1024=1021q3.1026=1021q5.1028=1021q7.1030=853q277.
1032=1031q1.1034=1033q1.1036=1033q3.1038=1033q5. pppp
1096=1091p5.1098=10093q5. 5000=67m4933.5002=71p4931.
5008=71m4937.5010=1q5009.5012=3q1009.5014=5q5009.
pppp 5016=7q5009.5018=7q5011.
5096=307m4789.5098=311q4787.
9100.9100=59q9041.9102=59q9043.9104=61q9043.9106=137q8969.
9108=97m9011.9110=97m9013.9112=101q9011.9114=101q9013.
9180=137q9043.9182=139q9043.9184=347q8837.9186=349q8837.
9188=34qq8839.9190=179q9011.9192=179q9013.9194=181q9013.
9196=197q8999.。
戈 哥德巴赫猜想问题被德国数学家哥德巴赫于1742年提出,至今尚无答案,但有人提出,用素数证明哥德巴赫猜想,其数的范围太大了,其实用孪生素数也能使哥德巴赫猜想成立,并用相当的时间对一万以内的偶数一一验证,没有一个反例。 一个沉睡了几百年的 哥德巴赫猜想,几近全球顶尖以及在野数学能人的努力,也没能把他唤醒,但另一个更加难解的哥德巴赫猜想又昏昏睡去,一个数学皇冠上的名珠并未被摘下,另一个数学皇冠上的明珠又光彩诱人的到来。
原创首发