跟我一起,穿越时间!
前几天讨论了一下Windows系统简体中文和繁体中文的问题,当时在市场上上很多人使用P来代表简体中文版、C代表繁体中文版,除此之外,还有一个H的代号,一般指代韩国语版。
在韩语中,윈도우就是窗户的意思,也就是英文中的Windows,下面,伴随着2005年的一部经典韩国电视剧《大长今》的主题曲,实录记录一下这个HWIN31的安装过程。
《大长今》主要讲述的是一代奇女子徐长今是如何通过自己的努力成为朝鲜王朝历史上首位女性御医的故事,这部电视剧的主题曲就是《呼唤Onara》(韩语오나라)林世贤作词兼作曲,金智贤、白宝贤及金露姬韩语主唱,版本众多,首首精彩。

1、Setup
虽然无法精通韩国语,但是依旧可以按图索骥,首先在DOS下通过执行setup启动安装程序,我们可以看到蓝底白字的安装欢迎界面,与通常情况不同的是,除了必要的英文,其他文字都是韩国语。

2、安装模式选项
按下Enter键可以进行默认安装,当然也可以使用C键执行自定义安装。

3、文件复制
非常舒服的进度指示,不过这和常见的黄色进度条不同,韩文版Windows 3.1文件复制进度条中有小圆圈。

在文件复制的过程中,正好来听一听不同版本的《大长今》主题曲。
《呼唤Onara》引进中国后,香港版本主题曲更名为《希望》,由郑樱纶作词,陈慧琳用粤语演唱。

看风筝飞多远未断线,看一生万里路路遥漫漫
看牺牲的脚步尽化温暖,暖的心爱追忆你的微笑
滔滔风雨浪,心声相踫撞,信将来能力创,
心中的冀望,终于都靠岸,未曾绝望;
看风筝飞高了未断线,看天空雾散聚是谁定下,
看艰辛不却步步向温暖,暖的心爱珍惜我的微笑
滔滔风雨浪,心声相踫撞,信将来能力创,
心中的冀望,终于都靠岸,未曾绝望
分开的眼泪,伤心相挂累,盼将重逢遇上
心中只有梦,一天终再聚,未来在望
另外,还有陈慧琳用国语演唱的版本——专辑《我是阳光的》第10首《希望》(国语);曾经超级女声五强张靓颖、周笔畅、李宇春、何洁、纪敏佳也合唱过国语版的《希望》。

看天空飘的云还有梦,看生命回家路路程漫漫,
看明天的岁月越走越远,远方的回忆的你的微笑,
天黑路茫茫,心中的彷徨,没犹豫的方向,
心中的翅膀,一天终张开,
飞向天上。
看天空飞的鸟还有梦,看清风向白露吹散淡雾,
看冬天悲的雪越来越远,昨天的曾经的我的微笑,
天黑路茫茫,心中的彷徨,没犹豫的方向
希望的翅膀,一天终张开,
飞向天上。
分开的感伤,想会的盼望,有天逃出想象
心中一个梦,像雨后彩虹,挂在天空。
4、设置用户名
第一部分的文件复制会很快结束,然后Windows的窗口会第一次呈现在用户眼前。
首先需要给电脑命名,既然是韩语版,这里我就叫做“Korean”了

5、写保护
出现一个提示,关于磁盘写保护的问题,因为这涉及安装过程中系统文件的更新,我们选择略过。

6、再次复制文件
现在正在复制MAIN.CPL,属于控制面板组件
除了必要的英文外,安装程序会以韩文来介绍Windows 3.1的新特点。

这个环节我们再来欣赏一下更多版本的《大长今》主题曲。
除了上面提到的香港版本外,台湾地区版本主题曲更名为《娃娃》,由施立作词,张韶涵主唱。

雾来啦 雾来啦 娃娃哭啦
想爸爸 想妈妈 想要回家
雾来啦 雾来啦 天色暗啦
星发光 心发慌 没有方向
嘿呀 嘿呀 谁能给我力量
路漫长 爱漫长 带我回家
不要怕 不要怕 我的娃娃
一朵花 一粒砂 就是天涯
不要怕 不要怕 赶快长大
等太阳 的光芒 带来希望
雾散啦 雾散啦 娃娃笑啦
听爸爸 听妈妈 唱歌说话
雾散啦 雾散啦 天色亮啦
看阳光 的方向 就有希望
嘿呀 嘿呀 谁能给我力量
路漫长 爱漫长 带我回家
嘿呀 嘿呀 爱能给我力量
路漫长 爱漫长 我们回家
7、系统文件更新
接下来是关于CONFIG.SYS和AUTOEXEC.BAT文件更新的提示。

8、打印机选项
若干年前,打印机是使用电脑不可缺少的外置设备,不过这里我们不安装打印机,直接略过。

9、演示教程
看过之前Windows 3.2安装视频的应该有印象,Windows即将展示一个电脑操作入门教程,包括鼠标和Windows两部分,这里点击第二项可以跳过。

