10只基金,8只不值得买, 该怎么选?
看分析点评,每篇都说好, 该相信吗?
买基金, 在哪里看靠谱分析?
彩虹种子的用户这么评价

保持 客观、中立的态度
提供 专业、易懂的评价
关注彩虹种子,陪伴你的投资
这是园长为你分析的第 579只基金
本文 非基金公司推广软文,请放心阅读
民生加银价值优选6个月持有

基金要素
基金代码 :A类: 011285,C类:011286。
基金类型 :普通股票型,股票资产不低于80%。
业绩比较基准 : 沪深300指数收益率*65%+恒生综合指数收益率(使用估值汇率折算)*20%+中债综合指数收益率*15%
募集上限 :本基金没有设置募集上限。
基金公司 :民生加银基金,目前总规模将近1700亿元。其中股票型和混合型基金合计管理规模将近700亿元,管理规模不算小。
基金经理 :本基金的基金经理是王亮先生,他拥有将近14年证券从业经验和超过5年的基金经理管理经验,目前管理4只基金,合计管理规模38亿元。

代表基金 :民生加银红利回报( 690009.OF ),从2017年11月03日至今,累计收益率93.16%,年化收益率20.35%。短期业绩表现比较优秀。(数据来源:WIND,截止2021.05.21)


王亮先生经历过2018年的市场下跌,也经历了2019年和2020年的大幅上涨,虽然整段管理时间还不算长,但也算经历了一个比较完整的涨跌了。从净值图和分年度业绩表现来看,有以下结论和预判:
- 在过去3年多时间里,能够大幅跑赢沪深300指数,能够小幅跑赢偏股混合型基金指数;
- 2018年下跌幅度小于指数,同时2019年涨幅慢于偏股混合型基金指数,大概率是通过择时来控制回撤的;
- 2020年组合的涨幅不低,预计整体组合偏成长风格;
- 2021年至今有将近4%的上涨,预计组合对成长股的配置比例有所降低;
- 王亮先生大概率是一个会做风格择时,会做仓位择时,交易相对频繁,考虑组合波动的一个偏绝对收益风格的基金经理,再叠加他从2011年到2017年,在泰康资产这个保险系的资产管理公司工作过,这种可能性是比较高的,具体怎么样,我们通过持仓特点来进一步确认。
持仓特点
第一 ,从王亮先生管理以来,组合的持股集中度整体是比较低的,最近一期的前十大重仓股占比为44.46%。另外,在2019年以前,持股集中度在30%-35%之间,是一个更低的比例;

第二 ,这只基金的换手率还是非常高的,在2018年竟然将近10倍,也就是说,差不多每2个多月就换仓一次。2019年稍有降低,超过7倍,相当于将近4个月换仓一次。2020年进一步降低到4倍,相当于每半年换仓一次。

第三 ,在王亮先生管理期间,基金的平均持仓时间是1.3年,结合换手率一起来看,王亮先生是会对持仓进行波段操作的。

结合上述三点, 王亮先生属于持股集中度不高+持股周期不长的 “交易型”选手。

第四 ,王亮先生在2018年做了一次比较大的择时,股票仓位降低到了35%,这是民生加银红利回报基金在2018年回撤较低的主要原因,但这也是2019年涨幅一般的主要原因。这又是一例择时需要做对两次才算成功的案例,只做对一次是不够的。

