
文|阿梦
编辑|阿梦
引言
冲绳海槽是因菲律宾海板块俯冲于欧亚板块之下,在陆壳上发育起来的一个初始的弧后盆地,是研究弧后扩张作用早期盆地演化、岩浆作用和壳幔过程的天然实验室。通常以奄美大岛以北的吐喀喇断裂带和冲绳岛与宫古岛之间的宫古断裂带为界将冲绳海槽分为北、中、南 3 段。
海槽各段正分别经历着不同的构造演化阶段,地壳厚度从北段到南段逐渐减小,北段地壳性质总体为陆壳,厚度约为 30 km;中段为过渡性地壳,厚度在 22~16 km 之间;南段地壳最薄,厚约 13 km。已有研究证明冲绳海槽南段出现了典型的洋壳。

海槽北段主要出露有酸性火山岩,推测源自岛弧型的岩浆作用或是玄武质岩浆结晶分异的产物,中段以玄武岩与酸性浮岩的双峰式火山岩分布为主,南段已经出现基性拉斑玄武岩。
总体上看,冲绳海槽拉张程度从北段向南段逐渐增强。冲绳海槽不同区段拉张程度的差异可能主要源自俯冲板块的俯冲角度、俯冲速率和俯冲方向上的差异。琉球海沟以东的奄美−冲大东省等正地形的俯冲“阻碍”作用可能是导致冲绳海槽北段拉张程度较弱的重要因素之一,而冲绳海槽西南段的张裂应该是我国台湾岛东侧的弧−陆碰撞导致俯冲转向的结果。

对冲绳海槽火山岩的岩石学及地球化学特征已有众多研究,这些研究为冲绳海槽火山岩的岩石学特征、形成机理、岩浆来源及演化、岩浆房结构等提出了很多重要见解。
对冲绳海槽岩浆源区地幔特征也已做了重要探讨,例如马维林等认为冲绳海槽中部岩浆源区地幔近过渡型,岩浆结晶分异程度较高,同化混染程度较弱;南部岩浆源区地幔近亏损或富集型,结晶分异程度较弱,同化混染较强。
有学者提出海槽中部热液区玄武岩源于冲绳海槽内隆起的异常地幔, 通过对冲绳海槽火山岩 Rb-Sr 同位素的研究认为海槽的火山岩主要是由地幔成因的玄武质岩浆经历不同程度的结晶分异作用和同化混染作用后在海底形成的。

我们可以认为冲绳海槽中部的玄武岩岩浆是富集型大洋中脊玄武岩(E-MORB)型地幔和板块俯冲组分混合的结果。
上述研究工作奠定了冲绳海槽火山岩的研究基础,但也揭示出一系列颇有争议或亟待解决的科学问题,如:冲绳海槽酸性浮岩与基性玄武岩之间的成因联系、冲绳海槽不同区段的构造背景对岩浆作用的控制、冲绳海槽岩浆源区地幔的特征、俯冲板块组分(流体+熔体)对地幔楔部分熔融的贡献等。

地质背景
冲绳海槽位于西太平洋活动大陆边缘(图 1),北起日本九州,南至我国台湾,长约1200 km,宽 100~150 km,是菲律宾海板块沿着琉球海沟向欧亚板块下俯冲所形成的弧后扩张盆地。俯冲的菲律宾海板块部分在海槽中段轴部以下 150~200 km 处,在海槽南段轴部以下 150 km 处。菲律宾海板块的俯冲速度在冲绳海槽南段约为 7 cm/a, 在中部约为 5 cm/a。海槽南部水深大,最大可达 2 300 m 以上;中段水深约 2 000 m,向北逐渐变浅至约 1 000 m;北端水深由1 000 m 向北变浅至约 200 m。

