摘要:前两天看到个文章说萌新不能选天御套,那么到底是不是这么回事,就简单分析一下。尽管现在说这个已经有些晚了,毕竟大伙儿基本上都选好85ss套了,但是有一些数据上的东西还是需要仔细说明一下。

鉴于大家关注的重点在于“低属强的小号到底能不能用天御”这一点,首先直接把结论放上来,是“完全可以用”。
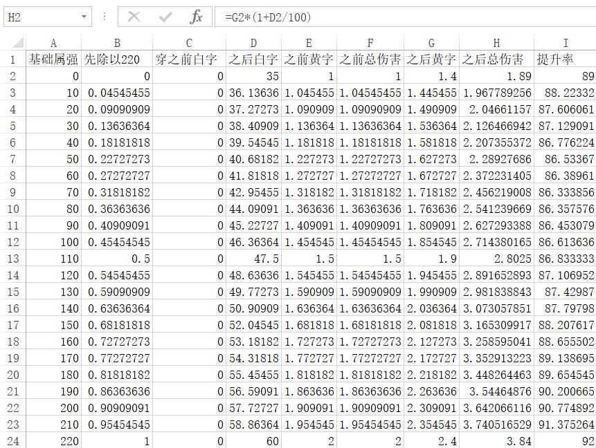
计算条件:只计算天御的50套装属强+单件24+鞋子14一共88属强,人物自带白字0,天御加成的三攻不计算。
人物直接用白板小号,无任何白字。所以基础白字是0
人物基础攻击直接定为1,方便计算。
(黄字说的是除去白字的那部分伤害,不要误会。)

很明显只看最后一列即可。
天御对于0到220属强区间的提升率稳定在百分之90左右,所以根本谈不上什么“没有属强的号不能用天御”。
原因很简单,天御自带了88属强,虽然属强高的号属性白字也高,但是在基础伤害方面这88的提升率就会少很多。所以两个效果差不多抵消,最后的结果就是,天御对新号的提升率并没有有些人所说的那么不堪。甚至在完全0属强的情况下,提升率还比100属强的高那么一点。
更何况,天御的特效和基础三攻加成,对于小号来说刷白图会省不少力气。所以天御仍然是85ss套中的佼佼者。
另外提醒大伙儿一点: 就是“天御套装的四种属强可以同时触发”,但是属白不可以。就是说你进图可以同时加全属强50,但是属白只能随机有一个。所以对于正常图来说没有任何问题。就算触发了其他属性攻击也就少一点白字而已,对伤害的影响不大。

注:本文由DNF掌游宝小伙伴投稿分享,欢迎大家踊跃投稿,提交后都有机会刊登到掌游宝哦~
温馨提示 :部分小伙伴更新后 没有广场,哦。
1.教学讲解、技术测试、秀装备、秀竞速、秀技术、囧图投稿,请您登陆全新掌游宝投稿系统投稿。(电脑上输入tougao.zhangyoubao.com也可进行投稿)
2.史诗人品秀投稿,请您点击【史诗人品秀】发布动态即可投稿。
3.手绘漫画投稿,请您点击【 笔尖下的阿拉德 】发布动态即可投稿。