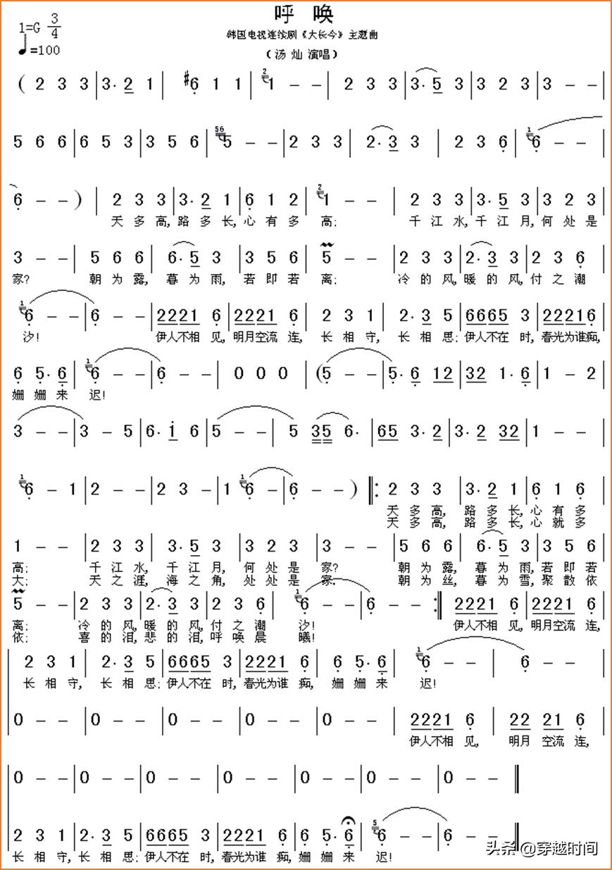
在观看操作教程的过程中,再来听一首内地版本主题曲,仍保持原名《呼唤》,由李文君作词,汤灿演唱。

天多高,路多长,心有多高;
千江水,千江月,何处是家?
朝为露,暮为雨,若即若离;
冷的风,暖的风,付之潮汐!
伊人不相见,明月空流连,长相守,长相思;
伊人不在时,*光春**为谁痴,姗姗来迟!
天多高,路多长,心有多高;
千江水,千江月,何处是家?
朝为露,暮为雨,若即若离;
冷的风,暖的风,付之潮汐!
天多高,路多长,心就多大;
天之涯,海之角,处处是家。
朝为丝,暮为雪,聚散依依;
喜的泪,悲的泪,呼唤晨曦!
伊人不相见,明月空流连,长相守,长相思
伊人不在时,*光春**为谁痴,姗姗来迟!
伊人不相见,明月空流连,长相守,长相思;
伊人不在时,*光春**为谁痴,姗姗来迟!
10、安装完成
安装的过程很顺利,至此就结束了,点击中间的按钮返回MS-DOS

11、韩文体验
因为是韩语版的Windows 3.1系统,它所需要的基础DOS也必须是韩文的,这叫做Hangeul MS-DOS
就如同中文DOS或者各种中文平台,DOS下也是可以显示韩文的。

12、Boom!
视窗3.1

13、系统桌面
除了语言之外,图标和窗口和常见的版本无异。
屏幕左下角是韩文输入法指示器。

除了上面广为人知的版本,《大长今》的主题曲还有一个刘颖作词,酷客编曲,徐靖博演唱的《梦想》,男声,应该是全球唯一男声版了。
夜漫漫 路长长 遥遥相望,
越千山 过千关 谁在身旁,
趁年少 正轻狂 哪怕受伤,
爱一场 痛一场 梦在何方。
风萧萧 雨切切 俩俩相望,
越千山 过千关 你在身旁,
趁年少 正轻狂 哪怕受伤,
爱不变 痛依然 梦在前方。
天涯月茫茫 一路酒未凉,因有你在心上。
真爱的力量 永远在身旁,给我梦想。
14、结束了。
最后,以韩语版原版结束本文。
ONaRaONaRaAhJooONa
KaNaRaKaNaRaAhJooKaNa
伊*欲人**来何时归来 伊*欲人**去何时离去
NaNaNiDaRyeoDoMosNoNaNi
AhNiRiAhNiRiAhNiNoNeh
我欲乘风飞翔却遍寻不着伊人踪影,伊人何在留我独自失落
HehEYaDeeEYaHehEYaNaRaNiNo
OJiDoMosHaNaTaRyeoKaMa
唉哟这该如何是好,伊人你若不归请带我一起离去

(个人观点保留,未经书面授权禁止直接复制文章到其他平台发布。欢迎关注作者账号“穿越时间”/“穿越时间玩电脑”)
从石头到锤子?Windows不断升级 从Windows 3.0-Windows 11
穿越时间·自带序列号的繁体中文Windows ME是怎么回事?
穿越时间•免费午餐终成空•番茄花园版WindowsXP事件始末