冲绳海槽具有极高的热流值、强烈的火山活动和大量发育的正断层等弧后扩张特征,同时具有强重力异常与弱负地磁异常的特征,这些特征揭示了冲绳海槽存在基底凹陷、上地幔隆起等的地质构造现象。岩石学、同位素年代学和构造地质学等方面的研究显示冲绳海槽的形成和演化可分为 3 个主要阶段:晚中新世的抬升剥蚀、上新世拉张裂陷和第四纪以来的海底扩张。
基于构造活动和地幔密度异常,有学者提出冲绳海槽已经到了成熟的大陆裂谷时期,并且可能已经开始了弧后扩张。梁瑞才等和 Gao 等相信洋壳已经沿着中央裂谷发育。而根据重力异常,冲绳海槽北西向的断层被认为是转换断层。

常量元素(组分)
现明显的基性岩与酸性岩的双峰式分布;海槽南段火山岩主要分布在中央地堑,岩石偏基性,以玄武岩为主。
冲绳海槽所有火山岩样品均投点于碱性岩与亚碱性岩的分界线(Ir)之下,显示出亚碱性岩石系列特征。在 AFM 判别图 上,冲绳海槽火山岩既有拉斑玄武岩系列,又有钙碱性岩系列,其中大部分样品都分布在拉斑玄武岩(T)与钙碱性岩石(C)的分界线(CA)附近,酸性岩主要投在钙碱性岩区,玄武岩主要分布在拉斑玄武岩区。

在 SiO2-K2O 图 (图2c) 上,绝大部分火山岩样品都分布在中钾系列岩石区,并且随着 SiO2 含量的增高钾的含量近似线性增加。以上特征一方面说明冲绳海槽的所有火山岩(酸、中、基性岩)都属于亚碱性系列,另一方面说明从以拉斑玄武系列岩石为主的玄武岩到具有钙碱性系列岩石特征的酸性岩,应该是岩浆作用经历了结晶分异作用的体现(SiO2 含量连续递增),期间并可能有地壳物质的混染(造成碱性组分增加),这种结晶分异作用应该主要发生在相当长一段时间内保持稳定的岩浆房环境中。

在 SiO2 与其他主要氧化物的关系图 ( 图 3 ) 上,SiO2 与 MgO、FeO*、CaO、Al2O3 成明显负相关,而与 K2O ( 图 2c )和 Na2O 成正相关,这表明在岩浆的演化过程中出现了橄榄石、辉石、磁铁矿和斜长石等富 Fe、Mg 和 Ca 矿物的结晶分异(离)作用。类似的关系也存在于各常量组分氧化物与分异指数(Di)之间,同样说明 Di<10 的基性玄武岩和 Di>80 的酸性浮岩之间继承关系,基性玄武岩是岩浆开始结晶尚未发生明显分异作用的产物,而酸性浮岩是岩浆经充分结晶分异演化后的产物。

冲绳海槽火山岩的 Sr-Nd-Pb 同位素特征
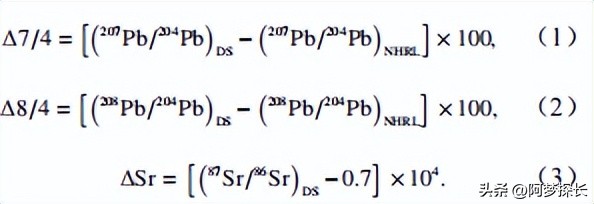
岩石的 Dupal 异常也被称为南半球异常和特提斯同位素异常 , 即在具有相同 206Pb/204Pb 的前提下 ,Dupal 异常具有更高的208Pb/204Pb、207Pb/204Pb、87Sr/86Sr 比
值和较低的143Nd/144Nd 比值。Hart提出了北半球标准线(NHRL:根据北半球洋中脊正常型玄武岩的 Pb同位素组成所建立的北半球208Pb/204Pb、207Pb/204Pb 与206Pb/204Pb 之间的回归线方程,反映了北半球上地幔的Pb 同位素特征演化趋势)的概念,用以表述 N-MORB的放射性同位素特征,用样品偏离北半球标准线( NHRL) 的程度 ( Δ7/4>3、 Δ8/4>10、 ΔSr>40) 来 作 为Dupal 异常的判别指标。之后,Hart 又将 Dupal 异常判别指标修改为 Δ8/4>60、ΔSr>50,指标计算公式如下:

如图 5 所示,冲绳海槽玄武岩的 Pb 同位素组成均投点在 NHRL 之上(图 5a, 图 5b),显示出放射性成因 Pb 同位素富集的特征,其分布区间明显具有 PREMA与 EMII 混合的趋势。在不考虑其他因素的理想情况下,冲绳海槽岩浆源区地幔应为 PREMA 型地幔,上述 Pb 同位素组成特征表明,冲绳海槽岩浆源区地幔由于受到某种物质混入的影响,而具有一定的 EMII型地幔端元特征。
海槽中段和南段玄武岩样品的Δ7/4 值较高,均在 5 以上,最高值为 18.45;而北段样品 Δ7/4 值变化范围相对较大,在−2~16 之间。仅就Δ7/4 值判据而言,海槽南段和中段玄武岩绝大多数样品都具有 Dupal 异常。冲绳海槽所有玄武岩样品的

Δ8/4 值都在 28~95 之间,ΔSr 值在 35~88 之间,亦说明大部分样品都不同程度地具有 Dupal 异常(Δ8/4>60,ΔSr>50)。在143Nd/144Nd−87Sr/86Sr 和87Sr/86Sr−206Pb/204Pb 判别图 (图 5c,图 5d)上,冲绳海槽玄武岩样品均投在PREMA 与 EMII 地幔端元的混合区域,显示出明显的两端元地幔的混合性质。海槽北段玄武岩中的 ΔSr值集中在 35~62 之间,变化范围最小;中段玄武岩中ΔSr 值在 38~88 之间,变化区间最大;南段玄武岩中
ΔSr 值在 36~71 之间,变化范围居中。据以上 Sr-NdPb 同位素组成特征判断,冲绳海槽岩浆源区地幔具有不同程度的 EMII 型 Dupal 异常的特征,玄武质岩浆应该源于 PREMA 和 EMII 两个地幔端元的混合物。

综上所述,俯冲组分(蚀变洋壳和沉积物组分)进入冲绳海槽地下地幔楔并混入岩浆中是导致冲绳海槽火山岩具有 Dupal 异常或 EMII 型地幔端元特征的主要原因。
根据对冲绳海槽玄武岩的 Sr、Nd 同位素组成所做的二元混合模拟计算表明,冲绳海槽的玄武岩岩浆主要源于 PREMA 型地幔端元,占比在 60%~92% 之间,平均值在 85% 左右,EMII 型地幔端元贡献率在 15% 左右。

结论
(1)在冲绳海槽广泛分布的酸性浮岩与基性玄武岩岩浆具有同源性,前者是后者进一步结晶分异作用的产物,酸性浮岩岩浆在喷出海底之前经历了不同程度的地壳物质混染。
(2)在冲绳海槽北段与中段主要分布有酸性浮岩和中性安山岩,应该是两区域目前正处于裂谷阶段的反映,而南段广泛分布的基性玄武岩说明在构造性质上已接近成熟性弧后盆地。
( 3)总体上看,冲绳海槽火山岩岩浆源区具有EMII 型 Dupal 异常特征,岩浆源于 PREMA 和 EMII型地幔端元混合的源区地幔,其中 EMII 约占比 15%,PREMA 贡献率在 85% 左右。
(4)源于俯冲的菲律宾海板块(俯冲的蚀变洋壳或沉积物)的流/熔体的加入是导致冲绳海槽下伏地幔具有 EMII 型特征的原因,这一点不同于 Dupal 异常源于壳幔相互作用的观点。