第五 ,风格上主要是以成长风格为主,但也会阶段性的配置价值风格股票,特别是在2018年,价值风格占比还不少。

结合上述两点, 王亮先生属于会做仓位择时+会做风格择时的 “飘忽不定型”选手 。
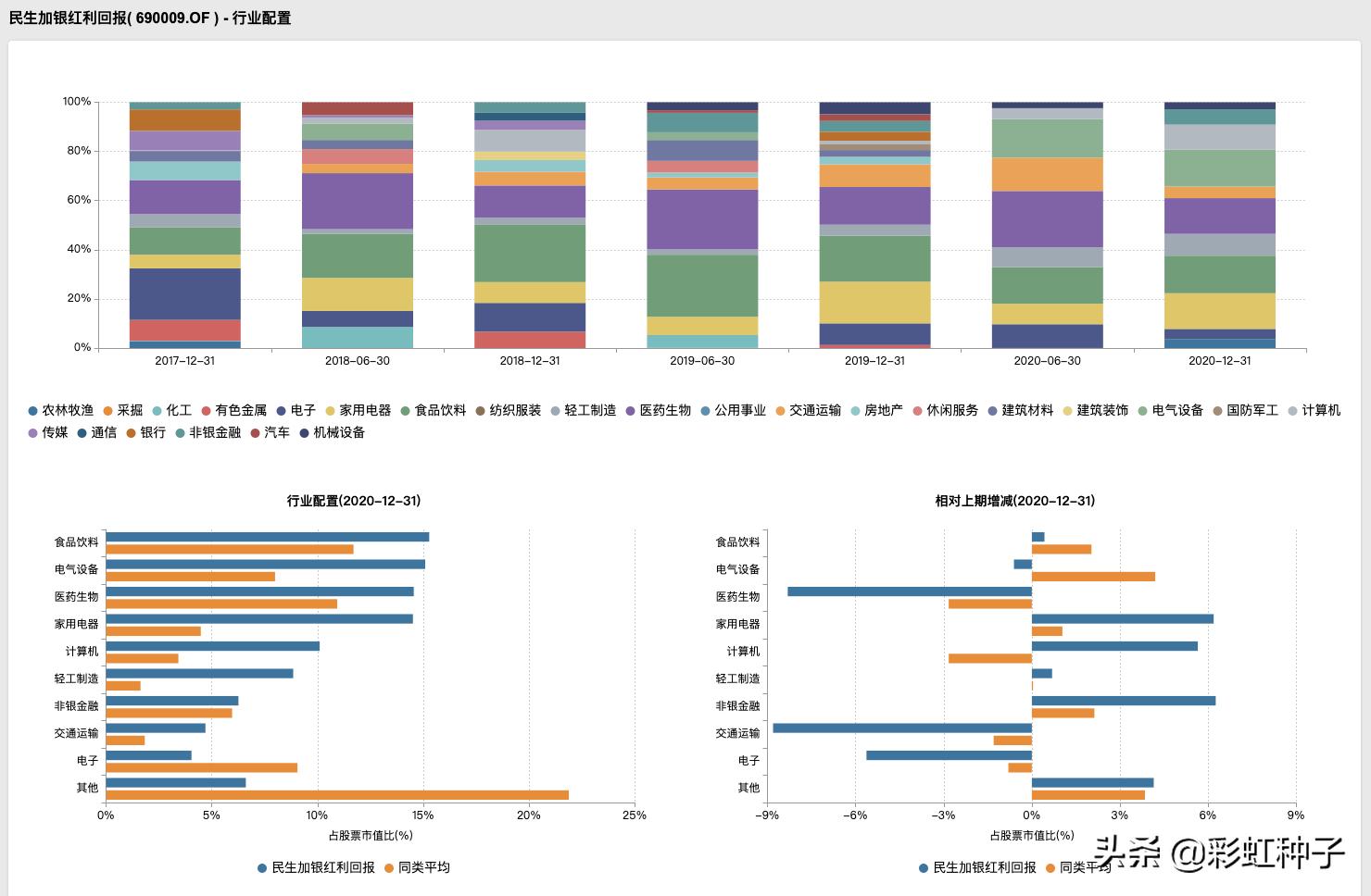
第六 ,从行业配置图上来看,王亮先生一直维持着比较分散的组合,长期配置食品饮料和医药生物、家用电器、交通运输、计算机板块,所以,比较好奇的是,王亮先生那么高的换手率是在干嘛 感觉就是在做小的波段操作。


