
智能制造车间
现代工业对地坪有非常明确精准的要求。
- 食品、医药等行业要求地坪不起灰,无有害挥发物,干净无尘;
- 机械行业要求耐强烈的机械冲击,耐磨损,能长期经受叉车等车辆的辗轧,即使局部损坏也容易维修;
- 机床、仪器仪表等工业车间地面常受到各种油类侵蚀渗漏,难以彻底清除,要求地坪耐油性好;
- 化学工业则要求地坪能耐各种化学介质的腐蚀。
现代社会人们对环境的需求不断提高
- 车间和家庭地坪应该平坦、亮丽、色彩丰富,给人们创造一个良好的工作和生活环境。

聚天门冬氨酸酯聚脲
ETP聚天门冬氨酸酯聚脲地坪
聚天门冬氨酸酯聚脲地坪涂料是“浙江守都”与“美国ETPOLYMER公司“合作共同开发的一种新型装饰材料---MEP高分子绿色防护材料,并成立了“ETPOLYMER 艾特普”品牌。
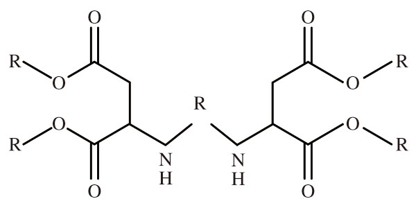
聚天门冬氨酸酯实际上是一种脂肪族仲胺,其分子结构中的氨基,处于空间冠状位阻环境的包围中,通过人为增加其分子中空间冠状结构的位阻密度,可合成出凝胶时间从几分钟到几小时的系列新型聚脲材料。是一种新型脂肪族、慢反应、高性能涂层材料,被称为第三代聚脲。
ETP聚天门冬氨酸酯聚脲地坪的优点
1)工艺简单:
以往的聚脲材料因为反应快、瞬间固化,必需采用专用喷涂设备施工,材料应用受到了极大的限制;我公司开发的聚天门冬氨酸酯聚脲地坪涂料经过最新技术调慢了反应速度,可以手工涂刷或用普通喷枪喷涂使用,大大地简化了工艺,使用更为简便。
2)耐候性突出:
克服了以往芳香族聚脲弹性体耐老化性能不理想、在紫外线照射下易氧化生成醌亚胺而黄变的缺点,其耐候性好,对紫外线稳定,长期户外使用不变色;
3)附着力优越:
以往的喷涂聚脲弹性体因为反应速度过快,因而存在对基面的浸润能力较差,容易影响与基面的附着力。而聚天门冬氨酸酯聚脲地坪涂料反应速度减慢,故与底材具有更好的附着力;
4)富有弹性:
涂层柔韧有余、刚性实足,可制成刚性、弹性、高弹性多个品种;拥有比环氧地坪更好的抗开裂、耐冲击性能;
5)超强耐磨:
喷涂聚脲弹性体有“耐磨橡胶”之称,我公司的聚天门冬氨酸酯聚脲地坪涂料继承了这一优点,其耐磨性能是环氧的3-5倍;
6)固含高达100%,安全无毒、低碳环保:
7)快干,可大大缩短工期;
8)耐化学介质性能良好:
涂层致密、连续、无接缝、可完全隔绝空气中水分和氧气的渗入,防腐和防护性能优异。
ETP聚天门冬氨酸酯聚脲地坪的应用优势
弹性地坪
聚天门冬氨酸酯聚脲弹性地坪材料既保持了环氧树脂地坪的强度高、粘接力强、耐化学药品性好的特性,又具有吸震性能好、缓冲性能良好、吸音性能佳、弹性效果佳、抗冲击力强、色泽鲜艳、防水防渗、耐磨耐刮、经久耐用、健康环保、工程施工简单、清洁保养容易等特点,经济实用,品质优越。 该产品广泛适用于医院、家居、户外地坪、公园、广场、游泳池、商场、机场、旅游景观、通道等场所的装修装饰,是居家、办公场所和市政建设等装修装饰的首选;还可替代沥青防水材料及防水卷材,用于建筑物的防水、防漏。

冷库地坪
聚天门冬氨酸酯聚脲弹性材料由于具有优异的耐磨性和硬度可调性,在较宽的硬度范围内具有高弹性,在零下30℃具有屈挠性;并且具有良好的耐冲击性、耐划伤性和优异的装饰性,由它制得的地坪材料可抵御高、低温交替变化而不开裂、不脱落并保持原有的优异性能,适应于低温环境下的地坪涂装,如冷库冷冻厂地坪。

防滑地坪
环氧树脂表面比较光滑,因此防滑性能较差,人员行走很不安全,易滑倒或摔伤;对叉车或重型卡车而言,刹车比较困难,易打滑出现事故。通过在环氧地坪中加入防滑粒子可改善防滑性能,加入防滑粒子后其防滑系数最高一般可达到0.75。而聚脲材料本身具有良好的防滑性能,其摩擦系数可达1.2以上,这主要和聚脲特殊的分子结构有关。并且,该材料在潮湿状态下摩擦系数与干燥状态相差小,特别适于跑道、游泳池、水上动物表演馆地面,建筑物地面、通道、楼梯和防滑路面等工程部位。在一些防滑要求很高的场合,如直升机平台、停车场坡道、海上石油钻井平台、船舶甲板等,可通过在聚脲弹性体材料表面铺撒金刚石、石英砂和橡胶粒等防滑粒料,使材料的防湿滑性能进一步提高,满足防湿滑要求。

耐磨地坪
耐磨地坪自上世纪70年代问世以来在欧美迅速普及,成为水磨石耐磨地坪的换代产品。是由一定粒径级配的金属或非金属骨料、高强水泥、特殊外加剂、颜料及聚合物组成,采用干式拨撒方法,均匀地撒布在初凝阶段的混凝土表面,用专业施工工具施工,即可在基础混凝土上形成一层致密的彩色耐磨面层。该地坪广泛应用于购物中心、大型超市、人行道、停车场、生产车间、机器维修车间、仓库等需要特别增强表面耐磨性的场所,但是其缺点是施工周期长、施工复杂,柔韧性差、易开裂,耐化学腐蚀不佳。 聚天门冬氨酸酯聚脲材料耐磨性能十分突出,其耐磨性能是碳钢的10倍,是环氧树脂的3-5倍,用该材料制作耐磨地坪,不仅工艺简单、施工快捷,而且超强耐磨、柔韧性好、抗开裂、耐化学性能良好。

耐候地坪
环氧地坪户外易黄变、粉化、开裂,而聚天门冬氨酸酯聚脲能禁受住紫外线长期照射而不出现以上情况,其耐候性能远远优于聚氨酯,可与氟碳类涂料接近,可在户外长期使用,是户外耐候地坪的首选材料。
