产品信息
中文名
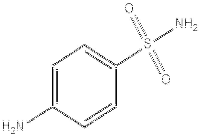
结晶磺胺 中文同义 氨苯磺酰胺;1-甲基-4-乙氧羰基-5-磺酰氨基吡唑;氨苯磺酰胺,对氨基苯磺酰胺;4-氨基苯磺酰胺,氨苯磺胺,磺酰胺;磺胺[用于重氮化滴定];磺胺,98%;氨基磺胺;对氨基苯磺酰胺 对氨基苯磺酰胺(磺胺)多少钱
英文名
现货,详情请致电服务热线或前往瑞威尔生物科技官网查询
Sulfanilamide 英文同义 p-amino-benzenesulfonamid;p-Aminobenzensulfonamide;p-Aminophenylsulfonamide;Prontalbin;Prontosil album;Prontosil i;Prontosil white;prontosilalbumCAS 63-74-1 分子式C6H8N2O2S分子量172.2EINECS200-563-4相关类别氨基甲酸酯类除草剂;除草剂中间体;农药中间体;芳烃;磺胺类;中间体;医药原料;分析标准品;医药中间体;生化试剂-其他化学试剂;化工原料;SULFONAMIDE;Sulfonamides (Antibiotics for Research and Experimental Use);Antibiotics for Research and Experimental Use;Biochemistry;原料;小分子*制剂抑**;有机化学;pharmaceutical;抗病毒抗感染类;化学试剂;抗生素;气相色谱标准品(色标);熔点标准品;磺胺类抗菌消炎药;生化试剂;有机原料;化工原料;兽药原料药;有机化工原料;农用兽用原料;标准品;医药、农药及染料中间体;Amines;Intermediates & Fine Chemicals;Metabolites & Impurities;Pharmaceuticals;Sulfur & Selenium 对氨基苯磺酰胺(磺胺)厂家 Compounds;PRONTYLIN;Amines, Metabolites & Impurities, Pharmaceuticals, Intermediates & Fine Chemicals, Sulfur & Selenium Compounds
结构式性质

熔点164-166 °C(lit.)
沸点400.5±47.0 °C(Predicted)密度1.08蒸气压0.00001 hPa (70 °C)折射率1.6490 (estimate)储存条件0-6°C溶解度5.37g/l酸度系数(pKa)pKa 10.65(H2O
t = 25.0±0.5 对氨基苯磺酰胺(磺胺)价格
I = 0.2) (Uncertain)形态powder颜色white to faintly beige气味 (Odor)OdorlessPH值5.8-6.1 (5g/l, H2O, 20℃)酸碱指示剂变色ph值范围5.8 – 6.1 (0.5% aq.sol.)水溶解性7.5 g/L at 25 ºC最大波长(λmax)257nm(H2O)(lit.)Merck14,8925BRN511852InChIKeyFDDDEECHVMSUSB-UHFFFAOYSA-NNIST化学物质信息Benzenesulfonamide, 4-amino-(63-74-1)EPA化学物质信息Sulfanilamide (63-74-1)