目前整体组合处于行业集中度比较分散+组合整体估值分位水平不算低的状态中。
投资理念与投资框架
差了一圈资料,发现王亮先生的访谈基本没有,对他的投资框架和投资理念的介绍也基本上没有,民生加银基金还得多做点宣传啊~我们来看一下王亮先生在一季报中的观点。
伴随着新冠疫苗的陆续推出和接种,全球主要经济体的疫情开始出现转机,同时经济也开始逐步复苏。受此影响全球股票市场(包括国内)在新年伊始出现了快速上涨,但春节后国内的股票市场出现一波明显下跌,呈现出冰火两层天的走势。尤其是前期机构持仓较重的白马股跌幅尤为明显。
我们注意到本次优质白马股的下跌并非基本面恶化所致,大部分公司基本数据依然强劲。短期的调整更多是前期涨幅过大,估值存在高估造成。 我们倾向于判断节后的短期调整已经相当程度消化了高估风险,后续基本面强劲,中长期都将保持较快增长的公司将展现超额收益。 需要回避的是受益于前期全球无风险利率下降,但自身增速较慢的伪白马公司。简而言之,接下来依然可以赚业绩增长的钱,但很难赚到估值提升的钱。
本基金一直以来都定位于投资高景气行业内优质龙头白马,本次调整也没有跟随市场,买入市场热门的顺周期和中小市值股票。 正因为如此,春节后的回撤幅度超过了同期沪深300指数的回撤幅度。支撑我们坚守的理由来自于对经济稳定向上过程中对股票市场的中长期乐观判断,以及覆盖个股强劲的基本面表现。 本轮调整反而给我们带来了绝佳的机会,买入前期估值过高一直没有买入的优质龙头,比如医药、食品和科技等领域。
感谢各位持有人在净值回撤过程中给予我们的信任和支持,我们相信跟随最优秀的企业从中长期也将会给予我们持续的超额回报。后续我们将继续秉持持有人利益第一的原则,审慎投资,立足中长期跟随优秀企业共同成长。谢谢大家!
很显然,他认为白马股的估值修复已经差不多了,跌了是买的机会,会继续持有甚至加仓之前因为估值过高而没有买的优质龙头股。观点非常明确了。
一句话点评
我们在上周五的时候,发了一次投票,王亮先生是大家关注度排名第二的基金经理。嗯,我知道你肯定会问,排名第一的是谁,很不巧,这家公司已经被我拉黑了,对他们不予置评。
还是来说一说王亮先生吧,他是一位在保险资管工作多年的基金经理,从仓位的控制,回撤的控制来看,他确实对风险看的比较中一些,但是靠仓位择时来控制回撤是有代价的,那就是卖对了,还得买对,错了任何一次都是一次失败的择时。即使一个人每次的成功概率都是70%,那么两次都对的概率就是0.7*0.7=49%,低于平均。
另外,虽然我们没有找到王亮先生的深度访谈,但是从他的一季播啊中能够比较明显的感知到,他大概率会继续延续现有的成长风格。唯一让我有点不解的是,他的交易量是从哪儿来的?
关于本基金值不值得买,有几点看法,供大家参考:
- 对于新人和绝大多数投资者, 本基金可以不考虑;
- 对于熟悉民生加银基金,熟悉王亮的投资者,如果需要在组合中配置成长风格,可以小仓位进行配置,另外,需要能够承受过程中可能的高波动,并做好持有三年以上的准 备;
觉得靠谱,立刻关注
破解投资难题,就在彩虹种子
关注|点赞|分享
关注彩虹种子,陪伴你的投资
风险提示 :基金有风险,投资需谨慎。本文非基金推荐,文中的观点、打分不作为买卖的依据,仅供参考。文中观点仅代表个人观点,不作为对投资决策承诺,文章内信息均来源于公开资料,本文作者对这些信息的准确性和完整性不作任何保证。文章中的内容和意见基于对历史数据的分析结果,不保证所包含的内容和意见在未来不发生变化。本文仅供参考,在任何情况下,本文中的信息或所表述的意见均不构成对任何人投资建议。
不值得买:占对应资产类别的仓位占比为0%,不建议超过5%。
值得少买:占对应资产类别的仓位占比为5%-10%,不建议超过15%。
值得买:占对应资产类别的仓位占比为10%-15%,不建议超过20%。
❤️❤️❤️
如有收获
打赏一元
支持彩虹种子吧
❤️❤️❤️