记得单击右上角关注哦!↗
九年级上学期已经过去大半,离中考只剩下半年的时间,是时候开始进行复习了,争取赢在当下。
实数及其有关概念
一.实数的分类:

注意:在理解无理数时,要注意“无限不循环”,归纳起来有四类:
(1)开方开不尽的数,如√2,√3等;
(2)有特定意义的数,如圆周率π,或化简后含有π的数
(3)有特定结构的数,如0.1010010001…等;
(4)某些三角函数,如sin60°等
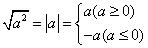
二.绝对值
一个数的绝对值就是表示这个数的点与原点的距离,|a|≥0。零的绝对值是它本身,也可看成它的相反数,若|a|=a,则a≥0;若|a|=-a,则a≤0。
三.相反数
实数与它的相反数时一对数(只有符号不同的两个数叫做互为相反数,零的相反数是零).从数轴上看,互为相反数的两个数所对应的点关于原点对称,如果a与b互为相反数,则有a+b=0,a=-b,反之亦成立。
四、倒数
如果a与b互为倒数,则有ab=1,反之亦成立。倒数等于本身的数是1和-1。零没有倒数。
五、科学记数法和近似数
1、有效数字
一个近似数四舍五入到哪一位,就说它精确到哪一位,这时,从左边第一个不是零的数字起到右边精确的数位置的所有数字,都叫做这个数的有效数字。
2.科学记数法
科学记数法的表示形式为a×10n的形式,其中1≤|a|<10,n为整数.确定n的值时,要看把原数变成a时,小数点移动了多少位,n的绝对值与小数点移动的位数相同.当原数绝对值>1时,n是正数;当原数的绝对值<1时,n是负数.
六、平方根
如果一个数的平方等于a,那么这个数就叫做a的平方根(或二次方根)。一个数有两个平方根,他们互为相反数;零的平方根是零;负数没有平方根。正数a的平方根记做“±√a”。正数a的正的平方根叫做a的算术平方根,记作“√a”。正数和零的算术平方根都只有一个,零的算术平方根是零。

七、立方根
如果一个数的立方等于a,那么这个数就叫做a的立方根(或a的三次方根)。一个正数有一个正的立方根;一个负数有一个负的立方根;零的立方根是零。








