1、解三角形
【必背公式】



期末考试期末考试期末考试期末考试
【答题模板】

【例题解析】


2、数列
【必背公式】

详情可点击查看文章:高中数学 | 数列知识点总结+通项公式递推9大模型精讲!







【答题模板】

3、空间立体几何
【必背公式】



【答题模板】

【例题解析】





4、概率与统计
【必背公式】





【答题模板】线性回归方程

【例题解析】


5、圆锥曲线
【必背公式】





【答题模板】

【例题解析】











6、导数
【必背公式】


【答题模板】

【例题解析】


1、解三角形
【必背公式】



期末考试期末考试期末考试期末考试
【答题模板】

【例题解析】


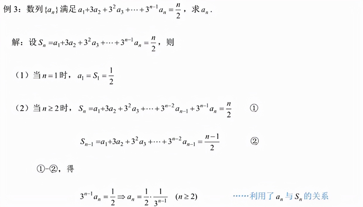
2、数列
【必背公式】

详情可点击查看文章:高中数学 | 数列知识点总结+通项公式递推9大模型精讲!







【答题模板】

3、空间立体几何
【必背公式】



【答题模板】

【例题解析】





4、概率与统计
【必背公式】





【答题模板】线性回归方程

【例题解析】


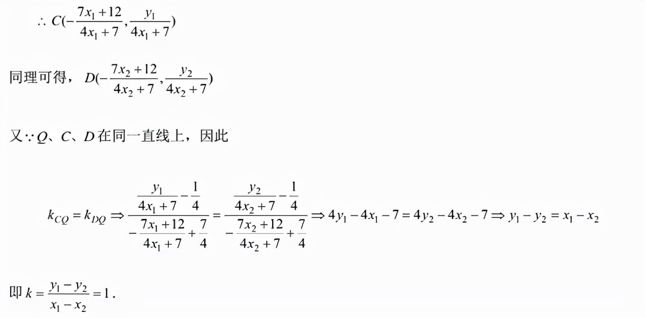
5、圆锥曲线
【必背公式】





【答题模板】

【例题解析】











6、导数
【必背公式】


【答题模板】

【例题解析】

