本文对应 #高中数学# 的 六大知识考点 ,罗列了对应的 必背的公式以及答题模板 。并附有对应的历年高考真题的例题解答部分。让你看例子的解答过程,就能明白这些公示和解题方法的应用方法。——需要word版本的请私信或留言。
涵盖知识点主要有以下六大点:
- 1、解三角形
- 2、数列
- 3、空间立体几何
- 4、概率与统计
- 5、圆锥曲线
- 6、导数

1、解三角形:10个必背公式+5个答题模板
a,必背的10个公式



b,5个答题模板:

c,2道例题解析


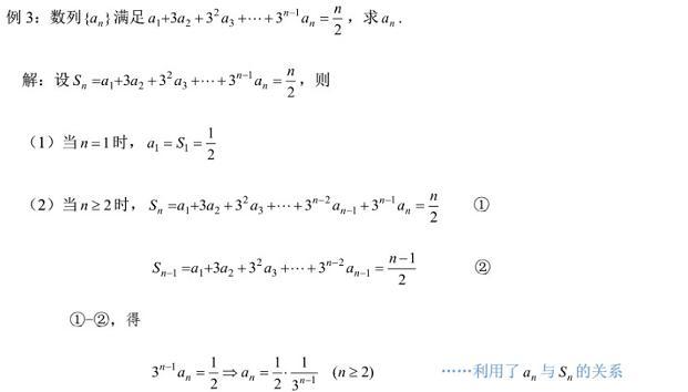
2、数列:3个必背公式+解题方法+5个答题模板
a,3个必背的公示+数列解题方法








b,5个答题模板

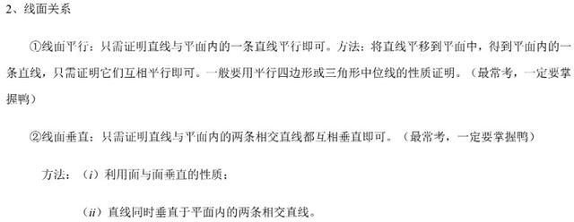
3、空间立体几何:3个必背公式+6个答题模板
a,3个必背公式:线线关系,线面关系,面面关系



b,6个答题模板:

c,2道例题解析部分:





4、概率与统计:9个必背公示+6个答题模板
a,必背公式:茎叶图,频率分布直方图





b,线性回归方程6个答题模板

c,1道例题解析


5、圆锥曲线:24个必备公式+6个答题模板
a,椭圆,双曲线,抛物线,圆锥曲线必背公式(24个)





b,6个答题模板

c,4道例题解析










6、导数:7个必背公式+6个答题模板
a,7个必背公式


b,导数的6个答题模板:

c,导数:2道例题解析:


-end-
注:本文来源于网络,仅供同学学习分享,如有侵权请联系删除 !
